American Journal of Plant Sciences
Vol.09 No.03(2018), Article ID:82505,13 pages
10.4236/ajps.2018.93031
Growth Promotion of Telfairia occidentalis by Application of Chlorella vulgaris (Bioinoculant) Colonized Seeds and Soil under Tropical Field Conditions
Obioma Kenechukwu Agwa*, Chimezie Jason Ogugbue, Enechojo Eunice Williams
Department of Microbiology, University of Port Harcourt, Port Harcourt, Nigeria

Copyright © 2018 by authors and Scientific Research Publishing Inc.
This work is licensed under the Creative Commons Attribution International License (CC BY 4.0).
http://creativecommons.org/licenses/by/4.0/



Received: January 2, 2018; Accepted: February 10, 2018; Published: February 13, 2018
ABSTRACT
The application of fertilizer is an essential factor for improving plant growth. This study was carried out to investigate the effect of Chlorella vulgaris (bio-fertilizer), NPK and poultry manure on the microbiological, biometric and biochemical properties of Telfairia occidentalis and its rhizosphere soil after forty days of planting. There were significant changes in the microbiological and physicochemical characteristics of soil in the various treatments administered. Maximum bacterial and fungal counts of 2.6 × 1010 and 3.8 × 105 cfu/g were obtained in soil treated with poultry manure and Chlorella vulgaris respectively whereas; maximum nitrogen (0.85%) and potassium (13.6 mg/ml) contents were obtained in NPK treated soil. Soil amended with Chlorella vulgaris showed maximum organic matter (9.48%) and phosphorus (8.55 mg/ml) concentrations. The amendment of soil with Chlorella vulgaris also speeded up germination of the Telfairia occidentalis to 5 days while, maximum plant length, number of leaves and fresh weight of the fluted pumpkin were obtained in Chlorella vulgaris amended soil and seed treatment pot. Total chlorophyll, carbohydrates, proteins and lipids were also increased on application of Chlorella vulgaris to soil or seed. Generally, application of Chlorella vulgaris to either seed or soil before planting resulted in increase in plant growth characteristics. Results of this study thus suggest that Chlorella vulgaris (bio-fertilizer) is a veritable biotechnological agent for improved cultivation of Telfairia occidentalis.
Keywords:
Biofertilizer, Chlorella vulgaris, NPK Poultry Manure, Telfairia occidentalis

1. Introduction
Telfairia occidentalis (fluted pumpkin) is a leafy vegetable of cucurbitaceae family which is used in Nigeria for both culinary and medicinal purposes [1] [2] [3] [4] . Fluted pumpkin is highly nutritious and is the most favourite vegetable for many Nigerians. It contains calcium, potassium, magnesium, iron and folic acid. It also contains vitamins A, C and, K [5] [6] [7] [8] . There are also reports suggesting that the vegetable’s seed and leaf helps prevent cancer, reduce cholesterol levels and improves blood count [9] [10] [11] .
In the cultivation of Telfairia occidentalis, fertilizer is a very key factor required to boost its yield and nutritional content. NPK fertilizer is popularly used for this in Nigeria however, it has detrimental effects such as the accumulation of toxic substances in soil, contamination of ground water, enhanced growth of resistant pest and spread of diseases, inhibition of essential microorganisms needed for nutrient cycling and the immobilization of chemical phosphate fertilizer in the soil, thus, resulting in insufficient availability of phosphate to plant. These challenges with the application of NPK fertilizer have fuelled the search for an appropriate alternative fertilizer for cultivation of Telfairia occidentalis [12] [13] .
Bio-fertilizer may provide that alternative to NPK fertilizer. It contains living organisms capable of improving plant growth [14] [15] . Its cost of production is low and it causes no harm to the environment (air, soil and even ground water). It enriches the soil by fixing atmospheric nitrogen either freely or symbiotically, solubilizing unavailable phosphate, producing of growth promoting substances and increasing organic matter content of the soil as a result of high population of microorganisms [16] . Most of these bio-fertilizers are present and predominant in the rhizosphere where they effectively enhance plant growth [17] [18] . Bio fertilizers could be bacteria, fungi, cyanobacteria or microalgae. Microalgae have been used as bio fertilizers in agriculture. They are organisms that use light and CO2 for massive unlimited growth. They produce organic matter, oxygen, and extracellular metabolites by fixing CO2 in their environment [19] [20] . In a previous report, the growth of Zea mays was improved with two strains of Chlorella sp. [21] . However, there is dearth of information on the enhancement of growth and yield of Telfairia occidentalis using microalgae as bio fertilizer. Earlier studies only dwelt on the use of organic fertilizer for improving its growth. For example, Olaniyi and Oyerele [22] conducted a field test to find out the effect of various organic fertilizers on Telfairia occidentalis growth and results showed that the application of Neem compost and tithonia compost resulted in maximum growth and fresh shoot yield. In another study, Habibi et al. [23] determined the combined effect of various fertilizers (bio, organic and chemical) on pumpkin features. Results indicated that inoculation of pumpkin seed with free-living nitrogen fixing bacteria, phosphate solubilizing bacteria and 50% organic fertilizer led to maximum oil and fruit yield with no significant effects on seeds weight and fruit number per plant. Idem et al. [24] also showed that combined NPK and poultry manure increased number of leaves per plant, vine length, branches, and pod yield of fluted pumpkin. It is obvious from previous studies that improved growth and yield of Telfairia occidentalis was achieved mainly by combining various fertilizers which increases the cost of agricultural inputs needed for the cultivation of this plant. Considering the importance of this vegetable as a source of essential nutrients for the teeming population in Nigeria, it has become imperative to search for a cheap, effective and non-deleterious fertilizer for improved production of Telfairia occidentalis. Hence, in this study, Chlorella vulgaris was used to determine its biofertlizer potential and efficacy for low cost cultivation and improved yield of Telfairia occidentalis.
2. Materials and Methods
2.1. Seeds of Telfairia occidentalis
The seeds of Telfairia occidentalis (fluted pumpkin) used in this study were obtained from Rumuokoro market, East-West Road, Port-Harcourt, Rivers State, Nigeria.
2.2. Soil
The soil used for the experiment was obtained from a garden soil (Latitude 04˚50'4.98N and Longitude 007˚1'1.50E) in Rukpakulusi, Obio-akpor Local Government Area, Rivers State
2.3. Microalgae Isolation
Microalga (Chlorella vulgaris) was isolated from fresh water pond at Aluu, Rivers State, Nigeria. It was cultured on an agar plate containing a synthetic medium according to Agwa and Abu [19] . Incubation of plates was at 24˚C for 7 days. The microalgae was identified using a wet mount method under the microscope at ×40 objective magnification and further bloomed using sterilized poultry manure for 7 days. Thereafter, the microalgae cell pellets were harvested by centrifugation.
2.4. Cultivation of the Plant
The experiment was conducted using different treatments consisting of potted plants in triplicates. The soil was analysed before planting as bulk soil (BS) while potted plant without any fertilizer was the control (PA). The treatment options are as indicated below:
PB1―seed alone inoculated with Chlorella vulgaris;
PB2―soil alone inoculated with Chlorella vulgaris;
PB3―soil and seed inoculated with Chlorella vulgaris;
PB4―Chlorella vulgaris inoculated on seed after germination;
PC―NPK fertilizer alone applied to soil;
PD―poultry manure alone applied to soil.
2.5. Biometric and Biochemical Analyses
The germination time, number of leaves, fresh weight of plant and plant height were ascertained according to Kavitha et al. [3] at two-week intervals (2nd, 4th and 6th week). Moisture, crude protein, lipid, total ash, carbohydrate, chlorophyll a and b, of the fresh vegetable plants were ascertained at 6th week of growth according to method of AOAC [20] .
2.6. Microbiological Analyses
The rhizosphere soil of all the treatments administered and the bulk soil samples were aseptically collected into sterilized tubes, serial dilution of one gram (1 g) of the soil sample was carried out, and one milligram of 108 and 109 dilutions were cultured on nutrient agar (NA) by pour plate technique and incubated at 37˚C for 24 h. Distinct colonies were further subculture by streaked method to obtain pure colonies which were then cultured in agarslant for further characterization. Characterization was based on their morphological (colonial and microscopic) and biochemical characteristics using biochemical tests: gram staining reactions, production of catalase, coagulase, indole, utilization of citrate, fermentation of sugars, urease test, starch hydrolysis, triple sugar iron agar test, mannitol salt agar, methyl red and voges proskauer test. Further identification was carried out using characteristics of known bacteria according to Bergey’s manual of determinative bacteriology [25] [26] .
Fungal isolates were obtained from the rhizosphere soil of the treatments by pour plate techniques. One millilitre (1 ml) of 104 dilution of one gram of soil was cultured using sabouraud dextrose agar (SDA), the plates were then incubated at 28˚C for 48 - 72 h for fungi growth, and distinct colonies were further subculture to obtain pure cultured colonies which was then cultured in agar slant. Wet mount of the fungi isolate was carried out using lacto phenol blue and viewed at microscopic magnification of X10 and X40, the isolates were characterized based on the colour of aerial, substrate hyphae, type of hyphae, asexual spores, spore head, sporangiophore and conidiophores the characteristics types and shapes which were further compared using Domsch and Gams [27] scheme.
2.7. Physicochemical Analyses
The pH, organic carbon, organic matter, nitrogen, potassium, phosphorus and moisture content of all the treatments were determined according to methods of International Institute for Tropical Agriculture IITA [28] .
2.8. Statistical Analyses
Data obtained were analysed using the one way analysis of variance ANOVA to determine if the variation in data obtained from various treatment are statistically different. The differences between treatment means were compared using significant different at 5% level of probability with SPSS 15.0 package.
3. Result
Table 1 shows the physicochemical characteristics of the rhizosphere soil of fluted pumpkin in various treatments and the non rhizosphere soil after 40 days of planting. There were significant differences (P < 0.05) between the data obtained for nitrogen, organic carbon, organic matter, phosphorus and potassium contents of the treated soil and that of the control (PA); data obtained for control (PA) in nitrogen (0.3%), organic carbon (2.57%), phosphorus (4.15 mg/ml) and potassium (10 mg/ml) were also significantly higher (P < 0.05) than that of the bulk soil (soil before planting) except for pH and moisture. Table 2 shows the bacterial and fungal counts of the rhizosphere soil of the fluted pumpkin in all the treatments and the bulk soil after 40 days of planting. The bacterial and fungal counts of rhizosphere soil in all treatments were significantly higher than
Table 1. Physicochemical characteristics of rhizosphere soil of fluted pumpkin after 40 days of planting.
*Values are mean ± standard deviation for three replicates (n = 3); *Values with no common superscripts were significantly different from each other at p < 0.05; PA (control)―no fertilizer; PB1―seed alone inoculated with Chlorella vulgaris; PB2―soil alone inoculated with Chlorella vulgaris; PB3―soil and seed inoculated with Chlorella vulgaris; PB4―Chlorella vulgaris inoculated on seed after germination; PC―NPK fertilizer alone applied to soil; PD―poultry manurealone applied to soil. BS―soil before planting.
Table 2. Total culturable heterotrophic bacterial counts and total culturable fungal counts of rhizosphere soil of fluted pumpkin for the various treatments at 40 days.
*Values with no common superscripts were significantly different from each other at p < 0.05; PA (control)―no fertilizer; PB1―seed alone inoculated with Chlorella vulgaris; PB2―soil alone inoculated with Chlorella vulgaris; PB3―soil and seed inoculated with Chlorella vulgaris; PB4―Chlorella vulgaris inoculated on seed after germination; PC―NPK fertilizer alone applied to soil; PD―poultry manurealone applied to soil. BS―soil before planting.
the counts in control (PA) soil which in turn, was significantly higher than that of the bulk soil (BS). The population of bacteria (2.60 × 1010 Cfu/ml) in soil treated with poultry manure (PD) was significantly higher (P < 0.05) than in the treatments with Chlorella vulgaris and NPK while fungal count (3.8 × 105 Cfu/ml) in the soil and seed inoculated with Chlorella vulgaris (B3) was significantly higher (P < 0.05) than fungal count for soil applied with NPK and poultry manure alone. Table 3 shows the biochemical characteristics of the fluted pumpkin in all treatments after 40 days. The highest moisture content (85.12%) was obtained in soil and seed inoculated with Chlorella vulgaris before planting (PB3). The maximum crude protein (2.03%) and crude lipid (5.48%) in fluted pumpkin were obtained in PB2 while the highest crude fibre (6.46%) and total chlorophyll (2.43%) were obtained in PB4 and PB2 respectively. Figure 1
Table 3. Biochemical characteristics of fluted pumpkin after 40 days of planting.
*Values are mean ± standard deviation for three replicates (n = 3); PA (control)―no fertilizer; PB1―seed alone inoculated with Chlorella vulgaris; PB2―soil alone inoculated with Chlorella vulgaris; PB3―soil and seed inoculated with Chlorella vulgaris; PB4―Chlorella vulgaris inoculated on seed after germination; PC―NPK fertilizer alone applied to soil; PD―poultry manurealone applied to soil. BS―soil before planting.
Figure 1. Morphological status of the potted fluted pumpkin after 2 weeks in different treatment pots; From the right: PB2 at the right end of the plate, PB3 is next to PB2, PB1 is next to PB2, PA is next to PB1 while PC and PD showed no growth when NPK and poultry manure was added before sowing.
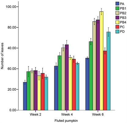
represents the morphological status of the potted fluted pumpkin after 2 weeks in different treatment pots. Figures 2-5 show the germination time, height of plant, number of leaves and weight of the plant for the various treatments. The shortest germination time (5 days) of the fluted pumpkin was obtained in PB2 whereas, the highest plant height (200 cm), the highest number of leaves (100) and the highest weight (80 g) were obtained in PB3, PB4 and PB3 respectively.
Figure 2. Effect of various treatments on germination time of Telfairia occidentalis.
Figure 3. Effect of various treatments on the weight of Telfairia occidentalis after 40 days of planting.
Figure 4. Effect of various treatments on the height of fluted pumpkin during the course of growth.
Figure 5. Effect of various treatments on number of leaves of fluted pumpkin during the course of growth.
Microorganisms isolated from Chlorella vulgaris treated soil include species of Bacillus, Citrobacter, Micrococcus, Pseudomonas, Fusarium, Aspergillus and Penicillium whereas, in the control (soil without fertilizer), the following microbes were isolated: Bacillus sp., Citrobacter sp., Fusarium sp., Aspergillus sp. and Mucor sp.
4. Discussion
The application of Chlorella vulgaris on soil, seed or both enhanced the growth and yield of Telfairia occidentalis. There were significant difference (p < 0.05) between the data obtained for nitrogen, organic carbon, organic matter, phosphorus and potassium content in treated soil and the data obtained for same parameters in soil of the control (PA). However, data on physicochemical characteristics in control soil were significantly higher than that obtained in bulk soil except for pH and moisture and this may be attributed to nutrient enrichment due to the application of NPK fertilizer. This observation is in consonance with the report of Taher and Mohammed [29] who made a similar inference. Significant differences (p < 0.05) were obtained in bacterial and fungal counts of rhizosphere soil obtained from various treatments including the control and bulk soil. The highest bacterial count was obtained in soil treated with poultry manure while the fungal count was highest in soil treated with Chlorella vulgaris. The high bacterial count obtained in soil treated with poultry manure may be due faecal and organic nature of poultry manure which encourages the rapid proliferation of microorganisms involved in decomposition activities. Moreover, root exudates, mucilages, mucigel, lysates, secretions and slough off cells may have contributed to the higher nutrient levels attained in the rhizosphere which facilitated rapid increase in numbers of the microorganisms and their activities [30] . In addition, Chlorella vulgaris, being a green microalga, contains high amounts of macronutrients, micronutrients, protein, antioxidants and amino acids that would have resulted in the higher population of microorganisms [25] . The bulk (non-rhizosphere) soil had the lowest bacterial and fungal counts probably arising from the non-application of fertilizer and lack of plant roots [31] . Telfairia occidentalis seeds sown in PB2 soil (amended with Chlorella vulgaris alone) had the lowest germination time (5 days). Likewise, relatively lower germination times were obtained for seeds amended with Chlorella vulgaris before sowing and in treatment pot where both the seed and soil were amended with Chlorella vulgaris. This observation suggests that Chlorella vulgaris enhanced the germination of Telfairia occidentalis seeds after sowing unlike NPK fertilizer and poultry manure which also agrees with the report of Doolototkeldieva et al. [18] that Streptomyces fumanus used to treat wheat and soybeans before planting increased average germination of wheat and soybeans by 1.5 times. More intriguing is the observation that NPK fertilizer and poultry manure inhibited the growth of Telfairia occidentalis when applied to soil before sowing. However, when applied to the soil after germination of Telfairia occidentalis seeds, both nutrient applications enhanced yield and nutritional content of the plant; this is similar to the result of Guuroh [32] who reported that 6 g of N.P.K resulted in 100% mortality of the Diospyrosmespili form is seedlings. The height and number of leaves of Telfairia occidentalis obtained after 6 weeks were more than were obtained in the control (PA). Telfairia occidentalis in PB3 (soil and seed inoculated with Chlorella vulgaris) had the highest fresh weight and this may be attributed to the high moisture content in soil of that treatment pot. Similar observations to those of this study have been made by Rao et al. [21] who reported that Chlorella vulgaris enhanced the growth of Cyamopsis tetragonoloba. Orluchukwu et al. [30] also reported great increase in vine length, number of leaves and shoot yield of fluted pumpkin treated with spent mushroom substrates when compared to the control without the substrates. Idem et al. [24] showed that combined NPK and poultry manure increased number of leaves per plant, vine length, branches, and pod yield of fluted pumpkin. Beliva [33] reported that inoculation of Chlorella vulgaris on grape seedling spositively affected its height, root length, fresh weight of leaves and root another study, seeds inoculated with free living nitrogen fixing bacteria, phosphate solubilizing bacteria and organic fertilizer resulted in maximum seed yield, oil yield and fruit yield [14] .
In this study, various treatments with Chlorella vulgaris resulted in relatively higher contents of different parameters in soil such as moisture, crude protein, lipid and chlorophyll; an observation in line with Rajasekaran et al. [16] who posited that mixed bio fertilizer administration achieved higher chlorophyll and carotenoid content in paddy seedlings. Bacillus, Citrobacter, Micrococcus, Pseudomonas, Aspergillus, Fusarium and Penicillium species isolated from Chlorella vulgaris treated soil play significant roles among others in plant growth such as nitrogen fixing, phosphate solubilisation and increasing organic matter of soil [14] [18] [34] .
5. Conclusion
The use of Chlorella vulgaris in the cultivation of Telfairia occidentalis enhanced germination, yield and nutritional content of the plant. There was shorter germination time, more increase in height, number of leaves and fresh weight of Telfairia occidentalis treated with Chlorella vulgaris than that of chemical fertilizer and poultry manure. There was also significant difference (P < 0.05) in the microbiological, biochemical, and physicochemical characteristics between the treatments administered.
Cite this paper
Agwa, O.K., Ogugbue, C.J. and Williams, E.E. (2018) Growth Promotion of Telfairia occidentalis by Application of Chlorella vulgaris (Bioinoculant) Colonized Seeds and Soil under Tropical Field Conditions. American Journal of Plant Sciences, 9, 403-415. https://doi.org/10.4236/ajps.2018.93031
References
- 1. Aderi, O.S., Udofia, A.C. and Ndaeyo, N.U. (2011) Influence of Chicken Manure Rates and Inorganic Fertilizer Formulations on Some Quantitative Parameters of Fluted Pumpkin (Telfairia occidentalis Hook F.). Nigerian Journal of Agriculture, Food and Environment, 7, 9-15.
- 2. Adisa, W.A., Okhiai, O., Bankole, J.K., Iyamu, O.A. and Aigbe, O. (2014) Testicular Damage in Telfairia occidentalis Extract Treated Wistarats. American Journal of Medical and Biological Research, 2, 37-45. https://doi.org/10.12691/ajmbr-2-2-2
- 3. Kavitha, S. and Rajini, S. (2013) Individual and Combined Effect of Bio fertilizer, Chemical Fertilizer and Vermi Compost on Amaranthus tristis. International Journal of Pharmaceutical Research, 20, 190-195.
- 4. Verla, A.W.E.N., Adowei, P., Briggs, A., Awa, A., Horsfall, M. and Spiff, A.I. (2014) Preliminary Chemical Profile of Telfairia occidentalis Hook F. (Fluted Pumpkin) Seed Shell. Merit Research Journal of Environmental Science and Toxicology, 2, 64-70.
- 5. Adegunwa, M.O., Alamu, E.O., Bakare, H.A. and Oyeniyi, C.O. (2011) Proximate and Bioactive Contents of Some Selected Vegetables in Nigeria: Processing and Varietal Effects. American Journal of Food and Nutrition, 1, 171-177. https://doi.org/10.5251/ajfn.2011.1.4.171.177
- 6. Akang, E.N., Oremosu, A.A., Dosumu, O.O., Noronha, C.C. and Okanlawon, A.O. (2010) The Effect of Fluted Pumpkin (Telfairia occidentalis) Seed Oil (FPSO) on Testis and Semen Parameters. Agriculture and Biology Journal of North America, 1, 697-703.
- 7. Indhumathi, P., Soundarajan, M. and Sayed, S. (2013) Isolation and Characterization of Microalgae for Carbon Sequestration; Waste Water Treatment and Bio fuel Production. International Journal of Bio-Science and Bio-Technology, 5, 17-25.
- 8. Udousoro, I. and Etuk, B. (2012) Effects of Heating Temperature and Time on the Nutrients and Antinutrients Composition of Telfairia occidentalis (Hook F.). International Journal of Modern Chemistry, 3, 14-22.
- 9. Ndor, E., Dauda, S.N. and Garba, M.N. (2013) Growth and Yield Performances of Fluted Pumpkin (Telfairia Occidentalis Hook F.) under Organic and Inorganic Fertilizer on Ultisols of North Central Nigeria. International Journal of Plant & Soil Science, 2, 212-221. https://doi.org/10.9734/IJPSS/2013/3863
- 10. Nwite, J.C., Ogbodo, E.N., Obalum, S.E., Igbo, V.C. and Igwe, C.A. (2012) Short-Term Response of Soil Physical Properties of an Ultisol, and Nutrient Composition of Fluted Pumpkin to Organic and Inorganic Fertilizer Mixtures. Journal of Biology, Agriculture and Healthcare, 22, 10.
- 11. Okon, I.E. and Udofot, E.E. (2012) Response of Telfairia occidentalis (Hook) to Arbuscular Mycorrhizal Fungi and Gliricidia sepium Leaves Manure in Spent Engine Oil Contaminated Soil. World Journal of Agricultural Sciences, 8, 20-25.
- 12. Kuku, A., Etti, U.J. and Ibironke, I.S. (2014) Processing of Fluted Pumpkin Seeds, Telfairia occidentalis (Hook F) as It Affects Growth Performance and Nutrient Metabolism in Rats. African Journal for Food, Agriculture, Nutrition and Development, 14, 1992-2014.
- 13. Ndor, E., Dauda, N.S., Abimuku, E.O., Azagaku, D.E. and Anzaku, H. (2012) Effect of Phosphorus Fertilizer and Spacing on Growth, Nodulation Count and Yield of Cowpea (Vigna unguiculata (L) Walp) in Southern Guinea Savanna Agro Ecological Zone, Nigeria. Asian Journal of Agricultural Sciences, 4, 254-257.
- 14. Derkowska, E., Paszt, L.S., Trzcinski, P., Przybyl, M. and Weszczak, K. (2015) Influence of Biofertilizers on Plant Growth and Rhizosphere Microbiology of Greenhouse-Grown Strawberry Cultivars. ACTA Scientiarum Polonorum Horticulture, 14, 83-96.
- 15. Fubara-Manuel, I., Nwonuala, A. and Davis, D.D. (2012) Growth Response of Fluted Pumpkin (Telfairia occidentalis Hook. F) to Combinations of Irrigation Intervals and Spent Mushroom Substrate in the Niger Delta Region of Nigeria. African Journal of Biotechnology, 11, 3346-3351. https://doi.org/10.5897/AJB11.1576
- 16. Rajasekaran, S., Sundaramoorthy, P. and Sankar, G.K. (2015) Effect of FYM, N, P Fertilizers and Biofertilizers on Germination and Growth of Paddy (Oryza sativa L). International Letters of Natural Sciences, 35, 59-65. https://doi.org/10.18052/http://www.scipress.com/ILNS.35.59
- 17. Akpan, G.U. and Usuah, P.E. (2014) Phytoremediation of Diesel Oil Polluted Soil by Fluted Pumpkin (Telfairia occidentalis Hook F.) in Uyo, Niger Delta Region, Nigeria. Journal of Environment and Earth Science, 4, 234-241.
- 18. Doolotkeldieva, T., Bobusheva, S. and Konurbaeva, M. (2015) Effects of Streptomyces Biofertilizer to Soil Fertility and Rhizosphere’s Functional Biodiversity of Agricultural Plants. Advances in Microbiology, 5, 555-571. https://doi.org/10.4236/aim.2015.57058
- 19. Agwa, O.K. and Abu, G.O. (2016) Influence of Various Nitrogen Sources on Biomass and Lipid Production by Chlorella vulgaris. British Biotechnology Journal, 15, 1-13. https://doi.org/10.9734/BBJ/2016/21727
- 20. Association of Analytical Communities (2000) AOAC Methods of Analysis. 14th Edition, Association of Official Analytical Chemists, Arlington, 503-515.
- 21. Rao, P.H., Kumar, R.R., Subramanian, V. and Sivasubramanian, V. (2010) Environmental Impact Assessment of Chlorella vulgaris Employed in Phyco-Remediation of Effluent from a Leather-Processing Chemical Industry. Journal of Algal Biomass Utilization, 1, 42-50.
- 22. Olaniyi, J.O. and Oyerele, T.A. (2012) Growth, Yield and Nutritional Compositions of Fluted Pumpkin (Telfairia occidentalis) as Affected by Fertilizer Types in Ogbomoso, South West Nigeria. Bulletin of Environment, Pharmacology and Life Sciences, 1, 81-88.
- 23. Habibi, A., Heidari, G., Sohrabi, Y., Badakhshan, H. and Mohammadi, K. (2011) Influence of Bio, Organic and Chemical Fertilizers on Medicinal Pumpkin Traits. Journal of Medicinal Plants Research, 5, 5590-5597.
- 24. Idem, N.U.A., Ikeh, A.O., Asikpo, N.S. and Udoh, E.I. (2012) Effect of Organic and Inorganic Fertilizer on Growth and Yield of Fluted Pumpkin (Telfaria occidentialis, Hook F.) in Uyo, Akwa Ibom State, Nigeria. Journal of Agriculture and Social Research, 12, 73-84.
- 25. Cheesbrough, M. (2000) District Laboratory Practice in Tropical Countries, Part 2. Cambridge University Press, Cambridge, 42-51.
- 26. Holt, G.J., Krieg, R.N., Sneath, A.H.P., Staley, T.J. and Williams, T.S. (1994) Bergey’s Manual of Determinative Bacteriology. 9th Edition, Williams and Wilikins Co., Baltimore.
- 27. Domsch, K.H. and Gams, W. (2010) Fungi in Agricultural Soils. Longman Group Limited, London, 20-152.
- 28. International Institute for Tropical Agriculture, IITA, (1990) Selected Methods for Soil and Plant Analysis. Manual Series No. 7, Printed at IITA, Ibadan, 3, 6-42.
- 29. Taher, M.T. and Mohammed, Y. (2015) Improvement of Growth Parameters of Zea may and Properties of Soil Inoculated with Two Chlorella Species. Science Publications, 7, 22-27.
- 30. Orluchukwu, J.A., Mac-Aboh, A.R. and Omovbude, S. (2016) Effect of Different Rates of Spent Mushroom Substrate on the Growth and Yield of Fluted Pumpkin (Telfaira occidentalis HOOK. F) in South-South, Nigeria. Nature and Science, 14, 40-44.
- 31. Oyewole, O.A., Okoliegbe, I.N. and Akwu, E.E. (2012) Comparative Rhizosphere and Physicochemical of Arachis hypogeal and Hibiscus esculentus. An Indian Journal, 8, 356-360.
- 32. Guuroh, T.R. (2017) The Effects of Pre-Sowing Treatments on Germination of Seeds and NPK Fertilizer on Early Growth Performance of Diopyrosmes piliformis Seedlings. http://www.academia.edu/323915/
- 33. Bileva, T. (2013) Influence of Green Algae Chlorella vulgaris on Infested with Xiphinema index Grape Seedlings. Earth Science and Climate Change, 4, 136-138.
- 34. Oroka, F.O. (2015) Leaf Area Development and Vine Growth of Telfairia occidentalis (Hook. F) in Response to Plant Spacing and Liquid Cattle Manure. IOSR Journal of Agriculture and Veterinary Science, 8, 5-10.







