Open Journal of Statistics
Vol.06 No.04(2016), Article ID:69971,14 pages
10.4236/ojs.2016.64054
Efficiency of Some Estimators for a Generalized Poisson Autoregressive Process of Order 1
Louis G. Doray1, Andrew Luong2, El-Halla Najem1
1Département de Mathématiques et de Statistique, Université de Montréal, Montréal, Canada
2École d’Actuariat, Université Laval, Québec, Canada

Copyright © 2016 by authors and Scientific Research Publishing Inc.
This work is licensed under the Creative Commons Attribution International License (CC BY).
http://creativecommons.org/licenses/by/4.0/


Received 27 May 2016; accepted 20 August 2016; published 23 August 2016
ABSTRACT
Various models have been proposed in the literature to study non-negative integer-valued time series. In this paper, we study estimators for the generalized Poisson autoregressive process of order 1, a model developed by Alzaid and Al-Osh [1] . We compare three estimation methods, the methods of moments, quasi-likelihood and conditional maximum likelihood and study their asymptotic properties. To compare the bias of the estimators in small samples, we perform a simulation study for various parameter values. Using the theory of estimating equations, we obtain expressions for the variance-covariance matrices of those three estimators, and we compare their asymptotic efficiency. Finally, we apply the methods derived in the paper to a real time series.
Keywords:
Discrete Time Series, Autoregressive Process, Moment Estimator, Quasi-Likelihood, Efficiency, Generalized Poisson, Quasi Binomial Distribution

1. Introduction
Time series are used to model various phenomena measured over time. Successive observations are often correlated, since they may depend on some common external factors, but which remain unknown to the analyst. In this case, autoregressive models will be useful to model this dependence.
In some situations, we might be interested in the number of events which occur during a certain period of time. Such observations will necessarily be non-negative and integer-valued. Models which have been used for sequences of dependent discrete random variables include the Poisson autoregressive process of order 1, denoted
, introduced by Al-Osh and Alzaid [2] and the generalized Poisson autoregressive process of order 1, denoted
(see Alzaid and Al-Osh [1] ). The
process, a stationary process with Poisson marginal distributions, is a special case of the
.
The paper is organized as follows. In Section 2, for completeness, we review some properties of the generalized Poisson autoregressive process of order 1. In Section 3, we derive the expressions for the moments estimators, the quasi-likelihood and the maximum likelihood estimators of the 3 parameters of the
. These methods have appeared in the literature (see Al-Nachawati, Alwasel and Alzaid [3] for the quasilike- lihood and moments method and Brännäs [4] for likelihood methods). However, asymptotic properties such as efficiencies of these methods are not discussed in those papers. In this paper (Sections 4 and 5), we study properties of these estimators such as bias and asymptotic efficiency. The last section reanalyzes a real-data example which can be modelled with a
process, where testing is discussed.
We hope that with this study, practitioners will have more information to select one estimation method versus another one and to perform tests concerning values of the parameters.
2 GPAR(1) Process
To define the
process, we need first to review the generalized Poisson and the quasi-binomial distributions.
A random variable X has a generalized Poisson distribution with parameters
and
, denoted
, if its probability mass function (pmf) is defined by

where
,
and
is the greatest positive integer for which
when 



Consul [5] has shown that the expected value 


so that, for positive values of

The sum 



A non-negative integer-valued random variable X has a quasi-binomial distribution, denoted
where 




The following proposition, proved in Alzaid and Al-Osh [1] , shows the relation between the QB and GP distributions.
Proposition 1: If X and 




The 



In practice, many integer-valued series will often exhibit overdispersion, (i.e. 



The 

where
1) 

2) 

3) These two sequences are independent of each other.
4) 



Proposition 2: The 

Proof: See Alzaid and Al-Osh [1] . The 




The autocorrelation function (acf) of the 

The acf of this process is the same as that of an 


The sample acf and pacf will be useful to identify the 
3. Estimation of the Parameters
Estimating the parameters in a 




In this section, we will review three estimation methods for the parameter vector 

3.1. Method of Moments or Yule-Walker
The first autocovariance of the 

By taking the expected value of both sides of the equation given in (1), we find 
we obtain 
We also know that

From the observations




Solving the system of Equations (2), (3), (4) with





where
We have corrected here misprints in the formulas for the moment estimators of the parameters 

3.2. Quasi-Likelihood Method
This method, proposed initially by Whittle [9] , replaces the true likelihood by the one which assumes that the observations come from a normal distribution with the same conditional mean and variance. Al-Nachawati et al. [3] obtained the quasi-likelihood estimators 
where 

and
We have used the expression in Shenton [10] for the formula of the variance of a quasi-binomial distribution, which is a bit different from the one given in Al-Nachawati et al. [3] . Since the 
3.3. Conditional Maximum Likelihood Method
To obtain the conditional maximum likelihood estimators (MLE’s)




We will work with the loglikelihood function 


Under normal regularity conditions, using likelihood theory (see Gouriéroux and Monfort [11] or Hamilton [12] ), the vector 
where 


4. Bias of Estimators
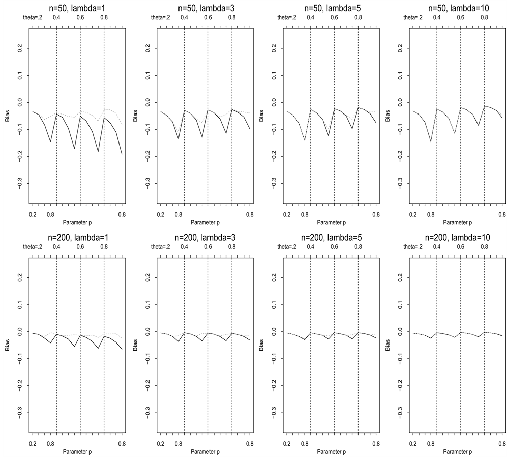
With simulations, we will study the bias of the moments estimators and the MLE’s. Setting the values of the 3 parameters to those in Table 1, two series of 50 and 200 observations were generated from model (1) in C++. This experiment was repeated 200 times.
For each series, the moments estimators were calculated, as well as their average, and the bias. The conditional MLE's were calculated using the iterative Downhill Simplex method (see Press, Teukolsky, Vetterling and Flannery [13] ), which does not require the calculation of the derivatives of the function to be maximized. As initial values, we used the moments estimators. The results of the simulations appear in Figures 1-3.
From Figures 1-3, we see that the bias of the MLE’s is smaller than that of the moments estimators, and that
Table 1. Values of parameters.
Figure 1. Bias of the estimators of p (Moment: ----- MLE: - - -).
Figure 2. Bias of the estimators of l (Moment: ----- MLE: - - -).
Figure 3. Bias of the estimators of q (Moment: ----- MLE: - - -).
it decreases when the size of the series increases. Figure 1 shows that the bias of 












Since the moments estimators and the conditional MLE’s are almost unbiased for large n, we study their asymptotic efficiency in the next section.
5. Asymptotic Efficiency of Estimators
We will first discuss the techniques by which we can obtain the asymptotic variance-covariance matrix of the estimators under the three estimation methods. To study efficiencies, we calculate, in subsection 5.4, the ratios of the variances of the estimators and the ratio of the determinants of their variance-covariance matrix using observations simulated from a 
Table 2. Efficiency of moments estimators.
5.1. Method of Moments
By using an asymptotically equivalent factor of 


Table 3. Efficiency of quasi-likelihood estimators.
Let us define the functions
and the vector
The expected values




where

Since 

or
Using Slutsky’s theorem, we find that
or 
where, with probability 1,
Matrix A evaluated at 
If 

Let us consider the first element of this matrix:
since asymptotically 





Using the law of large numbers, we can estimate this last term by
The other elements of the matrix can be estimated in the same way.
5.2. Quasi-Likelihood Method
To determine the quasi-likelihood estimator

Let us define the quasi-score vector
From Hamilton [12] , using quasi-likelihood theory, we conclude that

where with probability 1, D and S are limits in probability matrices. They are defined as
and
evaluated at



and 




5.3. Conditional Maximum Likelihood
Using the true loglikelihood function from section 4.3, we define the score vector
From Hamilton [12] , using likelihood theory, we find that

where matrix S is defined analogously as in the previous section, but with a different loglikelihood function.
5.4. Numerical Comparisons
Table 2 and Table 4 give the estimate of the asymptotic efficiency of the moment and the quasi-likelihood estimators compared to the MLE, calculated from 20,000 observations (10 series of 2000 observations) gene- rated from a 
Comparing Table 2 and Table 3, the quasi-likelihood estimator for p has a smaller variance than the moments estimator; for




The estimated determinant of the variance-covariance matrix of 


6. Applications: Number of Computer Breakdowns
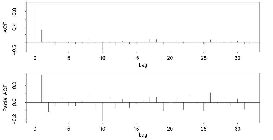
In this section, we perform some tests on a real time series presented by Al-Nachawati et al. [3] on the number of weekly computer breakdowns for 128 consecutive weeks. This series is overdispersed, since its mean and variance are equal to 4.016 and 14.504. In Figure 4, the acf function is seen to decrease with the lag, while the pacf is high for lag 1 and low thereafter; a 

Since the MLE was shown to be the best asymptotic estimator in the previous section, the parameters were estimated with this method; the estimates appear in Table 4, with the estimated variance-covariance matrix.
With the estimated variance-covariance matrices based on expressions (6), (8) and (9) of Section 5, Wald tests can be performed quite easily depending on which estimator has been chosen.
For example, to test 

statistic


the corresponding diagonal element of





To test
which follows a 
Table 4. MLE’s of the parameters.
Figure 4. Acf and pacf.
more powerful the test will be.
With the estimated parameters, we can test the 







Acknowledgements
The authors gratefully acknowledge the financial support of the Natural Sciences and Engineering Research Council of Canada and of the Fonds pour la Contribution à la Recherche du Québec.
Cite this paper
Louis G. Doray,Andrew Luong,El-Halla Najem, (2016) Efficiency of Some Estimators for a Generalized Poisson Autoregressive Process of Order 1. Open Journal of Statistics,06,637-650. doi: 10.4236/ojs.2016.64054
References
- 1. Freeland, R.K. and McCabe, B. (2004) Analysis of Low Count Time Series Data by Poisson Autoregression. Journal of Time Series Analysis, 25, 701-722.
http://dx.doi.org/10.1111/j.1467-9892.2004.01885.x - 2. Cardinal, M., Roy, R. and Lambert, J. (1999) On the Application of Integer-Valued Time Series Models for the Analysis of Disease Incidence. Statistics in Medicine, 18, 2025-2039.
http://dx.doi.org/10.1002/(SICI)1097-0258(19990815)18:15<2025::AID-SIM163>3.0.CO;2-D - 3. Whittle, P. (1961) Gaussian Estimation in Time Series. Bulletin of the International Statistical Institute, 39, 1-26.
- 4. Shenton, L.R. (1986) Quasi-Binomial Distributions. Encyclopedia of Statistical Sciences, John Wiley & Sons, New York, Vol. 7, 458-460.
- 5. Gouriéroux, C. and Monfort. A. (1983) Cours de Hamilton, J.D. (1994) Time Series Analysis. Princeton University Press, New Jersey.
- 6. Hamilton, J.D. (1994) Time Series Analysis. Princeton University Press, New Jersey.
- 7. Press, W.H., Teukolsky, S.A., Vetterling, W.T. and Flannery, B.P. (2002) Numerical Recipies in C++. The Art of Scientific Computing. Cambridge University Press, Cambridge.
- 8. Ambagaspitiya, R.S. and Balakrishnan, N. (1994) On the Compound Generalized Poisson Distributions. ASTIN Bulletin, 24, 255-263.
http://dx.doi.org/10.2143/AST.24.2.2005069 - 9. Consul, P.C. (1989) Generalized Poisson Distribution: Properties and Applications. Marcel Dekker Inc., New York.
- 10. Brannas, K. (1994) Estimation and Testing in Integer-Valued AR(1) Models. Umea Economic Studies 335, Umea, Sweden.
- 11. Al-Nachawati, H., Alwasel, I. and Alzaid, A.A. (1997) Estimating the Parameters of the Generalized Poisson AR(1) process. Journal of Statistical Computation and Simulation, 56, 337-352.
http://dx.doi.org/10.1080/00949659708811798 - 12. Al-Osh, M.A. and Alzaid, A.A. (1987) First-Order Integer-Valued Autoregressive (INAR(1)) Process. Journal of Time Series Analysis, 8, 261-275.
http://dx.doi.org/10.1111/j.1467-9892.1987.tb00438.x - 13. Alzaid, A.A. and Al-Osh, M.A. (1993) Some Autoregressive Moving Average Processes with Generalized Poisson Marginal Distributions. Annals of the Institute of Mathematical Statistics, 45, 223-232.
http://dx.doi.org/10.1007/BF00775809














































