International Journal of Organic Chemistry
Vol.06 No.01(2016), Article ID:65200,10 pages
10.4236/ijoc.2016.61006
Highly Fluorescent Conducting Polymer Hybrid Materials Based on Polyaniline-Polyethylene Glycol-Arsenic Sulphide
Vivek Kumar Singh, Amit Singh, Vinod Kumar Gupta, Ram Adhar Singh*
Department of Chemistry, Centre of Advanced Study, Institute of Science, Banaras Hindu University, Varanasi, India

Copyright © 2016 by authors and Scientific Research Publishing Inc.
This work is licensed under the Creative Commons Attribution International License (CC BY).
http://creativecommons.org/licenses/by/4.0/



Received 19 January 2016; accepted 27 March 2016; published 30 March 2016
ABSTRACT
Highly fluorescent binary and ternary hybrid materials based on polyaniline, polyethylene glycol (PEG) and arsenic sulphide have been prepared via oxidative chemical polymerization and characterized by FT-IR and powder X-ray diffraction techniques. Thermogravimetric analysis showed that all the materials are thermally stable up to 250˚C. The optical behaviour was investigated using UV-Vis. and fluorescence spectroscopy. Fluorescence spectra of polyaniline and its hybrids were found to be concentration dependent, and concentrations were optimized to achieve maximum intensity of emission. Aggregation caused quenching (ACQ) may be the possible reason for concentration dependent emission. Hybrids showed significantly enhanced fluorescence than polyaniline. The AC electrical conductivity was also measured and found to be better for hybrids than the polyaniline. In the PAni-PEG-As2S3 hybrid, the conductivity was found to be 9.57 × 10−1 S/cm at 100 KHz. This valuable improvement in luminescent property and conducting behaviour may be useful in various optoelectronic and electronic applications.
Keywords:
Polyaniline Hybrids, Fluorescence, Aggregation Caused Quenching (ACQ), Electrical Conductivity, Opto-Electronic Applications

1. Introduction
Conjugated conducting polymers have recently received special attention in nanoscience and nanotechnology because of their highly π-conjugated polymeric chains and metal like conductivity [1] - [4] . The optical properties of conducting polymers [5] - [7] are as important as electrical properties because they allow number of applications such as sensing [8] - [10] , displays and other opto-electronic applications [11] [12] . Along with various advantages, these pristine conducting polymers have several drawbacks such as poor emission, processability and stability. However, these drawbacks could be overcome to a large extent by preparing their hybrids with inorganic semiconductors such as metal sulfides and oxides. In the past, hybrids of polyaniline with various micro/ nano structural semiconductors such as ZnS, CdS, Bi2S3 have been prepared and studied for their various properties [13] - [17] . The combinations of organic and inorganic species create new material for development of new multifunctional devices [18] - [20] . It improves mechanical, optical, electrical and other properties of material. In conducting polymer, polyaniline is cheap, easily synthesizable and has high environmental stability. So, polyaniline has been frequently used as a host material for hybrids with various metallic sulfides [21] [22] .
The structural photoelectrical properties of PAni/Bi2S3 composite thin film prepared by electrodeposition have been studied. It was found that with the increase in concentration of PAni in PAni/Bi2S3 hybrid, conductivity increases [23] . NiS/PAni counter electrode showed excellent electro catalytic activity and low charge transfer resistance relative to that of a platinum counter electrode in sulfide/polysulfide (S2−/S3−) electrolyte [24] . The photoluminescence and Raman evidence for mechanic-chemical interaction of polyaniline-emeraldine base with ZnS in cubic and hexagonal phase have also been reported [25] .
In present work, binary/ternary hybrids of polyaniline with PEG and As2S3 were synthesized by in situ polymerization of aniline in acidic medium. All the materials were characterized for their spectral, thermal, optical and electrical properties. Luminescence behaviour of polyaniline and its hybrids were investigated at different concentration in dimethylsulphoxide (DMSO). To the best of our knowledge no reports have been found related to synthesis and optical properties of ternary hybrid of PAni with As2S3-PEG.
2. Experimental Section
2.1. Materials and Methods
Aniline (Merck, A.R. grade) was distilled twice at normal pressure before use. Polyethylene glycol 6000 (Average molecular weight 7000 - 9000, LOBA chemicals, A. R. grade); arsenic sulfide (Merck) and ammonium persulphate (Merck) were used as received. Triple distilled water was used in all the synthesis processes.
2.2. Synthesis
Polyaniline was prepared by standard procedure [13] . Syntheses of various hybrids are stated below:
2.2.1. Synthesis of Polyaniline-Polyethylene Glycol (PAni-PEG) Hybrid
To the solution of aniline (3 g, 0.03 mol) dissolved in 60 mL 2N HCl, 1.0 g polyethylene glycol dissolved in 25 mL water solution was added, mixed thoroughly and cooled below 5˚C in an ice bath. Ammonium per sulfate 9.0 g (0.07 mol) dissolved in 60 mL water was added slowly in an hour along with continuous stirring. The green color precipitate was obtained, kept in freezer over night, filtered, washed and dried. Yield (in g) = 3.1 g.
2.2.2. Synthesis of Polyaniline-Arsenic Sulfide (PAni-As2S3) Hybrid
Aniline, 3.0 g (0.03 mol) was dissolved in 60 mL 2N HCl and kept in ice bath. 2.0 g (0.05 mol) arsenic trioxide was dissolved in 200 mL 2N HCl and then H2S was passed for 15 minutes. A yellow colored colloidal As2S3 solution was obtained which was cooled to the temperature of less than 5˚C. A pre-cooled solution of 9.0 g (0.07 mol) of ammonium per sulfate dissolved in 60 mL water was added slowly by burette in aniline hydrochloride and arsenic sulfide colloidal mixture with continuous stirring. After 30 minutes a green colored precipitate started to form indicating the initiation of the reaction. The reaction was allowed to proceed for an hour, and then the mixture was kept in freezer overnight. A bluish green color precipitate was obtained. The precipitate was filtered and washed with 2N HCl and thrice by triple distilled water in order to remove unreacted reagents. The precipitate was dried in an oven at 60˚C - 70˚C and then kept over anhydrous CaCl2 in desiccator. Yield (in g) = 3.5 g.
2.2.3. Polyaniline-Polyethylene Glycol-Arsenic Sulfide (PAni-PEG-As2S3) Hybrid
2.0 g (0.05 mol) arsenic trioxide dissolved in 200 mL 2N HCl and H2S was passed into the solution for 15 minutes. To the resulting colloidal solution, aniline 3 g (0.03 mol) dissolved in 60 mL 2N HCl and 1.0 g polyethylene glycol dissolved in 25 mL water solution was added, mixed thoroughly and cooled below 5˚C in an ice bath. Ammonium per sulfate 9.0 g (0.07 mol) dissolved in 60 mL water was added slowly in an hour along with continuous stirring. The green color precipitate was kept in freezer over night, filtered washed and dried. Yield (in g) = 4.5 g. There were no yellow colored particles of As2S3 present in the prepared hybrid indicating good coating of As2S3 nanoparticles by polyaniline. The overall synthesis process is shown in Figure 1.
2.3. Measurements
IR spectra of the samples were recorded using PerkinElmer FTIR Spectrometer as KBr pellets. UV-Visible spectra were recorded on a Shimadzu UV-1700 spectrophotometer. Fluorescence spectral measurements were carried out on a JY Horiba fluorescence spectrophotometer. The thermo gravimetric analysis (TGA) measurements were performed on Perkin Elmer STA 600 at heating rate of 10˚C per minute. AC impedance/conduc- tance in the frequency range of 40 Hz to 100 KHz was made using a LCZ meter (Keithley 3330). The basic accuracy of the LCZ meter used for our measurements was 0.1% for the impedances in the range of 0.1 mΩ to 19.999 MΩ; capacitances in the range of 0.001 pF to 199.99 mF and for conductance in the range of 0.001 µS to 199.99 S.
3. Results and Discussion
3.1. IR Spectroscopy
IR spectra of the samples were recorded in the range 400 - 4000 cm−1 in KBr medium. The IR spectra of the hybrids and PAni have been shown in Figure 2 and all the characteristic bands are tabulated in Table 1. A broad
Figure 1. Synthetic scheme for the preparation of Pani-PEG-As2S3.
Figure 2. Infra-red spectra of (a) PAni, (b) PAni-PEG, (c) PAni-As2S3 and (d) PAni-PEG-As2S3.
Table 1. Characteristics of I. R. (in cm−1) of (a) PAni, (b) PAni-PEG, (c) PAni-As2S3 and (d) PAni-PEG-As2S3.
band comes at the region of 3415 - 3460 cm−1 is due to υ (N-H) stretching mode. The vibrational bands at 1563 cm−1 correspond to stretching of υ (N=Q=N) where Q refers to C6H4 in quinoid form and the band at 1490 cm−1 υ (N-B-N) where B refers to C6H4 in benzenoid form. The bands at 1300 cm−1 are assigned to C-N stretching vibration in QBQ and QBC, QBB, BBQ and the band at 1240 cm−1 is due to C-N stretching vibration of aromatic amine. In the region of 1020 - 1170 cm−1 the aromatic C-H in plane bending while the bands at 803 cm−1 is due to C-H out of plane bending of 1, 4 disubstituted benzene are observed. A strong band comes at 1140 cm−1 due to electronic band or vibrational band at pure nitrogen quinine in polyaniline. A band at 703 cm−1 is assigned to the ring C-C bending vibration, while the band at 590 cm−1 is due to the ring in plane deformation. The C-H out of plane bending mode has been used as a key to identify the type of substituted benzene. A band at 500 cm−1 is assigned to aromatic ring deformation.
A very good agreement between these spectra of PAni and hybrids, indicating that biomimetic synthesis leads to hybrid material based on these systems. The bands at 1468 cm−1 were found to undergo a red shift to 1451 cm−1 in presence of As2S3 long with similar shifts from 1105 to 1000 cm−1 and 796 to 795 cm−1. The interaction of cationic anilinium ions with anionic As2S3 colloidal particle may be responsible for bringing As2S3 particles close to the nitrogen sites which lead to weak interactions between the conjugated polyaniline shells with non- conducting As2S3 core.
3.2. X-Ray Diffraction Studies
The powder X-ray diffraction is one of the best methods to find out incorporation of additive into the host material i.e. in the case of binary and ternary hybrids. The X-Ray Diffraction pattern of PAni, PAni-PEG, PAni-As2S3 and PAni-PEG-As2S3 are shown in Figure 3. It shows broad and well defined peaks, which indicate the semi crystalline nature of all the materials. The plains of benzenoid and quinoid rings of PAni chain are responsible for semi crystalline nature. As per various reports present in literature, As2S3 exhibit peaks at about 33˚ and 54˚. The similar peaks were observed in PAni-As2S3 and PAni-PEG-As2S3 hybrids which clearly indicate the presence of As2S3 in hybrids. It is also clear from the XRD patterns that crystallinity decreases from polyaniline to its hybrids as intensity of the peaks decreases. PAni encapsulates As2S3 particles, interaction of PAni and As2S3 weaken the interaction between two PAni chains and thus crystallinity of PAni is hampered and the degree of crystallinity decreases.
3.3. Thermogravimetric Analysis
Thermal degradation patterns of the PAni and various hybrids have been displayed in Figure 4. From the pattern it is clear that they follow a three-stage decomposition pattern. The first stage being weight loss, starting from room temperature to 100.0˚C corresponds to loss of water molecules/moisture present in the polymer. The second stage loss from 100.0˚C to 250.0˚C is associated with a loss of dopant ion from the polymer matrix (dedoping). However, the weight loss after 250.0˚C is due to degradation and decomposition of the polymer after the loss of dopant ion. PAni, PAni-PEG, PAni-As2S3 and PAni-PEG-As2S3 exhibit weight loss 15%, 18%, 19% and 20%, respectively in the temperature range 100˚C - 250˚C. The total weight loss up to 800˚C of PAni, PAni-PEG, PAni-As2S3 and PAni-PEG-As2S3 are 54%, 56%, 66%and 69%, respectively. It indicates that up to 200.0˚C As2S3 hybrids have less weight loss than PAni and PAni-PEG but above 250˚C hybrids have larger weight loss than PAni and PAni-PEG. The cause behind temperature drop in hybrid at higher temperature region could be attributed to a strong interaction at the interface of AS2S3 and PAni weaken the force of interaction of PAni interchains and enhance thermal decomposition of PAni in the hybrid.
Figure 3. Powder X-ray diffraction patterns of (a) PAni, (b) PAni-PEG, (c) PAni-As2S3and (d) PAni-PEG-As2S3.
3.4. UV-Visible Spectra
The UV-Visible absorption spectra are helpful to identify extent of conjugation in conducting polymers and also in comparative study of conducting polymers with their hybrids. The absorption spectra of PAni and various hybrids were recorded in DMSO solution and given in Figure 5.
The absorption spectrum of PAni exhibits band at 645 nm, indicates high degree of conjugation. However, these bands have been found slightly blue shifted in the case of hybrids. The obtained values are tabulated in
Figure 4. TGA curves of PAni, PAni-PEG, PAni-As2S3 and PAni-PEG-As2S3.
Figure 5. UV-visible spectra of (a) PAni, (b) PAni-PEG, (c) PAni-As2S3 and (d) PAni-PEG-As2S3.
Table 2. The blue shifting in hybrids depend upon the amount of the PAni. Higher the amount of PAni lesser will be the shifting of these bands. In the absorption spectra of hybrids, the band appears at the lower wavelength region also suffer blue shift in respect to PAni. It may be due to the microstructural changes which depend on the synthetic conditions.
3.5. Fluorescence Studies
The fluorescence spectra of PAni, PAni-PEG, PAni-As2S3 and PAni-PEG-As2S3 were recorded in DMSO. All the materials showed significant emission in the range of 300 - 550 nm. In order to achieve optimum concentration, the fluorescence spectra were recorded at different concentrations and are shown in Figure 6.
Table 2. UV-visible spectral bands of (a) PAni, (b) PAni-PEG, (c) PAni-As2S3 and (d) PAni-PEG-As2S3.
Figure 6. Fluorescence spectra of (a) PAni, (b) PAni-PEG, (c) PAni-As2S3 and (d) PAni-PEG-As2S3.
Above optimum concentration, the fluorescence intensity decreases due aggregation caused quenching (ACQ) and below optimum concentration it decreases due to much dilution. From concentration versus fluorescence intensity curve (Figure 7), it is clear that PAni-PEG-As2S3 hybrid showed highest emission among all. Also, PAni exhibits weaker emission than hybrids, might be due to presence of additives may reduce the possibility of aggregation in PAni.
3.6. AC Electrical Conductivity Measurement
The AC electrical conductivity of PAni and various hybrids were measured at room temperature in the various frequency regions using platinum foils as contacts on pellets. The values are represented in Table 3. In all the cases, with increase in frequency conductivity of the materials increases.
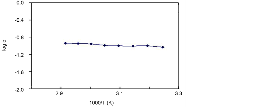
At 100 Hz, the conductivity of polyaniline was found to be 4.08 × 10−1 S/cm. In the PAni-PEG-As2S3 hybrid the conductivity was found to be 9.53 × 10−1 S/cm. The conductivity of PAni-PEG-As2S3 hybrid is also measured as a function of temperature. It has been found that, an increase in temperature results into increase in conductivity and shows the semiconductor behavior of material. Arrhenius plot is shown in Figure 8.
Figure 7. Concentration vs. fluorescence intensity plots for PAni, PAni-PEG, PAni-As2S3 and PAni-PEG-As2S3.
Figure 8. Arrhenius plot for PAni-PEG-As2S3 hybrid.
Table 3. Conductivity data summary of polyaniline and hybrids.
4. Conclusion
In conclusion, polyaniline based binary and ternary hybrids were prepared and exhibited better luminescent and conducting properties than polyaniline. Luminescent spectra of polyaniline and its hybrids were taken at different concentration in DMSO and found to be concentration dependent. Fluorescence signals of polyaniline and its hybrids were found to be aggregation caused quenching (ACQ) type. Powder X-ray diffraction pattern revealed that hybrids of PAni exhibit poor crystallinity than PAni. Ternary hybrid, PAni-PEG-As2S3, posses highest conductivity among all the materials. These materials may find potential application in electronic and opto- electronic devices.
Acknowledgements
V. K. Singh is thankful to the Council of Scientific and Industrial Research (CSIR), New Delhi for senior research fellowship (SRF). V. K. Gupta is thankful to the University Grant Commission (UGC), New Delhi for the award of BSR meritorious fellowship.
Cite this paper
Vivek Kumar Singh,Amit Singh,Vinod Kumar Gupta,Ram Adhar Singh, (2016) Highly Fluorescent Conducting Polymer Hybrid Materials Based on Polyaniline-Polyethylene Glycol-Arsenic Sulphide. International Journal of Organic Chemistry,06,55-64. doi: 10.4236/ijoc.2016.61006
References
- 1. Deng, H., Lin, L., Ji, M., Zhang, S., Yang, M. and Fu, Q. (2014) Progress on the Morphological Control of Conductive Network in Conductive Polymer Composites and the Use as Electroactive Multifunctional Materials. Progress in Polymer Science, 39, 627-655.
http://dx.doi.org/10.1016/j.progpolymsci.2013.07.007 - 2. Muhsin, B., Roesch, R., Gobsch, G. and Hoppe, H. (2014) Flexible ITO-Free Polymer Solar Cells Based on Highly Conductive PEDOT: PSS and a Printed Silver Grid. Solar Energy Materials and Solar Cells, 130, 551-554.
http://dx.doi.org/10.1016/j.solmat.2014.08.009 - 3. Shi, Y., Pan, L., Liu, B., Wang, Y., Cui, Y., Bao, Z. and Yu, G. (2014) Nanostructured Conductive Polypyrrolehydrogels as High-Performance, Flexible Supercapacitor Electrodes. Journal of Materials Chemistry A, 2, 6086-6091.
http://dx.doi.org/10.1039/c4ta00484a - 4. Mutiso, R.M. and Winey, K.I. (2015) Electrical Properties of Polymer Nanocomposites Containing Rod-Like Nanofillers. Progress in Polymer Science, 40, 63-84.
http://dx.doi.org/10.1016/j.progpolymsci.2014.06.002 - 5. Hriz, K., Jaballah, N., Fave, J.L. and Majdoub, M. (2015) New Anthracene-Based Semi-Conducting Polymer Analogue of Poly(phenylene sulfide): Synthesis and Photophysical Properties. Optical Materials, 46, 401-408
http://dx.doi.org/10.1016/j.optmat.2015.04.055 - 6. Adachi, N., Kaneko, Y., Sekiguchi, K., Sugiyama, H. and Sugeno, M. (2015) pH-Responsive Fluorescence Chemical Sensor Constituted by Conjugated Polymers Containing Pyridine Rings. Luminescence, 30, 1308-1312
http://dx.doi.org/10.1002/bio.2898 - 7. Sun, H., Lu, B., Duan, X., Xu, J., Dong, L., Zhu, X. and Ming, S. (2015) Electrosynthesis and Characterization of a New Conducting Copolymer from 2’-Aminomethyl-3,4-ethylenedioxythiophene and 3,4-Ethylenedioxythiophene. International Journal of Electrochemical Science, 10, 3236-3249.
- 8. Sheng, G., Xu, G., Xu, S., Wang, S. and Luo, X. (2015) Cost-Effective Preparation and Sensing Application of Conducting Polymer PEDOT/Ionic Liquid Nanocomposite with Excellent Electrochemical Properties. RSC Advances, 5, 20741-20746.
http://dx.doi.org/10.1039/C4RA15755A - 9. Verma, R. and Gupta, B.D. (2015) Detection of Heavy Metal Ions in Contaminated Water by Surface Plasmon Resonance Based Optical Fiber Sensor Using Conducting Polymer and Chitosan. Food Chemistry, 166, 568-575.
http://dx.doi.org/10.1016/j.foodchem.2014.06.045 - 10. Hui, N., Wang, S., Xie, H., Xu, S., Niu, S. and Luo, X. (2015) Nickel Nanoparticles Modified Conducting Polymer Composite of Reduced Graphene Oxide Doped Poly(3,4-ethylenedioxythiophene) for Enhanced Nonenzymatic Glucose Sensing. Sensors and Actuators B: Chemical, 221, 606-613.
http://dx.doi.org/10.1016/j.snb.2015.07.011 - 11. Qiu, T., Luo, B., Liang, M., Ning, J., Wang, B., Li, X. and Zhi, L. (2015) Hydrogen Reduced Graphene Oxide/Metal Grid Hybrid Film: Towards High Performance Transparent Conductive Electrode for Flexible Electrochromic Devices. Carbon, 81, 232-238.
http://dx.doi.org/10.1016/j.carbon.2014.09.054 - 12. Soganci, T., Kurtay, G., Ak, M. and Güllü, M. (2015) Preparation of an EDOT-Based Polymer: Optoelectronic Properties and Electrochromic Device Application. RSC Advances, 5, 2630-2639.
http://dx.doi.org/10.1039/C4RA13060J - 13. Singh, A., Singh, N.P., Singh, P. and Singh, R.A. (2011) Synthesis and Characterization of Conducting Polymer Composites Based on Polyaniline-Polyethylene Glycol-Zinc Sulfide System. Journal of Polymer Research, 18, 67-77.
http://dx.doi.org/10.1007/s10965-010-9392-6 - 14. Xiao, Y., Wang, W.Y., Chou, S.W., Lin, T.W. and Lin, J.Y. (2014) In Situ Electropolymerization of Polyaniline/Cobalt Sulfide Decorated Carbon Nanotube Composite Catalyst toward Triiodide Reduction in Dye-Sensitized Solar Cells. Journal of Power Sources, 266, 448-455.
http://dx.doi.org/10.1016/j.jpowsour.2014.05.037 - 15. Yang, P., Duan, J. and Tang, Q. (2015) Cobalt Sulfide Decorated Polyaniline Complex Counter Electrodes for Efficient Dye-Sensitized Solar Cells. Electrochimica Acta, 184, 64-69.
http://dx.doi.org/10.1016/j.electacta.2015.10.050 - 16. Shit, A., Chatterjee, S. and Nandi, A.K. (2014) Dye-Sensitized Solar Cell from Polyaniline-ZnS Nanotubes and Its Characterization through Impedance Spectroscopy. Physical Chemistry Chemical Physics, 16, 20079-20088.
http://dx.doi.org/10.1039/C4CP02175D - 17. Dey, S.K. and Sarkar, D. (2014) Effect of Zn Source Concentration on Structural, Optical and Electrical Properties of zinc Sulphide-Polyaniline (ZnS-PANI) Nanocomposite Thin Films. Journal of Materials Science: Materials in Electronics, 25, 5638-5645.
http://dx.doi.org/10.1007/s10854-014-2353-9 - 18. Shin, K.Y., Kim, M., Lee, J.S. and Jang, J. (2015) Highly Omnidirectional and Frequency Controllable Carbon/ Polyaniline-Based 2D and 3D Monopole Antenna. Scientific Reports, 5, Article No.: 13615.
- 19. Wu, J., Yang, Z., Chen, N., Zhu, W., Hong, J., Huang, C. and Zhou, X. (2015) Vanillin-Molecularly Targeted Extraction of Stir Bar Based on Magnetic Field Induced Self-Assembly of Multifunctional Fe3O4@Polyaniline Nanoparticles for Detection of Vanilla-Flavor Enhancers in Infant Milk Powders. Journal of Colloid and Interface Science, 442, 22-29.
http://dx.doi.org/10.1016/j.jcis.2014.11.025 - 20. Islam, M.M., Aboutalebi, S.H., Cardillo, D., Liu, H.K., Konstantinov, K. and Dou, S.X. (2015) Self-Assembled Multifunctional Hybrids: Toward Developing High-Performance Graphene-Based Architectures for Energy Storage Devices. ACS Central Science, 1, 206-216.
http://dx.doi.org/10.1021/acscentsci.5b00189 - 21. He, K., Li, M. and Guo, L. (2012) Preparation and Photocatalytic Activity of PANI-CdS Composites for Hydrogen Evolution. International Journal of Hydrogen Energy, 37, 755-759.
http://dx.doi.org/10.1016/j.ijhydene.2011.04.065 - 22. Sasikala, R., Gaikwad, A.P., Jayakumar, O.D., Girija, K.G., Rao, R., Tyagi, A.K. and Bharadwaj, S.R. (2015) Nanohybrid MoS2-PANI-CdS Photocatalyst for Hydrogen Evolution from Water. Colloids and Surfaces A: Physicochemical and Engineering Aspects, 481, 485-492.
http://dx.doi.org/10.1016/j.colsurfa.2015.06.027 - 23. Subramanian, S. and Padiyan, D.P. (2009) Inclusion of Polyan-iline in Electrodeposited Bismuth Sulphide Thin Films: Synthesis and Characterization. Current Applied Physics, 9, 1140-1145.
http://dx.doi.org/10.1016/j.cap.2009.01.003 - 24. Yue, G., Tan, F., Wu, J., Li, F., Lin, J., Huang, M. and Zhang, W. (2015) Cadmium Selenide Quantum Dots Solar Cells Featuring Nickel Sulfide/Polyaniline as Efficient Counter Electrode Provide 4.15% Efficiency. RSC Advances, 5, 42101-42108.
http://dx.doi.org/10.1039/C5RA02867A - 25. Scocioreanu, M., Baibarac, M., Baltog, I., Pasuk, I. and Velula, T. (2012) Photoluminescence and Raman Evidence for Mechanico-Chemical Interaction of Polyaniline-Emeraldine Base with ZnS in Cubic and Hexagonal Phase. Journal of Solid State Chemistry, 186, 217-223.
http://dx.doi.org/10.1016/j.jssc.2011.12.012
NOTES
*Corresponding author.











