Open Journal of Social Sciences
Vol.03 No.03(2015), Article ID:54764,5 pages
10.4236/jss.2015.33010
Dynamic Pricing of Perishable Products with Competition
Weiwei Ji
School of Economics and Management, Nanjing University of Science and Technology, Nanjing, China
Email: jiweiwei0828@126.com


Received February 2015

ABSTRACT
With the development of product development technology and the rapid rise of online retailing, the market competition becomes increasingly fierce. Based on consumer utility function, this article established a two-stage dynamic pricing model and discussed pricing strategies under consumer behavior and market competition. Findings indicate that product quality difference and consumer valuation decreasing coefficient determine the order of the consumer purchase decisions. The firm who provides lower-quality products suffered more loss than the firm who provides high-quality products.
Keywords:
Dynamic Pricing; Perishable Products; Competition

1. Introduction
With the development of Internet, competition between firms becomes increasingly fierce. Besides, replacement of product is becoming faster and faster, consumers also are becoming more and more “smart”. These all increase competition among firms. In the competitive environment, firms not only consider consumers’ behavior, but also consider the impact of competitors’ pricing strategies.
Literature related to this paper is dynamic pricing with competition in revenue management. Based on discounted competition, Granot D, Granot F and Mantin B established a dynamic pricing model with two homogeneous perishable goods retailers [1]. Levin Y, McGill J and Nediak M selected single and multiple-choice model to describe different choices of consumers in the case of monopoly and competition [2] [3]. Dasci A and Karakul M discussed difference between static and dynamic pricing, and studied the effects of these two pricing methods to manufacturers’ equilibrium price and revenue [4]. Chen and Zhang found dynamic pricing improved revenue of the two firms, and social welfare is improved [5]. Hao Li have done a lot of research of manufacturers’ dynamic pricing in competitive environment [6] [7].
This paper considers the sales period is divided into two stages. There exist two firms whose product qualities are different. And there exists myopic and strategic consumers in the market. According to consumers’ different utility, we establish demand and revenue function and obtain optimal pricing decision.
2. Problem Description and Basic Assumptions
Assuming there are two firms (A, B) whose product qualities are different. Their products are alternate, when product A is out of stock, consumer would consider buying product B. For some parameters and variables, we do the following settings:
(1) Price of A, B in the first stage:
,
; price of A, B in the second stage:
,
; meet:
,
,
,
. Revenue of firm A, B in the first stage:
,
; revenue of firm A, B in the second stage:
,
. The total revenue of A, B is
,
.
(2) Consumer’s utility in different stage:
,
,
,
(3) 

(4) Consumer number in the market is N, the strategic customers proportion is

(5) Consumers’ reservation value of products subject to uniform distribution
(6) Cost of product A is


3. Model and Solution
Due to the difficulty of multi-stage dynamic programming solving, this paper study the dynamic pricing in the two stages. The sales period 


In the first stage, consumer’s utility of buying product A is



According to consumers’ different demand for product A, B, we can obtain revenue function of firm A, B.
(1) When
Table 1. Consumers’ demand in different stages
We use the reverse solving method, for firm A, we set







(2) When
For firm A, we set







4. Numerical Experiments and Parameter Analysis
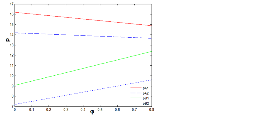
(1) When






From Figure 1, we can know consumer’s buying decision order is






(2) When




From Figure 2, we can know consumer’s buying decision order is





In Figure 3, when


5. Conclusion
This article assumes that two firms provide different-quality products and consumer’s reservation price of products is heterogeneous. Under consumers’ strategic behavior, we establish a two-stage model and obtain consumers’ buying decision and two firms’ optimal pricing strategies in different situations. Product quality difference
Figure 1. Effect of a on price p.
Figure 2. Effect of j on price p.
Figure 3. Effect of a on price R.
and consumer valuation decreasing coefficient determine the order of consumer’s purchase decision. Meanwhile, consumers’ strategic behavior affects both the two firms’ revenue, both firms have profit loss. And the firm who provides lower-quality products suffered more loss than that one who provides high-quality products.
Cite this paper
Weiwei Ji, (2015) Dynamic Pricing of Perishable Products with Competition. Open Journal of Social Sciences,03,48-52. doi: 10.4236/jss.2015.33010
References
- 1. Granot, D., Granot, F. and Mantin, B. (2010) A Dynamic Pricing Model under Duopoly Competition. Manuscript, University of British Columbia, Canada.
- 2. Levin, Y., McGill, J. and Nediak, M. (2009) Dynamic Pricing in the Presence of Strategic Consumer and Oligopolistic Competition. Management Science, 42, 291-293.
- 3. Levin, Y., McGill, J. and Nediak, M. (2010) Optimal Dynamic Pricing of Perishable Items by a Monopolist Facing Strategic Consumers. Management Science, 19, 40-60.
- 4. Dasci, A. and Karakul, M. (2009) Two-Period Dynamic versus Fixed-Ratio Pricing in a Capacity Constrained Duopoly. European Journal of Operational Research, 197, 945-968. http://dx.doi.org/10.1016/j.ejor.2007.12.039
- 5. Chen, Y.X. and Zhang, Z.J. (2009) Dynamic Targeted Pricing with Strategic Consumers. International Journal of Industrial Organization, 27, 43-50. http://dx.doi.org/10.1016/j.ijindorg.2008.03.002
- 6. Li, H., Xiong, Z.K. and Peng, Q. (2010) Dynamic Price Competition for Two Parallel Flights with Passenger preference. Industrial Engineering, 13, 86-90.
- 7. Li, H. and Xiong, Z.K. (2011) Optimal Dynamic Pricing for Perishable Assets in Competitive Markets with Strategic Consumers. Chinese Journal of Management Science, 19, 88-98.















