Open Journal of Metal
Vol.04 No.04(2014), Article ID:52785,10 pages
10.4236/ojmetal.2014.44014
Theoretical and Numerical Study of Stress and Thermo-Optic in Photonic Crystal Fiber Laser in Different Pump Schemes
M. Abouricha1*, A. Boulezhar1, M. El Mouden1,2, M. Kriraa1, N. Rouchdi1
1Laboratory of Theoretical and Applied Physics, Faculty of Sciences-Ain Chok, Hassan II Casablanca University, Casablanca, Morocco
2Engineering Sciences Laboratory for Energy (LabSIPE), National School of Applied Sciences, El Jadida, Morocco
Email: *abourichamostafa@yahoo.fr
Copyright © 2014 by authors and Scientific Research Publishing Inc.
This work is licensed under the Creative Commons Attribution International License (CC BY).
http://creativecommons.org/licenses/by/4.0/



Received 9 October 2014; revised 6 November 2014; accepted 19 November 2014
ABSTRACT
In this paper, we present a study of thermal, average power scaling, change in index of refraction and stress in photonic crystal fiber lasers with different pump schemes: forward pump scheme, backward pump scheme, forward pump scheme with reflection of 98%, backward pump scheme with reflection of 98% and bi-directional pump scheme. We show that management of thermal ef- fects in fiber lasers will determine the efficiency and success of scaling-up efforts. In addition, we show that the most suitable scheme is the bi-directional.
Keywords:
Pump Schemes, PCF Lasers Birefringence in Fiber Lasers, Diode-Pumped Fiber Lasers, Fiber Lasers, Scaling of Fiber Lasers, Yb-Doped Fiber Lasers, Thermal Effects in Fiber Lasers

1. Introduction
The superiorities of the conventional solid-state and gas lasers make Yb3+ doped fibers lasers reported [1] -[4] . Recently a new type of the pump schemes with the high brightness semiconductor diode pump laser was studied [5] . And the new type of photonic crystal fibers (PCFs) is attracting increasing interests because of its unique properties such as endlessly single-mode guiding, freedom of dispersion characteristics, and large mode area [6] [7] . We also concentrate on PCFs in which a core doped with Yb3+ surrounded by a lower index cladding, which is, surrounded by an air-clad region, in turn, surrounded by a second lower index cladding index.
By analytical and numerical calculation and using the finite-difference method (FDM), we have determined the expressions of temperature distribution in different regions of the photonic crystal fiber laser (PCF) along the axial and radial directions from the integration of the steady-state heat equation for an isotropic medium. Then we used the expressions previously derived for the temperatures in Regions I, II, III, and IV [8] in the results of the expressions for the stress components (
,
, and
) and the change in the index of refraction in Regions I, II, III, and IV. The results are compared in different pump schemes for giving the design guidelines to ensure maximum heat dissipation and saving pump powers. The calculated stress values are very small in different pump schemes, and will consequently have a negligible effect upon the index of refraction.
The resulting gradients are still small as the corresponding stress values. As a consequence, we expect that changes in the index of refraction due to the stress-optic effect will be negligible in different pump schemes, and thermally induced birefringence will be absent in fiber lasers (in all cases of pumping), the stress component
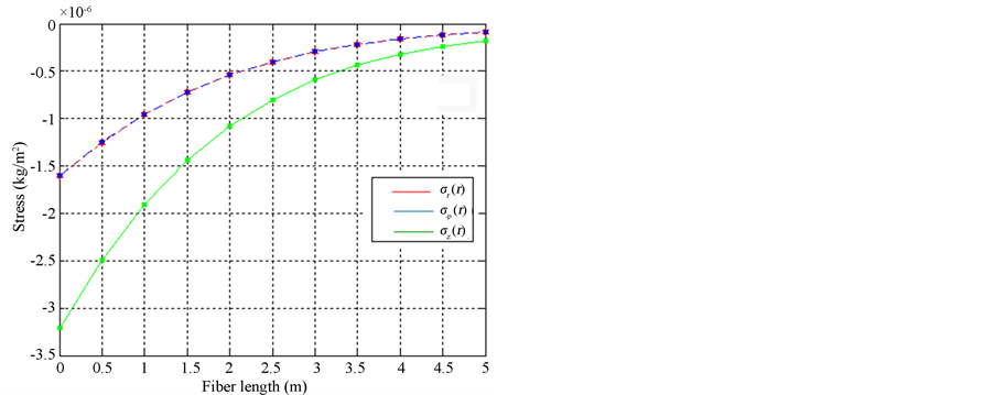
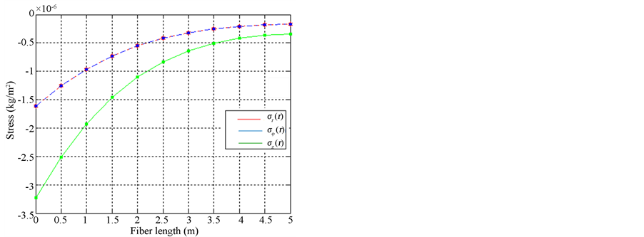
increases with the increase of the length the fiber in the cases (forward pump schemes) and decreases along the fiber laser in the cases (backward pump schemes). These values are between −0.4 ´ 10−6 kg/m2 and −3.4 ´ 10−6 kg/m2 in the four primer cases. Moreover, in the case bi-directional pump scheme, its value is between −0.8 ´ 10−6 kg/m2 and −1.8 ´ 10−6 kg/m2. And the values of the change in index of refraction increases in the cases of forward pump schemes and decreases in the cases of the backward pump schemes, along the fiber laser. For the bi-directional, its value is even smaller.
2. Average Temperature in PCF
As shown in Figure 1, a typical high power Yb3+-doped double-clad PCF laser consists of an Yb3+-doped dou- ble PCF with reflectors on both of the ends.
Figure 2 shows the heat flow mechanisms in fiber laser and the radial coordinate
and the tangential angle
. The quantities
and
are the core, inner cladding, air-clad and outer cladding radii, respectively.
Figure 1. Schematic illustration of end pumped fiber lasers.
Figure 2. Heat flow mechanisms in PCF laser [9] .
The temperature distribution in a fiber reported in [8] is necessary for determining the radially varying index of refraction due to
, the calculated stresses, and the change in index of refraction through the stress-optic effect.
We calculate the average temperature
as
(1)
where
(2)
(3)
(4)


where the temperature expressions



And



3. Stress Distributions
The length of the optical fibers is much greater than a typical fiber outside radius (b), we can invoke the plane- strain approximation [10] in which the z strain everywhere. The radial, tangential, and z stresses




in the case where the fiber end faces are free of traction

where













where.








It can be shown that (13)-(24) satisfy the boundary conditions











will be used in Section IV under to calculate the radially varying index of refraction in different pump schemes, due to the stress-optic effect. Note that the equations as derived above for the fiber stresses could also have been obtained by use of the deviation of the temperature distribution from the average and the Airy stress potential [11] .
4. Index of Refractions
Using the expressions for the radial temperature distributions, reported [8] and for the stress distributions (13)- (24), we tray now to make calculation of the radially varying radial and tangential index of refraction distribu- tions. For comparison in different pump schemes, we prefer to cast the calculation of the induced change in the index of refraction in terms of material stresses, rather than strains. We begin by writing the changes in the in- dices of refraction:

where






As before, the roman numerals refer to Regions I, II, III and IV. Here, we will calculate 

For Regions I, II, III and IV, becomes

And

And

And

The calculation of the stress-induced index changes 
Using








where 















We can also define the brief ringence

Which may be calculated by using, yielding




Equations (56)-(59) show that the fiber birefringence depends only on the thermally induced stresses. Finally, by using (43)-(50) and substituting (13)-(20) for the radial, tangential, and 
Where 



5. Discussions
For simplicity, we concentrated in this work on Yb3+. The core region is surrounded by a circle inner cladding region with dimensions of radius 125 µm, the width of air-clad is 5 µm and which is in turn surrounded by a polymeric outer cladding region with outside diameter of about 300 µm.
5.1. Stress Effect
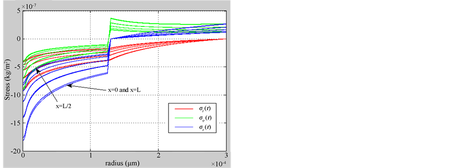
In Figures 3(a)-(e), we plotted the stress components radial, tangential and longitudinal as a function of the radial coordinate r in different pump schemes for a Yb3+ fiber with a pump of 200 W, b = 300 µm is the outer radius, convective coefficient h = 40.9 W/cm×K. The quantities 




For more clarification, we plotted the stress components as a function of the radius in different pump schemes. In Figures 4(a)-(e), we observe that there is a rapid increase in air-clad region of the components radial 





5.2. Index of Refraction
Using (47)-(54), we plotted the tangential and the radial indices of refraction as a function of the radial coordinate r in different pump schemes, Figures 5(a)-(e), the pump power used is 200 W, the fiber outside radius is b = 300 µm, and the convection coefficient is h = 40.9 W/m×K, and 



Figure 3. Distribution of longitudinal stress in PCF at 200 W pump of 940 nm load calculated by FDM analysis. (a) Forward pump schemes; (b) Forward pump with a reflectivity of 98%; (c) Backward pump schemes; (d) Backward pump with a reflectivity of 98%; (e) Tow-end pump schemes.
and 






Figure 4. Distribution of radial stress in PCF at 200 W of 940 nm pump load calculated by FDM analysis. (a) Forward pump schemes; (b) Forward pump with a reflectivity of 98%; (c) Backward pump schemes; (d) Backward pump with a reflectivity of 98%; (e) Tow-end pump schemes.
crease along the fiber lasers in Figure 5(a) and Figure 5(b) from the order 1.2 × 10−3 to 0.1 × 10−3. In Figure 5(c) and Figure 5(d) the values of change in index of refraction increase in the opposite order 0.1 × 10−3 to 1.2 × 10−3. Nevertheless, in Figure 5(e) the value is in order of 3 × 10−3 to 7 × 10−3. As result, we notice in side of



Figure 5. The change in index of refraction in PCF at 200 W pump load calculated by FDM analysis. (a) Forward pump schemes; (b) Forward pump with a reflectivity of 98%; (c) Backward pump schemes; (d) Backward pump with a reflectivity of 98%; (e) Tow-end pump schemes.
pumping there is a small difference of the change in index of refraction between the fiber core r = 0 and in the outer clad r = b, the four Figures 5(a)-(d). However, in Figure 5(e) the difference of the change in index of re- fraction between the fiber core r = 0 and in the outer clad r = b is small along the fiber.
6. Summary
In this paper, we have investigated a comparison of stress and thermo-optic of photonic crystal fiber (PCFs) in different pump schemes. Using in these calculations a simple model of (PCFs) and finite differential method (FDM), we have revealed the temperature in the core of the fiber and by laws of heat transfer, we determined its value at the surface of the fiber and the stress value in the different regions of the fiber.
In summary, regarding stress, thermo-optic and the change in index of refraction, their value does not have a great effect on the quality of the laser beam in different pump schemes, especially in the case of the bi-direc- tional pumping. Hence, after this investigation, we proved the architecture of laser cavity that was the most convenient in specific condition. The bi-directional pump scheme is the most suitable because it has less thermal effects than the other cases. However, the backward pump with reflection of 98% and the forward pump with reflection of 98% save more energy than the backward pump with reflection of 0%, the forward pump with ref- lection of 0% and bi-directional pump scheme.
References
- Limpert, J., Liem, A., Zellmer, H. and Tunnerman, A. (2003) 500 W Continuous-Wave Fiber Laser with Excellent Beam Quality. Electronics Letters, 39, 645-647. http://dx.doi.org/10.1049/el:20030447
- DiGiovanni, D.L. and Muendel, M.H. (1999) High Power Fiber Lasers and Amplifiers. Optics and Photonics News, 10, 26-30. http://dx.doi.org/10.1364/OPN.10.1.000026
- Platonov, N., Gapontsev, V.P., Shkurihin, O. and Zaitsev, I. (2003) 400 W Low-Noise Single-Mode CW Ytterbium Fiber La- ser with an Integrated Fiber Delivery. Conference on Lasers and Electro-Optics, Optical Society of America, Washington DC, 6 June 2003.
- Muendel, M.H. (1999) High-Power Fiber Laser Studies at the Polaroid Corporation. Proceedings of the SPIE Conference High-Power Lasers, San Jose, 24 June 1998, Vol. 3264, 21-29.
- Shang, L. (2011) Comparative Study of the Output Characteristics of Ytterbium-Doped Double-Clad Fiber Lasers with Different Pump Schemes. Optik, 122, 1899-1902. http://dx.doi.org/10.1016/j.ijleo.2010.11.021
- Knight, J.C. and Russell, P.St.J. (2002) New Ways to Guide Light. Science, 296, 276-277. http://dx.doi.org/10.1126/science.1070033
- Knight, J.C., Briks, T.A., Cregan, R.F., et al., (1998) Large Mode Area Photonic Crystal Fiber. Electronics Letters, 34, 1347-1349. http://dx.doi.org/10.1049/el:19980965
- Abouricha, M., Boulezhar, A. and Habiballah, N. (2013) The Comparative Study of the Temperature Distribution of Fiber Laser with Different Pump Schemes. Open Journal of Metal, 3, 64-71. http://dx.doi.org/10.4236/ojmetal.2013.34010
- Limpert, J., Schreiber, T., Liem, A., Nolte, S. and Zellmer, H. (2003) Thermo-Optical Properties of Air-Clad Photonic Crystal Fiber Lasers in High Power Operation. Optics Express, 11, 2982-2990.
- Boley, B.A. and Weiner, J.H. (1985) Theory of Thermal Stresses. Kreiger, Melbourne.
- Brown, D.C. and Hoffman, H.J., IEEE Member (2001) Thermal, Stress, and Thermo-Optic Effects in High Average Power Double-Clad Silica Fiber Lasers. IEEE Journal of Quantum Electronics, 37, 207-217.
- Bass, M., Ed. (1995) Handbook of Optics (Sponsored by the Optical Society of America). Vol. II, Devices, Measurements, and Properties. McGraw-Hill, New York.
- Eggleston, J.M., Kane, T.J., Kuhn, K., Unternahrer, J. and Byer, R.L. (1984) The Slab Geometry Laser―Part I: Theory. The IEEE Journal of Quantum Electronics, QE-20, 289-301. http://dx.doi.org/10.1109/JQE.1984.1072386
- Brown, D.C. (1998) Nonlinear Thermal Distortion in YAG Rod Amplifiers. IEEE Journal of Quantum Electronics, 34, 2383-2382. http://dx.doi.org/10.1109/3.736113
- Krupke, W.F., Shinn, M.D., Marion, J.E., Caird, J.A. and Stokowski, S.E. (1986) Spectroscopic, Optical, and Thermo- mechanical Properties of Neodymium- and Chromium-Doped Gadolinium Scandium Gallium Garnet. Journal of the Optical Society of America B, 3, 102, 113.










