International Journal of Organic Chemistry
Vol.04 No.02(2014), Article ID:47295,11 pages
10.4236/ijoc.2014.42016
Synthesis of Some New Fluorine Substituted Thiobarbituricacid Derivatives as Anti HIV1 and Cyclin-Dependent Kinase 2 (CDK2) for Celltumer Division-Part II
Abdulrahman S. Al-Harbi*, Reda M. Abdel-Rahman, Abdullah M. Asiri
Department of Chemistry, Faculty of Science, King Abdul Aziz University, Jeddah, KSA
Email: *magiceyes2002@hotmail.com
Copyright © 2014 by authors and Scientific Research Publishing Inc.
This work is licensed under the Creative Commons Attribution International License (CC BY).
http://creativecommons.org/licenses/by/4.0/



Received 20 April 2014; revised 2 June 2014; accepted 19 June 2014
ABSTRACT
In search for new potential inhibitors some new fluorine substituted thiobarbituric acid deriva- tives (2-4, 7, 8) and their fused/isolated heterobicyclic nitrogen systems (5, 6, 9, 10, 11, 12) have been synthesized from heterocyclization of fluorinated 1,3-diketoamine (1) with CS2 followed by ring closure reactions with primary nitrogen reagents. Structures of the targets have been estab- lished from elemental analysis and spectral data. Some synthesized systems have been evaluated as anti-HIV-1 and of cyclin-dependent kinase 2 (CDK2) for cell tumor division.
Keywords:
Fluorinated Thiobarbituric, Heterobicyclic, Potential Inhibitors

1. Introduction
1,3-Diketoamine structural analogues have attracted special interest by virtue of their varied and pharmaceuti- cally useful biological actions as anticonvulsant [1] , antianaesthetic [2] , anti HIV agents [3] . Also, thiobarbituric acids are used to measure the autoxidation of brain homogenates for various animals [4] , treate non-alcoholic fatty liver disease [5] , and determine formaldehyde and acetaldehyde in the food [6] as well as they form a type of bioactive complex with triphenyltin (IV) [7] . The introduction of fluorine atoms to heterocyclic systems of- ten improves their biological properties, due to the stability of C-F formed [8] -[10] . Based on these facts, the present work deals with synthetic strategy of some new fluorinated 1,3-diketoamine for building a type of fluo- rinated thiobarbituric acid derivatives and their fused/isolated heterobicyclic system as anti-HIV agent.
2. Experimental
Melting points were determined with an electrothermal Bibly Stuart Scientific melting point sample (UK). A Perkins Elmer Model RXI-FT IR system 55529 was used for recording IR spectra of the prepared compounds. A Brucker advance DPX 400 MHz model using TMS as internal standard was used for recording the 1H and 13C NMR spectra of the compounds on deuterated CDCl3. A GC-MS-GP 1000 Ex model was used for recording the mass spectra of the compounds. Electronic spectra were recorded in ethanol on Shimadzu UV and visible 310 IPC Spectro-photometer. Microanalysis was performed by the microanalytical Center of Cairo University, Egypt. Hexafluorobenzene was used as external standard for 19F NMR at 8425 MHz (Chemical shift in δ, ppm).
1,3-Di(4’-fluorophenylamino)-propandione (1)
A mixture of 4-fluoroaniline (0.002 mol) added to preheated diethyl malonate (0.001 mol) then warmed for 10 min and cooled. The solid thus obtained washed with ether then crystallized from THF to give 1 as greenish crystals. Yield 78%, m.p. 190˚C - 191˚C. Analytical data; Found: C, 61.85; H, 4.01; N, 9.35; F, 13.00%. Calcu- lated for C15H12N2F2O2 (290) C, 62.06; H, 4.13; N, 9.65; F, 13.10%. IR (DMF) ν cm−1: 3542 (OH), 3180 (NH), 2880 (str. CH2), 1650 (NHCO), 1255 (C-F), 820 (aryl CH). 1H NMR (CD3Cl) δ: 10.25 (s, 1H, OH), 7.60 - 7.581, 7.53 - 6.98 (each s, 8H, aromatic protons) 2.60 - 2.58 (s, 2H, CH2), 13C NMR (CDCl3) δ: 165.71, 159.82, 134.34, 134.32, 121.77, 121.72, 121.68, 115.35, 115.20, 77.81, 77.59, 75.38, 66.90, 61.32, 44.39, 43.33, 40.44 - 39.49, 14.08.
1,3-Di(4’-fluorophenyl)thiobarbituric acid (2)
A mixture of 1 (0.001 mol) and CS2 (0.0015 mol) inethanolic KOH (25 ml, 5%) warmed for 2 h, then poured onto ice-cooled HCl. The solid produced filtered off and crystallized from dioxan to give 2 as yellowish crystals. Yield 68%, m.p. 152˚C - 154˚C. Analytical data; Found: C, 57.53; H, 2.88; N, 8.21; S, 9.33; F, 11.24%. Calcu- lated for C16H10N2SF2O2 (332) C, 57.83; H, 3.01; N, 8.43; S, 9.63; F, 11.44%. UV (EtOH) λmax (є): 240 (0.496) nm. IR (DMF) ν cm−1: 3538 (OH), 1660 (C=O), 1480 (deform. CH2), 1385 (NCSN), 1255 (C-F), 1210 (C=S), and 678 (C-F). 1H NMR (CD3Cl) δ: 10.04 (s, 1H, OH), 7.60 - 7.44, 7.06 - 6.98 (each m, 8H, aromatic protons) 3.52, 2.59 - 2.58 (s, 2H, CH2). 13C NMR (CDCl3) δ: 181.15, 165.72, 161.00, 159.38, 138.22, 134.85, 134.32, 126.91, 126.85, 121.74, 121.69, 115.45, 115.21, 77.79, 77.57, 77.36, 44.36, 40.43 - 39.48.
1,3-Di(4’-fluorophenyl)-5-trifluoroacetyl-thiobarbituric acid (3)
A mixture of 2 (0.001 mol) and trifluoroacetic anhydride (0.001 mol) with trifluoroacetic acid ( 10 m ) refluxed for 2 h, then cooled and poured onto ice cooled ethanol. The solid produced filtered off and crystallized from THF to give 3 as deep brown crystals. Yield 55% m.p. 83˚C - 85˚C. Analytical data; Found: C, 50.35; H, 1.88; N, 6.41; S, 7.39; F, 22.01%. Calculated for C18H9N2SF5O3 (428) C, 50.46; H, 2.10; N, 6.54; S, 7.47; F, 22.9%. IR (DMF) ν cm−1: 3489 (OH), 1688, 1660 (C=O), 1386 (NCSN), 1255 (C-F), 1182 (C=S), 880, 838 (aryl CH). M/S (M-19) (372, 100).
1,3-Di(4’-fluorophenyl)-5-(4’-fluorobenzoyl)-thiobarbituric acid (4)
A mixture of 2 (0.001 mol) and 4-fluorobenzoyl chloride (0.001 mol) in DMF (10 ml) refluxed for 1 h, cooled then poured onto ice. The solid produced filtered off and crystallized from dioxan to give 4 as brown crystals. Yield 65% m.p. 102˚C - 104˚C. Analytical data; Found: C, 60.39; H, .2.66; N, 6.01; S, 6.88; F, 12.33%. Calcu- lated for C23H13N2SF3O3 (454) C, 60.79; H, 2.86; N, 6.16; S, 7.04; F, 12.55%. IR (DMF) ν cm−1: 3487 (OH), 1688, 1660 (C=O), 1386 (NCSN), 1255 (C-F), 1310 (C=S), 838, 810 (aryl CH), 687 (C-F). 1H NMR (CDCl3) δ: 9.71 (s, 1H, OH), 8.71, (s, 1H, CHCOCF3), 7.75 - 7.16, 7.15 - 7.07 (each m, 12H, aromatic protons). 13C NMR (CDCl3) δ: 172.04, 167.45, 165.17, 164.19, 134.90, 134.88, 132.26, 132.20, 131.84, 130.47, 130.211, 29.54, 129.48, 127.23, 127.22, 122.54, 122.49, 116.76, 115.95, 115.81, 115.47, 115.32, 115.17, 115.14, 77.64, 77.42, 77.21, 40.4 - 39.51. M/S: 412 (M-44, 85%).
5-Trifluoromethyl-1,3-di-(4’-fluorophenyl)-2,7-dithioxo-3H-pyrimido[4,5-d]pyrimidin-4’-one (5); 1,3,5- tri-(4’-fluorophenyl)-2,7-dithioxo-pyrimido[4,5-d]pyrimidin-4-one (6)
A mixture of compound 3 or 4 (0.001 mol) and thiourea (0.001 mol) in ethanol (20 ml) with a few drops of piperidine refluxed for 4 h, cooled and poured onto ice-acetic acid. The solid thus obtained filtered off and crys- tallized from ethanol to give 5 and/or 6 as brown crystals.
5: Yield 72% m.p. 193˚C - 195˚C. Analytical data; Found: C, 48.35; H, 1.81; N, 11.69; S, 13.55; F, 20.00%. Calculated for C19H9N4S2F5O (468) C, 48.71; H, 1.92; N, 11.96; S, 13.67; F, 20.25%.
6: Yield 70% m.p. 126˚C - 128˚C. Analytical data; Found: C, 58.00; H, 2.35; N, 11.01; S, 12.55; F, 11.23%. Calculated for C24H13N4S2F3 (561) C, 58.29; H, 2.63; N, 11.33; S, 12.95; F, 11.53%.
6: IR (DMF) ν cm−1: 3130 (NH), 1710 (C=O), 1210 (C=S), 1255, 685 (C-F), (NCSN), 1255 (C-F), 1580 (C=N). 1H NMR (CD3Cl) δ: 9.55 (s, 1H, NH), 7.8 - 7.6, 7.3 - 6.9 (each m, aromatic protons). 13C NMR (CD3Cl) δ: 181.1, 171.8, 166.35, 130 - 127.54, 122.54 - 122.11. M/S: M+ (Int.), 563 (M+2 12.15%), 95 (100).
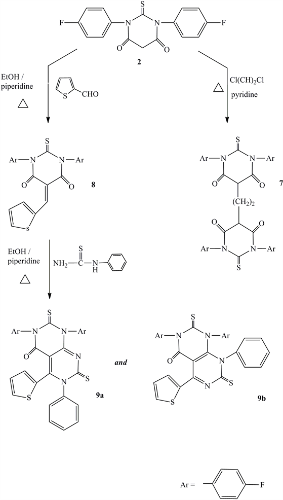
1,2-Di[1’,3’-di(4”-fluorophenyl)-thiobarbituric acid-5-yl] ethane (7)
A mixture of compound 2 (0.002 mol) and 1,2-dichloroethane (0.001 mol) in pyridine (20 ml) refluxed for 1 h, cooled, then poured onto ice cooled-HCl and extraction with diethyl ether and evaporated on water-bath. The solid obtained crystallized from dioxan to give 7 as yellowish crystals. Yield 55% m.p. 142˚C - 144˚C. Analyti- cal data; Found: C, 58.88; H, 3.00; N, 7.87; S, 9.11; F, 10.78%. Calculated for C34H22N4S2F4O4 (690) C, 59.12; H, 3.18; N, 8.11; S, 9.27; F, 10.01%. UV (EtOH) λmax (є): 251 (1.0249) nm. IR (DMF) ν cm−1: 3545 (OH), 2880 (str. CH2), 1662 (C=O), 1255 (C-F), 1188 (C=S), 885 (aryl CH), 683 (C-F).
1,3-Di(4'-fluorophenyl)-5-arylidene-thiobarbituric acid (8)
Equimolar amounts of 2 and thiophene-2-carboxaldehyde (0.001 mol) in absolute ethanol (25 ml) with a few drops of piperidine refluxed for 6 h, cooled then concentration. The solid produced filtered off and crystallized from ethanol to give 8 as orange crystals. Yield 70% m.p. 138˚C - 140˚C. Analytical data; Found: C, 58.88; H, 2.55; N, 6.41; S, 14.83; F, 8.81%. Calculated for C21H12N2S2F2O2 (426) C, 59.15; H, 2.81; N, 6.57; S, 15.02; F, 8.92%. UV (EtOH) λmax (є): 263 (1.026) nm. IR (DMF) ν cm−1: 3010 (aryl CH), 1680, 1662 (C=O), 1611 (CH=C), 1358 (NCSN), 1255 (C-F), 1185 C=S), 890, 853, 780 (aryl CH), 687 (C-F). 1H NMR (CDCl3) δ: 9.23 (s, 1H, CH=C proton), 7.6 - 7.56, 7.42 - 7.44, 7.05 - 6.98 (each m, 11H, thiophene and aryl protons). 13C NMR (CDCl3) δ: 181.10, 165.67, 159.36, 158.15, 134.40, 134.38 126.84, 121.85, 121.67, 121.62, 115.37, 115.32, 115.22, 115.17, 77.88, 77.66, 77.45, 44.52, 40.43 - 39.48.
1,3-Di(4’-fluorophenyl)-5-(thiophene-2-yl)-2,7-dithioxo-8-phenylpyrimido[4,5-d]pyrimidin-4one(9a) and/
or 1,3-Di(4’-fluorophenyl)-5-(thiophene-2-yl)-2,7-dithioxo-6-phenylpyrimido[4,5-d]pyrimidin-4-one (9b)
Equimolar mixture of 8 and N-phenyl thiourea (0.001 mol) in absolute ethanol (25 ml) in a few drops of pipe- ridine refluxed for 4 h. the solid produced on warming isolated to give faint yellow crystals. Yield 31% m.p. 132˚C - 134˚C. After cooled, another solid produced which on crystallization give a deep-yellowish crystals. Yield 26% m.p. 124˚C - 126˚C.
9a: analytical data; Found: C, 63.55; H, 2.88; N, 10.41; S, 11.95; F, 7.00%. Calculated for C28H16N4S2F2O (526); C, 63.87; H, 3.04; N, 10.64; S, 12.16; F, 7.22%.
9b: analytical data; Found: C, 63.41; H, 2.81; N, 10.48; S, 11.81; F, 6.89%. Calculated for C28H16N4S2F2O (526); C, 63.87; H, 3.04; N, 10.64; S, 12.16; F, 7.22%.
9a: UV (EtOH) λmax (є): 280 (0.172) nm.
9b: UV (EtOH) λmax (є): 286 (0.0169) nm. IR (DMF) ν cm−1: 3010 (aryl CH), 1668 (C=O), 1385 (NCSN), 1256 (C-F), 1201 (C=S), 886, 838) aryl (CH), 687 (C-F).
9a: 1H NMR (CDCl3) δ: 7.6 - 7.34, 7.29 - 7.026, 7.021 - 6.855 (each m, 17H, thiophene and aryl protons).
9a: 13C NMR (CDCl3) δ: 181.63, 168.15, 137.76, 129.50, 124.44, 77.70, 77.48, 77.27, 40.43, 39.48.
9b: 13C NMR (CDCl3) δ: 181.54, 181.07, 165.711, 159.78, 158.16, 138.53, 138.21, 134.88, 134.33, 129.83, 129.41, 129.13, 128.79, 126.87, 125.76, 124.99, 124.09, 122.54, 121.93, 121.87, 121.71, 121.66, 115.32, 115.24, 115.20, 115.17, 77.81, 77.59, 77.38, 40.38 - 39.43.
M/S 428 (M+2, 88%), 401 (100).
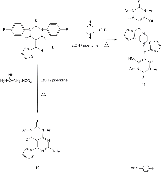
7-Amino-5-(thiophene-5-y)-1,3-di(4’-fluorophenyl)-2-thioxo-pyrimido[4,5-d]pyrimidin-4-one (10)
A mixture of 8 (0.001 mol) and guanidine bicarbonate (0.001 mol, in drops HCl) in ethanol (50 ml) with a few drops of piperidine refluxed for 4 h, cooled then poured onto ice. The yielded solid filtered off and crystal- lized from ethanol to give 10 as yellowish crystals. Yield 66% m.p. 180˚C - 182˚C. Analytical data; Found: C, 56.43; H, 2.69; N, 14.81; S, 13.51; F, 7.91%. Calculated for C22H13N5S2F2O (465) C, 56.77; H, 2.79; N, 15.05; S, 13.76; F, 8.17%. IR (DMF) ν cm−1: 3310, 3150 (NH2, NH), 3005 (aryl CH), 1668 (C=O), 1620 (deform. NH2), 1590 (C=N), 1385 (NCSN), 1255 (C-F), 1201 (C=S), 910, 880, 785 (aryl CH), 687 (C-F). 1H NMR (CDCl3) δ: 4.57 (s, 2H, NH2), 7.65 - 7.59, 7.01 - 6.98, (each m, 11H, thiophene and aryl protons). 13C NMR (CDCl3) δ: 165.65, 159.63, 158.02, 134.52, 134.31, 121.59, 121.54, 115.26, 115.11, 78.06, 77.84, 77.63, 44.77, 40.31 - 39.36, 30.83.
1,4-Di[1’,3’-di(4”-fluorophenyl)-thiobarbituric acid-5-thiophene-2-methyl]piprazine (11)
A mixture of 8 (0.002 mol) and piperazine (0.001 mol) in absolute ethanol (30 ml), with few drops of piperi- dine refluxed for 4 h, cooled. The solid thus obtained filtered off and crystallized from ethanol to give 11 as yel- lowish crystals. Yield 71% m.p. 138˚C - 140˚C. M. m.p. with 8 gave m.p. 120˚C - 125˚C. Analytical data; Found: C, 58.41; H, 3.25; N, 8.61; S, 13.33; F, 7.88%. Calculated for C46H34N6S4F4O4 (938) C, 58.84; H, 3.62; N, 8.95; S, 13.64; F, 8.10%. UV (EtOH) λmax (є): 256 (1.019) nm. IR (DMF) ν cm−1: 3420 (OH), 3006 (aryl CH), 2895 (aliphatic CH), 1662 (C=O), 1438 (deform. CH2), 1385 (NCSN), 1255 (C-F), 1201 (C=S), 864 (aryl CH), 687 (C-F). M/S: (Int.%); 720 (M+2, 25.11) 511 (12.15), 427 (55.15), 108 (5.68); 95 (100), 85 (18.23), 83 (213).
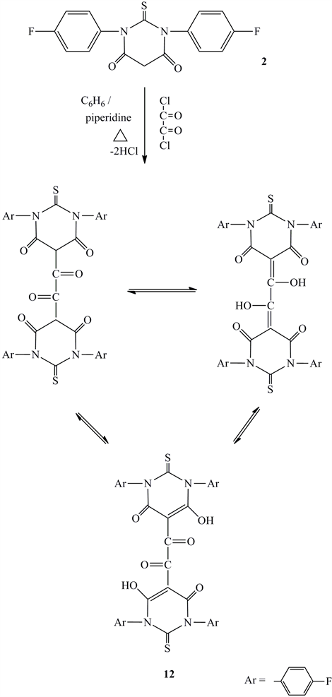
1,2-Di[1’,3’-di(4”-fluorophenyl)-thiobarbituric acid-5-yl]bicarbonyl (12)
To a mixture of 2 (0.002 mol) in dry C6H6, oxalyl dichloride (0.001 mol) added dropwise the added of a few drops of piperidine the warmed slowly for 20 min. the solid obtained was filtered off and crystallized from dio- xan to give 12 as yellowish crystals. Yield 88% m.p. 232˚C - 234˚C. Analytical data; Found: C, 56.55; H, 2.31; N, 7.60; S, 8.81; F, 10.35%. Calculated for C34H18N4S2F4O6 (718) C, 56.82; H, 2.80; N, 7.79; S, 8.91; F, 10.58%. UV (EtOH) λmax (є): 271 (0.14912) nm. IR (DMF) ν cm−1: 3010 (aryl CH), 1785 (C=O), 1662 (C=O), 1384 (NCSN), 1255 (C-F), 1155 (C=S), 864, 841, 786, 749 (aryl CH), 658 (C-F). 1H NMR (CDCl3) δ: 9.18 (s, 2H, OH), 7.43 - 7.23 (m, 16H, aryl protons), 6.65 (s, 2H, CH=C). 13C NMR (CDCl3) δ: 181.631, 168.11, 166.01, 162.13, 137.67, 129.50, 126.40, 124.44, 77.45, 77.24, 77.03, 40.49 - 39.55. M/S: (Int.%): 362 (M+1) 100%, 317 (8), 306 (85), 306 (14), 97 (2), 98 (12).
3. Results and Discussion
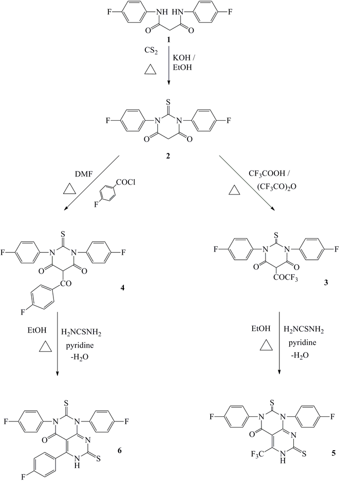
1,3-Diketoamines obtianed from 1,3-biester with aromatic amine [11] . Similary, diethylmalonate and 4-fluoro- aniline added then warmed for few min to obtain the fluorinated 1,3-diketoamine (1) (Scheme 1). Refluxing of compound 1 with CS2 in alcoholic KOH [12] yielded 1,3-di(4’-fluorophenyl)thiobarbituric acid (2) (Scheme 1). UV absorption spectrum of 1 recorded λmax at 230 nm while that of 2 showed λmax at 240 nm. A higher λmax of 2 than 1 confirm that cyclic resonated structure with both bathochromic and hypthochromic factors. IR absorption spectrum of 1 showed ν at 3542 & 3180 attributed to two isolated OH & NH functional groups while that of 2 recorded anenolic
ketonic functional groups at ν 3538 cm−1 with lacks of NH bands. In addition ν 1385, 1255, 1210 cm−1 for cyclic NCSN, C-F and C=S functional groups.
1H NMR spectrum of 2 exhibited a resonated signals at 2.59 and 3.52 ppm for active CH2 coupling and enolic protons, with a signals at δ 7.65 - 6.98 ppm for aryl protons 13C NMR spectrum of 2 showed resonated signals at δ 165.65, 159.63, and 158.02 ppm C=S, 2C=O carbon and δ at 134.52, 134.51 ppm for the C-F carbons, in addi- tion of aromatic carbons. Mass spectrum 2 exhibited the molecular ion with a base peak at m/e 334 and 95. Treatment of ethanolic solution of 2 with FeCl3 solution gave the deep violet colour which confirms that phe- nolic formula. Presence of α-active methylene at position-5 of the thiobarbituric acid 2, led to synthesize various fluorinated isolated and/or fused heterobicyclic nitrogen systems.
Fluorinated compound 2 underwent acylation using trifluoroacetic anhydride-trifluoroacetic acid [13] pro- duced5-trifluoroacetyl derivatives 3, while fluorinated aroylation using 4-fluorobenzoyl chloride in warming DMF yielded 5-(4’-fluorobenzoyl) derivative 4 (Scheme 1). Structures of compounds 3 and 4 deduced from spectral measurements. A higher λmax of 4 > 3 > 2 confirm that extension conjugation system was as well as ad- ductive electronic density of COCF3 and or COC6H4F. IR spectrum of 4 showed absorption bands at ν 3489 and 3304 attributed to OH, and C=O with 1688, 1660 cm−1 cyclic NCSN in addition at ν 1255 cm−1 for C-F absorp- tion bands. Compounds 3 & 4 showed the lacks of CH2. 1H NMR spectrum of 4 exhibited a resonated signals at 9.71 and 8.71 ppm for OH and aliphatic CH-COCF3 down field, different aromatic protons at δ 7.75 - 7.166 and 7.156 - 7.07 ppm. 13C NMR spectrum of 4 recorded signals at δ 172.04, 167.45, 165.17, 164.19 ppm attributed to C=S, and 3C=O carbons. In addition, δ 134.9, 132.2 ppm for C-F and C-N with aromatic carbons at δ 131.8 - 122.4 ppm. Morever M/S spectrum of 3 recorded m/z at 372 (M-19) as a base peak, while that of 4 exhibited m/e at 417 (M-44) with a base peak at 379.
Fluorinated fused heterobicyclic nitrogen systems 5 and 6 obtained from cyclocondensation of 3 and/or 4 with 4-chlorophenyl hydrazine hydrochloride in refluxing absolute ethanol [14] furnished the fluorinated pyrimido [3,4-d]pyrimidine thiones (5 & 6) respectively (Scheme 1). Structures of compounds 5 and 6 were established from correcteelemental analysis and spectral data. IR Spectrum of 6 recorded an absorption bands at ν 3130, 1710 and 1210 cm−1 for the NH, C=O and C=S functional groups with ν at 1255 for C-F with 1580 cm−1 for C=N functional group. 1H NMR spectrum of 6 showed a resonated signals at δ 9.55 and 7.8 - 7.6 & 7.3 - 6.9
Scheme 1. Synthetic of compounds 3-6.
ppm for NH and aromatic protons. 13C NMR spectrum of 6 exhibiteda resonated signals at δ 181.1, 171.8, 166.35 ppm for 2 C=S and C=O carbons with aromatic carbons at δ 130 - 127.54, 122.54 - 122.11 ppm. Mass spectrum of 6 showed the molecular ion and a base peak at m/z 563 (M + 2), 95 as 4-fluorophenyl radical. A simple alkylation for active methylene at position- 5 in the compound 2 deduced from treatment with 1,2-dichlo- roethane (2:1 by mole) in refluxing DMF to produce 1,2-di(thiobarbituric acid-5-yl)ethane (7) (Scheme 2). Fine structure of compound 7 deduced from that elemental analysis and spectral measurements. UV absorption of 7 recorded λmax at 251 nm in compare with 2 at 240 nm. IR absorption spectrum showed an aliphatic bands at ν 3545, 2880, 1662 cm−1 for stretching OH, CH2 & C=O functional groups with 1255 cm−1 for C-F. It is interest- ing that condensation of compound 8 with thiophene-2-carboxaldehyde in warming ethanol with a few drops of piperidine according to Knoevenagel reaction [15] yielded 1,3-di(4’-fluorophenyl)-5-arylidene-thiobarbituric acid (8) (Scheme 2).
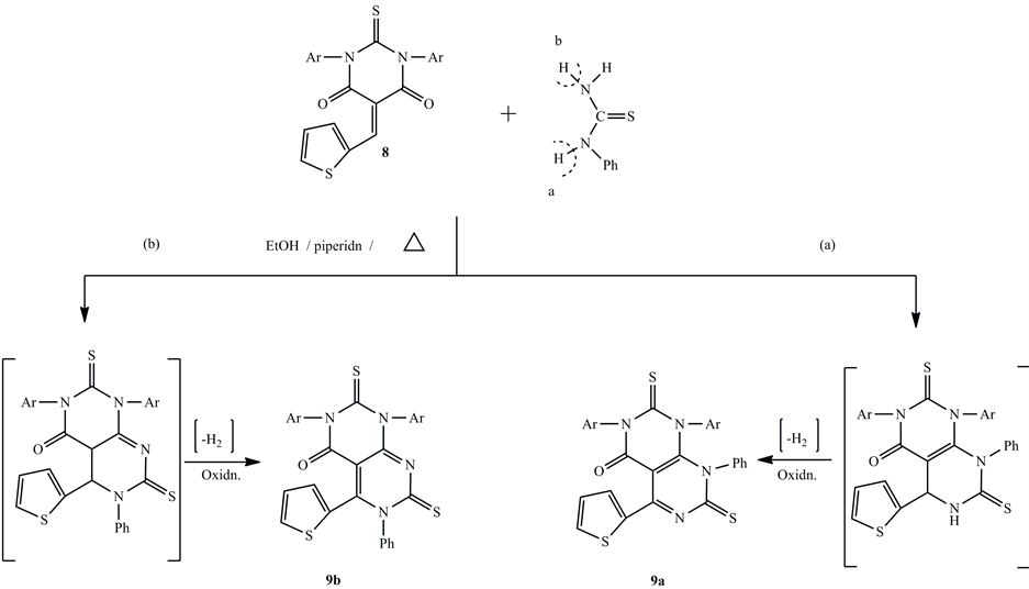
Cycloaddition Compound 8 with N-phenyl thiourea in refluxing ethanol-piperidine furnished the pyrimido [4,5-d]pyrimidindithiones (9a, b) (Scheme 2). Formation of compounds 9 may be take place via cycloaddition
Scheme 2. Synthetic of compounds 7-9.
reaction through two possible routes (Figure 1). Structure of 8 established mainly from spectral data. UV ab- sorption spectrum showed λmax at 263 nm higher than 2 which is due to new α, β-unsaturated ketonic system formed of 8. 1H NMR spectrum recorded a resonated signals at δ 9.23 ppm for the arylidene proton. Also, 13C NMR spectrum of exhibited a different types of carbons at δ 181.10, 165.67, 160.91, 159.76, 159.29, 158.15, and 134.40 - 115.17 ppm attributed to C=S, C=O, C=N, C-S, C-N and C=C carbons. IR spectrum recorded lacks of OH, NH groups and CH2 with addition a new group at 1610 cm−1 for CH=C. M/S of 8 showed a molecular ion at m/z 428 (M+2, 88%), with a base peak at 401. The higher reactivity of compound 8 towards cycloaddition with N-phenyl thiourea to electrophilic carbon at position-3 of thiobarbituric acid followed by addition reaction of H2-N-CS group to electrophilic carbon arylidene at posiyion-5 to give 9a. A possible other route is a nucleo- philic reaction CS-NH2 group to a electrophilic carbon at position-3 of thiobarbituric acid followed by addition reaction of HN-Ph group to electrophilic carbons of arylidene at position-5 to give 9a.
Figure 1. Possible formation of 9a and 9b from 8.
A possible other route is a nucleophilic reaction CS-NH2 group to a electrophilic carbon at position-3 of thio- barbituric acid followed by addition reaction of HN-Ph group to electrophilic carbons of arylidene at position-5 to give 9a. The kinetics and mechanism of this reaction were controlled by the highly acidic proton of Ph-NH than H2N-CS proton (as thioamide). A higher yield of 9a is due to a high withdrawing of Ph group than amidic CONH2. Also, a higher melting point of 9a than 9b is due to a higher stability of 9a than 9b which characterized by a repulsion between phenyl and thiophenegroups. Thus, compounds 9a and 9b are isomeric structure. Struc- ture of compounds 9a & 9b determined from: 1) UV absorption of compounds 9a recorded λmax at 280 nm, and that of 9b at 286 nm; 2) IR absorption spectra of 9a & 9b showed a lacks of OH, NH functional groups and CH2; 3) 1H NMR spectra of 9a and 9b recorded a resonated signals at δ 7.60 - 7.34, 7.29 - 7.026 and 7.021 - 6.855 ppm for different thiophene and aryl protons; 4) 13C NMR for compound 9a, recorded the resonated signals at δ 181.63, 168.15 ppm for C=S and C=O with 137.67, 129.50 - 124.44 ppm for aromatic carbons, while that of 9b showed signals at δ 181.54, 181.07, 165.711 ppm for 2C=S and C=O with other δ at 138.166, 134.33 - 124.99 and 122.54 - 121.66 ppm for aromatic carbons.
Cycloaddition of compound 8 with gaunidine bicarbonate in refluxing ethanol-piperidine afforded the ami- nopyrimido[4,5-d]pyrimidinthione (10) (Scheme 3). Structure of compound 10 characterized by spectral data. IR absorption spectrum gave a good indication by exhibited the absorption band at ν 3350 cm−1 for NH2 group with other at ν 1620, 1580 cm−1 for bending NH2 and C=N functional groups. 1H NMR spectrum showed a re- sonated signals at δ 4.57 ppm for the NH2 protons with thiophene and aryl protons at δ 7.65 - 7.59 and 7.01 - 6.98 ppm with lacks of CH=C protons. 13C NMR spectrum recorded the resonated signals of different carbons at δ 165.65, 159.63 and 158.02 ppm for C=S, C=O and C=NH. The interaction between compound 8 and pipera- zine (2:1 by mole) in refluxing ethanol-piperidine [16] -[18] furnished 1,4-disubstituted piperazine (11) (Scheme 3). Former structure of compound 11 deduced for spectral measurements. A good characterized obtained from that UV spectrum which showed λmax at 256 nm higher than that of 2 (240 nm). IR spectrum recorded a weak band at 3550 cm−1 for OH with 2928, 2858 cm−1 for CH, CH2. In addition to 1662 cm−1 attributed to C=O, with ν at 1504, 1438 cm−1 for deformation of CH2. Mass spectrum of 11 recorded the molecular ion and a base peak at m/e 720 (M + 25.11), 95 (100). Formation of 12 was deduced from treatment of 2 with piperidine as base to produce the carbanion which attacks the first electrophilic carbon of oxalyl followed by a second attack of other nucleophiliccarbanion of thiobarbituric acid to the second electrophilic carbon of oxalyl chloride (Scheme 4). A possible tautomerism of compound 12 gives us a good indication about the acidic character of two protons within
Scheme 3. Synthetic of compounds 10 & 11.
the former structure which facilitated the oxidation
reduction process.
Finally structure of compound 12 established spectral data. UV absorption spectrum showed λmax at 271 nm which is higher than starting material 2. These highly absorption is confirmed that larger extension of hetero- conjugation system bearing both bathochromic and hypsochromic moieties. IR spectrum showed a lacks of bands for OH, NH functional groups and CH2 with the additional bands at 1785, 1680 and 1662 cm−1 for 3C=O groups. A functional groups at ν 1380, 1255 and 1210 cm−1 attributed to NCSN, C=S and C-F functional groups.
1H NMR spectrum exhibited two resonated signals at δ 9.18 ppm attributed to OH proton from the free solu- bility of 12 in sodium hydroxide solution. 13C NMR spectrum of 12 recorded the resonated signals at δ 181.63, and 168, 166, 162 ppm C=S and 3C=O carbons. Mass spectrum of 12 recorded the m/e at 362 (M+2) as a base peak. Finally, synthesized single fluorine which attributed to phenyl ring in all fluorinates systems appeared in the region at δ −125 to −128 ppm.
4. Conclusion
Novel fluorinated thiobarbituric acid derivatives have been synthesized and then evaluated as medicinal agents, Among these compounds 9a > 12 > 2 > 11 exhibited a higher activity as anti HIV agents ,while compounds 12 > 7 > 2 > 3 > 4 have a good activity toward enzymatic inhibition as cyclin-dependent kinase 2 (CDK2) for cell tumer division
5. Biology
5.1. Anti-HIV Evaluation
The research for a more effective and less toxic agents has brought into focus potent yet structurally different
Scheme 4.Synthetic of compounds 12.
non-nucleoside HIV-1 reverse transcriptase inhibitors (NNRTIs) [19] . Abdel-Rahman [20] -[23] synthesized a pool of new fluorinate heterocyclic nitrogen systems as HIV inhibitor agents. Thus, the main aim of the present work tends to search for new fluorinated thiobarbituric acid derivatives and their related fused heterobicyclic ni- trogen systems as inhibitors of HIV cases. Some of the synthesized targets have been evaluated as anti-HIV agents. The procedure used in the National Cancer Institute test for agents active against Human Immunodefi- ciency Virus (HIV) is designed to detect agent acting at any stage of the virus reproductive cycle. The assay basically involves the killing of T4 lymphocytes by HIV and used the tetrazoliumsalt XTT, as indicator [24] . From the results obtained in (Table 1) we showed that, all the fluorinated thiobarbituric acid derivatives exhi- bited maximum protection <10% for the infected cell and >50% for the uninfected cell. It is interested that, the full fluorinated thiobarbituric acids obtained exhibited maximum protection >20% for the infected cell and >50% for the uninfected cell. Only, the compound 9a recorded a highly percent of protection at lower dose (molar)
Table 1. The anti-HIV-IC50 values of the fluorinated compounds.
The indication > specific only partial production of the infected cells at the indicated highest concentration tested.
than other tested compounds. Also, the order reactivities as 9a > 12 > 2 > 11. Based on the resulted data and in compares with results obtained from thiobarbituric acids based HIV-1 integrase inhibitors [3] we can be addi- tional that, the novel fluorinated thiobarbituric acid derivatives in the treatment of HIV infection: 1) nucleo- side reverse transcriptase inhibitors; 2) non nucleoside reverse transcriptase inhibitors; 3) protease inhibitors and and fusion inhibitors which led to development of new therapies against the virus especially HIV-1 inhi- bitors.
5.2. Induction of Apoptosis in Human Leukemia Cells
Cancer cells differ from the normal cells in a biochemical processes particularly during the control of cell growth and division. Leukemia is one of the major types of cancer affecting significant segment of the popula- tion. An important application of small molecule libraries is the preparation of a directed of focused combina- torial library for assay against specific biological target, fluorine substituted thiobarbituric acids were proven to be biologically very potent and selective. In this study, using the fluorine substituted thiobarbituric acid deriva- tives as anticancer activity via inhibition of cyclin-dependent kinase 1 (CDK2) especially as inhibitors towards human leukemia cells. These evaluations carried out by applied of standard method [25] in biochemical assay with IC50 values comparable to olomoucine as control. The result obtained recorded in (Table 2).
From the results obtained in (Table 2) we showed that: detailed anti-cancer (CDK2 for leukemia cells) activ- ity of the fluorinated thiobarbituric acids are very important used as kinase inhibitor activityin the order 12 > 7 > 2 > 3 > 4 > Olomoucine. Preliminary results indicate that many of compounds exhibit an strong effects in com- pare with the standard used (Olomoucine). The accepting properties of these fluorothiobarbituric acid deriva- tives are associated with nucleophilicintramolecular substitutions of fluorine atoms, towards the acceptors with cell-cancer. The prominent role of fluorine substituent effects on bioactivity is mainly due to the effect of fluo- rination of C-H acidity which is predictable and depends on some factors, including the number site of fluorine and the geometry of the conjugate carbanion, which is called bio-conjugation effects.
Table 2. Results of CDK2 inhibtion evaluation (IC50 in μmol/ Dm3).
*The presented data represent mean values from three independent experi- ments plus the standard deviation (SD).
Acknowledgements
I would also like to extend my sincere thanks and appreciations to all technical staff members at National Can- cer Institute USA for valuable medical evaluation. Also, I thank for all technical staff member at Chemistry Labs (UV, IR, NMR) spectra.
References
- Srivasta, A.V.K. and Kumar, A. (2004) Synthesi of Some Newer Derivatives of Substituted Quinazolinonyl-2-oxo Thiobarbituric Acids Potent Anticonvulsant Agents. Bioorganic Medicinal Chemistry, 12, 1257-1264. http://dx.doi.org/10.1016/j.bmc.2003.08.035
- Novak, I. and Novac, B. (2010) Elictronic Structure and Biological Activity. Chemical Physics Letters, 403, 242-244. http://dx.doi.org/10.1016/j.cplett.2010.05.062
- Rajamaki, S., Innitzer, A., Falciani, C., Tintori, C., Christ, F. and Witvronw, M. (2009) Exploration of Novel Thiobarbituric Acid, Rhodanine, and Thiohydantion-Based HIV-1 Integrase Inhibitors. Bioorganic Medicinal Chemistry Letters, 18, 3615-3618.
- Sabir, S.M., Saman, S.M. and Rocha, J.B.T. (2012) Antioxidant Properties of B-Seleno Amines against Lipid Peroxi- dation in Rat Brain and Liver. Environmental Toxicology and Pharmacology, 34, 446-453. http://dx.doi.org/10.1016/j.etap.2012.06.002
- Ma, L., Li, S., Zheng, H., Chen, J., Lin, L., Ye, X., Chen, Z., Xu, Q., Chen, T., Yang, J., Qiu, N., Wang, G., Peng, A.P., Wei, Y. and Chen, L. (2011) Synthesis and Biological Activity of Novel Barbituric and Thiobarbituric Derivatives against Non-Alcoholic Fatty Liver Disease. European Journal of Medicinal Chemistry, 46, 2003-2010. http://dx.doi.org/10.1016/j.ejmech.2011.02.033
- Zhang, D., Zhang, J., Li, W., Aimaiti, G., Tuersun, G. and Ye, J. (2011) A Novel Miniaturized Electrophoretic Method for Determining Formaldehyde and Acetaldehyde in Food Using 2-Thiobarbituric Acid Derivatisation. Food Chemistry, 129, 206-212. http://dx.doi.org/10.1016/j.foodchem.2011.04.025
- Balas, V.I., Verginadis, I.I., Geromichalos, G.D., Kourkoumelis, K., Male, L., Hursthouse, M.B., Repana, K.H., Yiannaki, E., Charalabopoulos, K., Bakas, T. and Hajikakou, S.K. (2011) Synthesis, Structural and Characterization and Biological Studies of Triphenyltin (IV) Complex with 2-Thiobarbituric Acid. European Journal of Medicinal Chemistry, 46, 2835-2844. http://dx.doi.org/10.1016/j.ejmech.2011.04.005
- Makki, M.S.T., Bakhotmah, D.A. and Abdel-Rahman, R.M. (2012) Highly Efficient Synthesis of Novel Fluorine Bearing Quinoline-4-Carboxylic Acid and the Related Compounds as Amylolytic Agents. International Journal of Organic Chemistry, 2, 49-55.
- Makki, M.S.T., Abdel-Rahman, R.M., Faidallah, H.M. and Khan, K.A. (2013) Synthesis of Fluorine Substituted He- tercyclic Nitrogen Systems Derived from p-Aminosalicylic Acid as Antimylobacteral Agents. Journal of Chemistry, 2013, 8 p. http://dx.doi.org/10.1155/2013/819462
- Abdel-Rahman, R.M. and Ali, T.A. (2013) Synthesis and Biological Evaluation of Some New Polyfluorinated 4-Thiazolidinone and α-Aminophosphonic Acid Derivatives. Monatshefte für Chemie, 144, 1243-1252.
- Abu-Elwafa, S.M., Abdel-Rahman, R.M. and El-Gendy, Z. (1990) Spectroscopic Studies of Some Anilide Compounds Derived from Ethyl Benzoyl Acetate. Egyptian Journal of Chemistry, 33, 387-398.
- Makki, M.S.T., Bakhotmah, D.A., Abdel-Rahman, R.M. and El-Shahawy, M.S. (2012) Desgining and Synthesis of New Fluorine Substituted Pyrimidine-Thion-5-Carbonitriles and Related Derivatives as Photochemical Probe Agents for Inhibition of Vitiligo Disease. International Journal of Organic Chemistry, 2, 311-320. http://dx.doi.org/10.4236/ijoc.2012.223043
- Sead, M., Abdel-Rahman, R.M. and Abdel-Magide, M. (1993) Synthesis of 1,3-Disubstituted-2,3-Dihydro-2-Thioxo- 4,6(1H,5H)Pyrimidinones and Related Analogs. Indian Journal of Heterocyclic Chemistry, 3, 9-14.
- Abdel-Rahman, R.M. and El-Mahdy, K. (2012) Biological Evaluation of Pyrimidopyrimidiones as Multi-Targeted Small Molecule Inhibitors and Resistance Modifying Agents. Heterocycles, 85, 2391-2414. http://dx.doi.org/10.3987/REV-12-745
- Chandrappa, S., Kavitha, C.V., Shahabuddin, M.S., Vinaya, K., Anandak, C.S., Ranganatha, S.K., Raghavan, S.C. and Rangappa, K.S. (2009) Synthesis of 2-(5-((5-(4-Chlorophenyl)Furan-2-yl)Methylene)-4-oxo-2-Thioxo Thiazolidin-3- yl)Acetic Acid Derivatives and Evaluation of Their Cytotoxicity and Induction of Apoptosis in Human Leukemia Cells. Bioorganic Medicinal Chemistry, 17, 2576-2584. http://dx.doi.org/10.1016/j.bmc.2009.01.016
- Abdel-Rhman, R.M. (2001) Role of Uncondensed 1,2,4-Triazine Compounds and Related Heterbicyclic Systems as Therapeutic Agents. Pharmzie, 56, 18-22.
- Abdel-Rhman, R.M., Seada, M., fawzy, M. and El-Baz, I. (1994) Synthesis of Some New 1,6-Dihydro-3-Sub-Stituted- 6-Spiro(9’-Fluorine)-1,2,4-Triazine-5-(4H)Ones as Potential Anti HIV and Anti Cancerdrugs. Pharmazie, 49, 729-733.
- Abdel-Rhman, R.M., Seada, M., Fawzy, M. and El-Baz, I. (1993) Synthesis of Some New Thioethers of 1,2,4-Tria- zine-3-Hydrazones and Assays for Their Anti Cancer and Anti Human Immune Virus Activities. Farmaco, 48, 397- 406.
- DeClarq, E. (2002) New Developments in Anti HIV Chemotherapy. Biochimicaet Biophysica Acta, 1587, 258-275.
- Abdel-Rahman, R.M. (1991) Synthesis and Anti Human Immune Virus Activity of Some New Fluorine Containing Substituted-3-Thioxo-1,2,4-Triazin-5-Ones. Farmaco, 46, 379-389.
- El-Gendy, Z., Morsy, J., Allimony, H.A., Ali, W.R. and Abdel-Rahman, R.M. (2001) Synthesis of Heterobicyclic Ni- trogen Systems Bearing the 1,2,4-Triazine Moiety as Anti-HIV and Anticancer Drugs, Part III. Pharmzie, 56, 376-383.
- Abdel-Rahman, R.M., Morsy, J.M., Hanafy, F. and Amene, H.A. (1999) Synthesis of Heterobicyclic Nitrogen Systems Bearing the 1,2,4-Triazine Moiety as Anti-HIV and Anticancer Drugs, Part I. Pharmzie, 54, 347-351.
- Abdel-Rahman, R.M. (1999) Synthesis and Chemistry of Fluorine Containing Bioactive 1,2,4-Triazines―An Over- view. Chemistry of Uncondensed 1,2,4-Triazines, Part III. Pharmzie, 54, 791-803.
- Weislow, O.S., Kiser, R., Fine, D.L., Bader, J., Shoemaker, R.H. and Boyd, M.R. (1989) New Soluble-Formazan As- say for HIV-1 Cytopathic Effects: Application to High-Flux Screening of Synthetic and Natural Products for AIDS- Antiviral Activity. Journal of the National Cancer Institute, 81, 577-586. http://dx.doi.org/10.1093/jnci/81.8.577
- Matthews, D.J. and Gerritsen, M.E. (2009) Targeting Protein Kinases for Cancer Therapy. Wiley, Hoboken.
NOTES

*Corresponding author.







