Materials Sciences and Applications
Vol.08 No.01(2017), Article ID:73386,21 pages
10.4236/msa.2017.81005
Correlations of Structural, Dielectric, Magnetic and Magnetoelectric Properties of Ca1−xSrx(Fe0.5Ta0.5)O3 Multiferroic Ceramics
M. K. H. Bhuiyan1*, M. A. Gafur2, M. N. I. Khan3, A. A. Momin1, A. K. M. Akther Hossain1
1Department of Physics, Bangladesh University of Engineering & Technology, Dhaka, Bangladesh
2Pilot Plant & Process Development Centre, Dhaka, Bangladesh
3Materials Science Division, Atomic Energy Centre, Dhaka, Bangladesh

Copyright © 2017 by authors and Scientific Research Publishing Inc.
This work is licensed under the Creative Commons Attribution International License (CC BY 4.0).
http://creativecommons.org/licenses/by/4.0/



Received: November 22, 2016; Accepted: January 8, 2017; Published: January 11, 2017
ABSTRACT
Conventional solid state reaction technique was used to synthesize Ca1−xSrx(Fe0.5Ta0.5)O3 multiferroic ceramics (where x = 0.0, 0.1, 0.2, 0.3, 0.4 and 0.5). Powder of ingredients was mixed thoroughly in stoichiometric amount and calcined at 1150˚C for 5 h. Disk and toroid shaped samples prepared from each composition were sintered at 1450˚C for 5 h. The XRD analysis confirms that all compositions are single phase cubic perovskite structure. The theoretical and bulk density increases with increase of Sr content, which may be attributed to the fact that the atomic weight and density of Sr are larger than those of Ca. The average grain size increased with increasing Sr content up to x = 0.2, and then decreased with further increase of Sr content. Frequency dependent dielectric constant shows usual dielectric dispersion at lower frequencies due to Maxwell-Wagner type interfacial polarization. The higher values of real and imaginary part of impedance at lower frequencies are also due to the fact that all kinds of polarization mechanism are present and increase with Sr content indicating the enhancement property of the composition. The continuous dispersion on increasing frequency contributes to the conduction phenomena. Two semicircles correspond to the grain boundary and grain resistance separately. The complex modulus analysis reveals the polaron hopping and negligibly small contribution of electrode effect. The continuous dispersion on increasing frequency may be contributed to the conduction phenomena. The ac conductivity, σac, was derived from the dielectric measurement and it increases with increase of frequency for all the compositions and can also be explained on the basis of polaron hopping mechanism. At higher frequencies conductive grains are more active, and thereby increases of hopping of charge carrier contribute to rise in conductivity. The real part of initial permeability increased with increasing Sr content up to x = 0.2, and then decreased further increasing the Sr content. Firstly, it increased due to the higher values of grain size, and then decreased with the Sr content due to the lowering the grain size. The saturation magnetization, Ms, increases for x = 0.2 and then decreases with increasing Sr content due to the pore acted as a pinning centre of electron spin; thereby Ms decreases also due to the grain size which is well supported by the permeability results. The decrease of magnetoelectric voltage coefficient αME with content may be attributed to the increased porosity in the sample. The presence of the pores breaks the magnetic contacts between the grains. The highest value of αME is 42.22 mV・cm−1∙Oe−1 for the composition x = 0.2 which is attributed to the enhanced mechanical coupling. It was revealed that there is a dramatic influence of Sr with content x = 0.2 and also has strong correlations on grain size as well as magnetic and magnetoelectric properties.
Keywords:
Perovskite, Impedance Spectroscopy, Initial Permeability, Saturation Magnetization, Magnetoelectric Voltage Coefficient

1. Introduction
Ceramics having multiferroic properties are very appealing materials from a functional point of view, because they can show a wide range of properties: ferroelectricity, ferromagnetism, ferroelasticity and can also be metals, insulators, semiconductors, superconductors, etc. Furthermore, the coupling between some of these properties can give rise to new applications [1] . Particular interest has been aroused by the possibility of new magnetoelectric coupling mechanisms [2] [3] , which was introduced in 1926 by Debye. Later on, Dzyaloshinskii predicted that this type of coupling, which was observed afterward by Astrov [4] , had the potential for exploitation in technological applications [5] [6] [7] . Although a certain number of materials with ferroelectricity and ferromagnetism exist, the coupling between those two properties is not always large enough [8] . Recently, Xin Lv. et al. have studied dielectric and magnetic properties of Sr(Fe1/2Ta1/2)O3 and the nonlinear magnetic behavior was observed at 10 and 50 K [9] . The transition temperature of SrFeO3 and CaFeO3 was also reported to vary with their ionic radii by several authors [10] [11] [12] . This compound having general formula ABO3 shows the perovskite structure. It is well known that the dielectric properties strongly depend on processing conditions during sample preparation as well as on small amounts of doping. Concerning impurity effects, results reported in literature lead to a systematic and significant decrease of the effective dielectric constant [13] [14] , which is accompanied by a concomitant strong decrease in conductivity [15] [16] . Especially, samples doped with marginal amounts of Sr with the nominal chemical composition revealed strong doping effects, dielectric, both in the magnetic and magneto electric response. The detected decrease of conductivity by several orders of magnitude directly influences the Maxwell-Wagner like relaxation and shifts the relaxation responsible for the lower frequencies. Structural, electric (dielectric constant and dielectric loss) and magnetic (complex permeability and DC magnetization) properties of Ca1−xSrx(Fe0.5Ta0.5)O3 are discussed in this manuscript. By these studies we specifically search for correlations between structural, magnetic, and dielectric properties, including possible magnetoelectric effects.
2. Experimental
2.1. Sample Preparation
Multiferroic Ceramic oxides Ca1−xSrx(Fe0.5Ta0.5)O3, (where x = 0, 0.1, 0.2, 0.3, 0.4 and 0.5) were prepared by a solid-state reaction technique. High-purity (~99.9%) ingredients: CaCO3, SrCO3, Fe2O3, Ta2O5 were used for the preparation of ceramics. These chemicals were taken in stoichiometric ratio, and mixed for 24 h. Then the mixed powders were calcined in air at 1050˚C for 5 h with a heating rate of 10˚C/min and cooling rate of 5˚C/min in a furnace to establish the course of nucleation for the grain growth and to felicitate the decomposition of the substituent oxides/carbonates. To obtain a homogeneous mixture, the calcined powder of the above mentioned ceramics were regrind. The samples were sintered at 1450˚C for 5 h and then brought to room temperature
2.2. Characterization
The crystal structure of the prepared samples were studied using a X-ray diffractometer (BRUKER D8 ADVANCE) with CuKα radiation (λ = 1.541 Å) at room temperature. The lattice parameters were calculated from the X-ray diffraction (XRD) data. The microstructure of the sintered samples was examined by a Field Emission Scanning Electron Microscopy (FESEM, model no. JEOL JSM 7600 F). The theoretical density, ρx of the samples was determined by the formula,

where, n is the number of atoms in a unit cell, MA is the molar mass of the sample, NA is the Avogadro’s number and V is the volume of the unit cell. The bulk density, ρB of each sample was calculated using the relation:

where, m is the mass, r is the radius and t is the thickness of the sample. The porosity, P of the samples were calculated using the formula,

The dielectric measurements were carried out at room temperature within the frequency range of 100 Hz - 10 MHz by using Wane Kerr Impedance Analyzer (series B 6500). To measure dielectric properties, the samples were painted on both sides by conducting silver paste to ensure good electrical contacts. The dielectric constant
was calculated from the capacitance using the formula:

where, C is the capacitance of the pellet, A is the cross-sectional area of the electrode and ε₀ = 8.85 × 1012 F/m is the permittivity in free space. The complex impedance spectroscopy is a powerful tool to investigate the electrical properties of the complex oxides. The main advantages of the technique are i) it involves relatively simple electrical measurements that can readily be automated, ii) the results can be often correlated with composition, microstructure, defects, dielectric properties etc. of the sample and iii) the resistance of the grain boundaries and that of grains can be easily separated in most of the polycrystalline samples. Complex impedance spectroscopy were measured using Wane Kerr Impedance Analyzer (series B 6500) in which the resistance R and capacitance C of the sample are measured and balanced against variable resistors and capacitors. The impedance |Z| and the phase difference (θ) between the voltage and current are measured as a function of frequency for the given sample and the technique is called impedance spectroscopy. The complex modulus spectroscopy is a very convenient tool to determine, analyze and interpret the electric transport properties in the materials having the smallest capacitance. The modulus spectra are particularly useful for separating spectral components of the materials having similar resistance but different capacitance. Dielectric relaxation and conduction process also have been carried out in the complex modulus M* formalism. The real and imaginary parts of electric modulus were obtained from the impedance data in accordance with the relation:
(1)
and
(2)
The ac conductivity
was determined at room temperature in the frequency range 100 Hz - 10 MHz to study the mechanism of conduction. For the measurement of ac conductivity the samples were painted on either side with silver paste to ensure good electric contacts. The ac conductivity of the sample was calculated from the dielectric data using the relation
(3)
Permeability is one of the most important parameters in evaluating magnetic properties. The real part
and imaginary part
of the complex initial permeability (μi*) were measured as a function of frequency within the range of 100 kHz - 100 MHz using a Wayne Kerr Impedance Analyzer (series 6500B). The values of
and
were calculated using the relations:
and 
where, LS is the self inductance of the sample core and L0 is the inductance of the winding of the coil without the sample and tanδ is the magnetic loss. L0 is derived from the geometrical relations,

where, μ0 is the permeability in vacuum, N is the number of turns of the coil, S is the cross-sectional area and
is the mean diameter of the toroid-
shaped sample, where, d1 and d2 are the inner and outer diameter of the toroid- shaped sample, respectively.
Magnetic hysteresis is a key factor determining the possible applications of magnetic materials. M-H curves for materials were measured using Vibrating Sample Magnetometer (VSM) (Model no.: Micro Sense EV 9), in which the sample is placed inside a uniform magnetic field to be magnetized. By physically vibrating the sample sinusoidally an induced voltage in the pickup coil is produced due to the magnetic moment which is proportional to the samples magnetization but does not depend on the strength of the applied magnetic field. Therefore by detecting the induced voltage, the magnetic-field-dependent magnetization hysteresis curve of the materials is measured.
ME effect was obtained by applying an ac magnetic field superimposed on a dc magnetic field on the sample, and then measuring the output signal with applied dc magnetic field. The sine output of the internal ac current fed to the Helmholtz coils (HC-130 turns of AWG 26 copper wire) provided ac magnetic fields of 8 Oe at a frequency of 50 Hz. An electromagnet was used to provide a dc magnetic field of up to 0.77 T. A signal generator operating at a frequency of 50 Hz was used to drive the Helmholtz coil to generate an ac magnetic field. The output voltage generated from the sample under investigation was measured using a Keithley multimeter (Model 2000) as a function of dc magnetic field. ME
voltage coefficient, αME, was calculated sing relation,
, where Vo is the ME voltage across the sample surface and ho is the amplitude of the ac magnetic field.
3. Result and Discussions
3.1. XRD Analysis
The XRD patterns of Ca1−xSrx(Fe0.5Ta0.5)O3 composition sintered at 1450˚C are shown in Figure 1. The XRD analysis confirms the Ca1−xSrx(Fe0.5Ta0.5)O3 samples have the single phase simple cubic structure. The XRD peaks are well indexed to the crystal plane. The diffraction peaks of samples move to the lower angle side with the increase of Sr content. The systematic shift of the XRD peaks indicates the solid solubility of Sr in Ca(Fe0.5Ta0.5)O3 lattice and the increase in lattice parameter with the increasing of Sr content. It is also evident that the diffraction peak for all the samples are shifted to the lower angles with the increase of Sr content. This may be due to the replacement of smaller Ca2+ (1.155 Å) by the larger Sr2+ (1.293 Å) which causes the increase of interplaner spacing between the lattices.
3.2. Density of the Composition
Density and porosity play an important role in controlling the microstructure and the physical properties of the Ca1−xSrx(Fe0.5Ta0.5)O3 ceramics. Figure 2 shows the theoretical density, bulk density and porosity of Ca1−xSrx(Fe0.5Ta0.5)O3 ceramics sintered at 1450˚C as a function of Sr content. The increase of density with the increase of Sr content may be attributed to the fact that the atomic weight and density of Sr content is larger than that of Ca. It also appears that the value of ρB for all the compositions is lower than that of the corresponding ρx. This may be due to the presence of pores in the bulk samples which may be formed and developed during sintering leading to a variation in bonding among the elements and making a change in interatomic distance which in turn increases the density.
3.3. Surface Morphology
Figure 3 shows the FESEM images of various Ca1−xSrx(Fe0.5Ta0.5)O3 ceramics sintered at 1450˚C. It is observed from the micrographs that the ceramics
Figure 1. XRD patterns of various Ca1−xSrx(Fe0.5Ta0.5)O3 sintered at 1450˚C.
Figure 2. Variation of theoretical density, bulk density and porosity Sr content of various Ca1−xSrx(Fe0.5Ta0.5)O3 sintered at 1450˚C.



Figure 3. Typical FESEM micrographs of the Ca1−xSrx(Fe0.5Ta0.5)O3 x = 0, x = 0.1, x = 0.2, x = 0.3, x = 0.4 and x = 0.5 sintered at 1450˚C.
possess fine crystalline structure. The inhomogeneity in the grain size is due to the different growth rate of in the compositions. During the sintering process, the thermal energy generates a force that drives the grain boundaries to grow over pores, thereby decreasing the pore volume and increasing the density of the material. It is known that the porosity of ceramics results from two sources, such as intragranular porosity and intergranular porosity. Thus the total porosity could be written as P = Pintra + Pinter. The intergranular porosity mainly depends on the grain size [17] .
The substitution of Sr increase the average grain size (D) till x = 0.2 then decreases with further addition of Sr. The initial decrease in grain size may be due to the interaction of large grains with the small grains which may create a variation in the diffusion process of grain growth mechanism and further decrease is due to the stress exerted on each other. Maximum value of D is found to be 20.37 μm for x = 0.2. The average value of D is found to be in the range of 2.62 - 20.37 μm.
3.4. Dielectric Properties
Figure 4 shows the variation of dielectric constant 



Figure 4. Variation of dielectric constant with log frequency of various Ca1−xSrx(Fe0.5Ta0.5)O3 sintered at 1450˚C.
follow the variation of field frequency. Thus contribution of space charges at high frequency towards 

3.5. Complex Impedance Analysis
Complex impedance spectroscopy is a powerful method to characterize many of the electrical properties of multiferroic ceramics and their interfaces. It may be used to explore the dynamics of mobile or bound charges in the bulk or interfacial regions. The impedance behavior is described by the classical model known as Debye model. It can also be used to do investigate the dynamics of bound or mobile charge in the bulk or interfacial regions of any kind of solid or liquid material: ionic, semiconducting, mixed electronic-ionic and even insulators (dielectrics). Figure 6 and Figure 7 show the variation of 







Figure 5. Variation of tand with log frequency of various Ca1−xSrx(Fe0.5Ta0.5)O3 sintered at 1450˚C.
Figure 6. Variation of real part of impedance spectra Z′ with log frequency of various Ca1−xSrx(Fe0.5Ta0.5)O3 sintered at 1450˚C.
Figure 7. Variation of imaginary part of impedance spectra Z″ with log frequency of various Ca1−xSrx(Fe0.5Ta0.5)O3 sintered at 1450˚C.
coincide at higher frequencies. The merger of 



3.6. Complex Modulus Analysis
The complex modulus spectroscopy is a very convenient method to determine, analyze and interpret the electric transport properties in the materials having the smallest capacitance. The modulus spectra are particularly useful for separating spectral components of the materials having similar resistance but different capacitance. The variation of real part of modulus 

Figure 9 shows the variation of imaginary part of electric modulus 
Figure 8. Variation of real part of modulus spectra Mʹ with log frequency of various Ca1−xSrx(Fe0.5Ta0.5)O3 sintered at 1450˚C.
Figure 9. Variation of imaginary part of modulus spectra M″ with log frequency of various Ca1−xSrx(Fe0.5Ta0.5)O3 sintered at 1450˚C.
are shifting towards lower frequency side with the increase in Sr content. This behavior indicates that the dielectric relaxation is thermally activated in this compound in which hopping mechanism of charge carriers dominate intrinsically like previous report [21] . The observed asymmetry in peak broadening indicates the spread of relaxation with different time constant and hence the relaxation in the material is of non-Debye type.
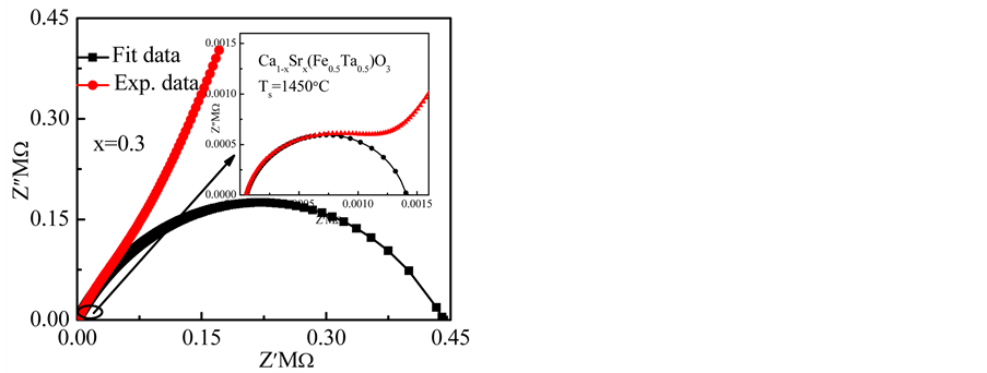
Figure 10 shows the Nyquist plots (

(i) The arc does not pass through the origin either because there are other arcs appearing at higher frequencies and/or because bulk resistance is greater than zero, (ii) The center of an experimental arc is frequently displaced below the real axis because of the presence of distributed elements in the material-electrode system (iii) Arcs can be substantially distorted by other relaxations whose mean time constants are within two orders of magnitude or less of that for the arc under consideration. The semicircle in the high frequency side represents the bulk resistance and that in the low frequency side represents the grain boundary resistance. The third semicircle or a spike in the low frequency region is also observed in some materials which is attributed to the effect of blocking electrodes [23] . This behavior can be described by an equivalent circuit consisting of two sub-circuits connected in series as shown in Figure 10.
The low and high frequency semicircular arcs correspond to the RgbCgb and RgCg responses, respectively. Depressed semicircular arcs are observed for all the samples both in the high and low frequency regions which indicate that non Debye-type of relaxation exists in the present samples. In the high frequency side only single asymmetric semicircular arc is observed for all the compositions due to the overlapping of the individual semicircular arcs of the two phases. If the difference of relaxation time constants is sufficiently large two semicircular arcs would be observed in the high frequency region. The diameters of the high frequency side semicircular arcs are very small than those of low frequency side semicircular arcs indicating the dominant grain boundary contribution to the total resistance. The Rgb initially increases slowly with the content and then it rises sharply. The rise of Rgb may be attributed to the fact that the conductive ferroelectric grains are separated by the less conductive grains thereby increasing the total Rgb. The sharp rise in Rgb is attributed to the increased porosity of the samples. The Rg is extremely low as compared to the Rgb which indicates the conducting nature of the grain. In the present investigation it is observed that Nyquist plot for Ca1−xSrx(Fe0.5Ta0.5)O3 in the low frequency region does not take the shape of a semicircle rather represents a straight line with large slope. This shows that Rgb is out of measurement scale, which may be due to the high porosity of the sample.




Figure 10. (a) Electrical equivalent circuit of CIS. ((b)-(f)) Nyquist plots of various Ca1−xSrx(Fe0.5Ta0.5)O3 compositions sintered at 1450˚C: (b) x = 0.0, (c) x = 0.1, (d) x = 0.2, (e) x = 0.3 (f) x = 0.4 and (g) x = 0.5.
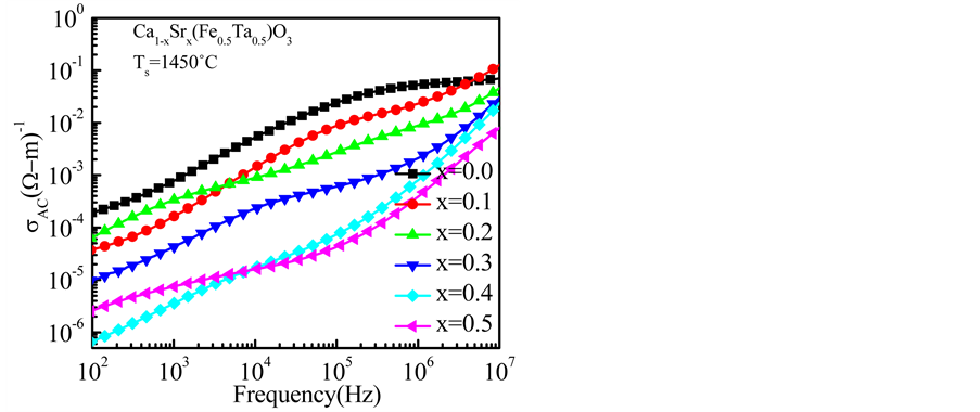
3.7. ac Conductivity
Conductivity plays a crucial role in Ca1−xSrx(Fe0.5Ta0.5)O3. It is a vital issue in the research of materials science. Electrical conductivity reveals the essential electrical characteristics and hence clarification of its mechanism is of primary importance. Figure 11 shows the variation of ac conductivity (σac) with frequency of various Ca1−xSrx(Fe0.5Ta0.5)O3 at room temperature. It is seen that the frequency dependence of σac spectrum exhibit two different regions. At low frequency region, which corresponds to dc conductivity (σdc), the conductivity is almost independent of frequency. On the other hand, at high frequency region, which is known as hopping region; σac increases faster than that of σdc. At higher frequencies the conductive grains become more active thereby increases hopping of charge carriers and contribute to rise in conductivity.
The variation of σac can be explained in terms of polaron hopping mechanism [24] among the localized states. In the large polaron model, σac decreases with increase of frequency, while in small polaron hopping mechanism, the σac with increase of frequency [24] [25] . Figure 11 also shows that σac increases with increasing frequency. This confirms that the conduction phenomenon in this composition is due to small polaron hopping. The variation of σac with frequency can also be explained on the basis of Jonscher’s law [26] :

where σac is the total conductivity, σ0 is the frequency independent conductivity, and the coefficient A and exponent n (0 < n < 1) are temperature and materials intrinsic property dependent [27] . Thus the conduction process in the present composition is mainly due to small polaron hopping. According to Jonscher’s law the variation of log σac with log(ω) should be linear. However, a slight deviation from linearity is attributed to mixed polarons (small/large) conduction [28] . Hopping mechanism is favored in ionic lattices in which the same kind of cataion is found in two different oxidatation states. Thus in the conduction
Figure 11. Variation of log(σac) versus log(f) of variousCa1−xSrx(Fe0.5Ta0.5)O3 sintered at 1450˚C.
process, the hopping of 3d electrons between Fe2+ and Fe3+ might play an important role. The conductivity can also be explained on the basis of polaron hopping mechanism. In large polaron model, σac decreases with the increase of frequency while in small polaron hopping mechanism, the σac increases with the increase in frequency. In present investigation, all compositions exhibit an increase in conductivity with frequency which indicates that small polaron hopping is present in the conduction mechanism of the studied compound.
3.8. Complex Initial Permeability
The complex initial permeability is given by



Figure 12 shows the variation of real part initial permeability 





Figure 12. Variation of 
average grain size, impurity, coercivity, porosity etc. The 
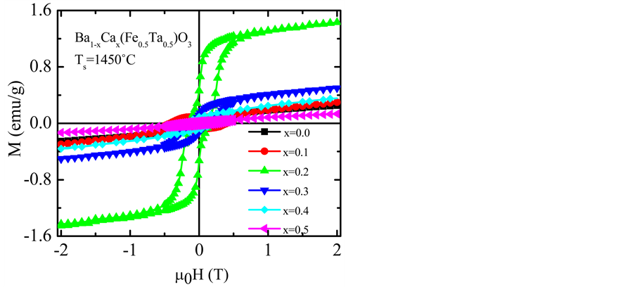
3.9. Magnetic Hysteresis
Magnetic hysteresis is a key factor determining the possible applications of magnetic materials. The magnetization as a function of applied magnetic field for various Ca1−xSrx(Fe0.5Ta0.5)O3 composition sintered at 1450˚C shown in Figure 14 The magnetization of all the samples increases sharply with increasing
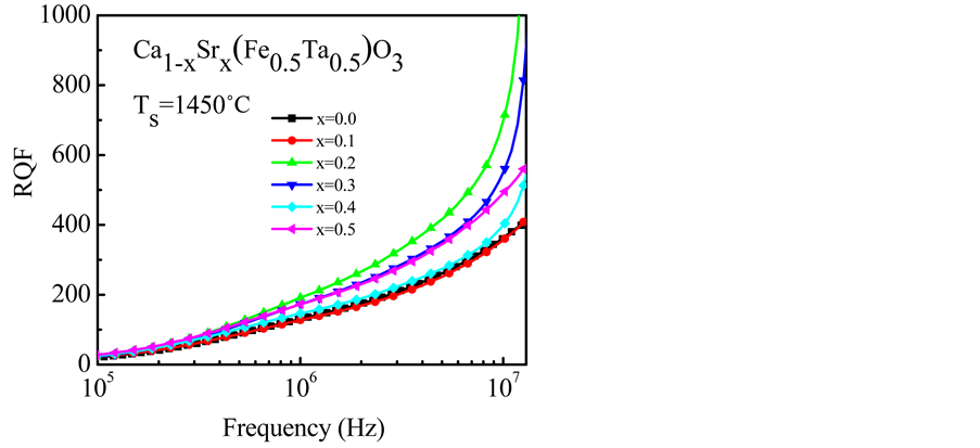
Figure 13. Variation of RQF as a function of frequency of various Ca1−xSrx(Fe0.5Ta0.5)O3 sintered at 1450˚C.
Figure 14. M-H hysteresis loops of various Ca1−xSrx(Fe0.5Ta0.5)O3 ceramics sintered at 1450˚C measured at room temperature.
applied field up to 0.5T (in μ0H). Beyond this applied field, the magnetization increases slowly and then saturation occurs. Therefore, it is clear that all the samples are in ferromagnetic at room temperature. It is seen that the saturation magnetization (Ms) increases for x = 0.2 and then decreases with increasing Sr content. These results are well supported by the permeability and as well as grain size. Ms is also influenced by extrinsic factors such as microstructure and the density of the ceramics. Magnetization is known to increase with density. As the grain size increases formation of domain walls become possible and magnetization increases due to domain wall movement under the action of the magnetic field. Thus overall value of the magnetization obtained is a result of the contribution for all the factors depending upon the composition.
The remnant magnetization (Mr) is found to be 0.030 to 0.461 emu/g showing an increment of Mr up to x = 0.2 and then gradually decreases. The highest value of Mr is found to be 0.461 emu/g sintered for 1450˚C for x = 0.2 content. The values of Mr are relatively very small as compared to other ferromagnetic compounds. Unsaturated M-H behavior and small remnant magnetization is the indication of weak ferromagnetism [30] . The Sr substitution may suppress and could not destroy the spiral spin structure completely. Substitution of Ta5+ in B- site may affect statistical distribution of Fe3+ in magnetic sub lattice in which local ferromagnetic structure may form between Fe3+ and Ta5+ and lead to bulk magnetization. The magnetization is found to reduce with further increase in Sr concentration because of the paramagnetic behavior of Sr which indicate amount of Sr concentration is important for the enhancement of magnetic properties.
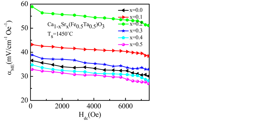
3.10. Magnetoelectric Properties
The electrical control of magnetization or magnetic control of electric polarization in the solid state is significant both fundamentally and practically. In the present case, the ME effect results from the interaction between different orderings. The ME effect in multiferroic materials arises due to the interaction of the magnetic and ferroelectric domains [30] . The ME coefficient (αME) has been determined by dynamic method [31] with simultaneous application of ac as well as dc magnetic field. The variation of αME with applied dc magnetic field for all compositions is shown in Figure 15. From the figure, it is observed that αME decreases with increasing magnetic field. The magnetization has been observed for Ca1−xSrx(Fe0.5Ta0.5)O3 which may be attributed to a large ME coupling to be pre- sent in the samples at room temperature. Sr added samples may have improved ME coupling because of better piezoelectric properties of Ca1−xSrx(Fe0.5Ta0.5)O3. This initial rise in αME may be attributed to the enhancement in elastic interaction. Applied magnetic field induces large strain in magnetic domains of the samples. Due to the coupling of the magnetic and ferroelectric domains the strain produces stress (strain mediated stress) in ferroelectric domains. The stress causes an increase in polarization of the ferroelectric domains and at a certain amount of Sr the electric polarization becomes easier due to better
Figure 15. Variation of αME with magnetic field of various Ca1−xSrx(Fe0.5Ta0.5)O3 ceramics at sintered 1450˚C.
piezoelectric properties as a result more bound charges to be appeared. These charges will help to develop more voltage in the grain which in turn produces strong ME coupling. The decrease in αME with the increase in magnetic field may be due to the fact that the magnetization reaches its forced saturation and hence the magnetization and associated strain produce a constant electric field in the ferroelectric phase beyond the saturation limit. This leads to a decrease in αME at higher magnetic fields. The decrease of αME may be attributed to the increased porosity in the sample. The presence of the pores breaks the magnetic contacts between the grains. Hence increase in porosity may reduce the net magnetization in the bulk and affects on magnetoelectric interactions in the compositions. The maximum αME is found to be 65.05 for the composition x = 0.2.
4. Conclusion
Various Ca1−xSrx(Fe0.5Ta0.5)O3 ceramics were synthesized by the standard solid state reaction method. The X-ray diffraction result indicates that all samples are of single phase cubic perovskite structure. The theoretical density (ρth) and the bulk density (ρB) increase with increasing Sr content. The values of ρth are found to be higher than those of ρB. The value of average grain size was found to be changed with the increase of Sr content. The value of dielectric constant 

Acknowledgements
The authors greatly acknowledge the CASR, Bangladesh University of Engineering and Technology (BUET) to provide financial support for this investigation.
Cite this paper
Bhuiyan, M.K.H., Gafur, M.A., Khan, M.N.I., Momin, A.A. and Akther Hossain, A.K.M. (2017) Correlations of Structural, Dielectric, Magnetic and Magnetoelectric Properties of Ca1−xSrx(Fe0.5Ta0.5)O3 Multiferroic Ceramics. Materials Sciences and Applications, 8, 64-84. http://dx.doi.org/10.4236/msa.2017.81005
References
- 1. Cheong, S.W. and Mostovoy, M. (2007) Multiferroics: A Magnetic Twist for Ferroelectricity. Nature Materials, 6, 13-20.
https://doi.org/10.1038/nmat1804 - 2. Mostovoy, M. (2006) Ferroelectricity in Spiral Magnets. Physical Review Letters, 96, Article ID: 067601.
- 3. Debye, P. (1926) Bemerkung zu einigen neuen Versuchen über einen magneto-elektrischen Richteffekt. Zeitschrift für Physik, 36, 300-301.
- 4. Astrov, D. (1960) The Magnetoelectric Effect in Antiferromagnetics. Soviet Physics, 11, 708.
- 5. Fiebig, M. (2005) Revival of the Magnetoelectric Effect. Journal of Physics D: Applied Physics, 38, R123.
https://doi.org/10.1088/0022-3727/38/8/R01 - 6. Tokura, Y. (2006) Multiferroics as Quantum Electromagnets. Science, 312, 1481-1482.
https://doi.org/10.1126/science.1125227 - 7. Eerenstein, W., Mathur, N.D. and Scott, J.F. (2006) Multiferroic and Magnetoelectric Materials. Nature, 442, 759-765.
- 8. Hill, N.A. (2000) Why Are There So Few Magnetic Ferroelectrics? The Journal of Physical Chemistry B, 104, 6694-6709.
https://doi.org/10.1021/jp000114x - 9. Xin, L., Liu, X.Q., Zhao, H.J., Yang, W.Z. and Chen X.M. (2013) Dielectric and Magnetic Properties of Sr(Fe1/2Ta1/2)O3 Complex Perovskite Ceramics. Journal of the American Ceramic Society, 96, 1188-1192. https://doi.org/10.1111/jace.12162
- 10. Dutta, A., Bharti, C. and Sinha, T.P. (2008) AC Conductivity and Dielectric Relaxation in CaMg1/3Nb2/3O3. Materials Research Bulletin, 43, 1246-1254.
https://doi.org/10.1016/j.materresbull.2007.05.023 - 11. Kumar, M. and Yadav, K.L. (2007) Rapid Liquid Phase Sintered Mn Doped BiFeO15 Ceramics with Enhanced Polarization and Weak Magnetization. Physical Review Letters, 91, Article ID: 242901.
https://doi.org/10.1063/1.2816118 - 12. Saha, S. and Sinha, T.P. (2002) Structural and Dielectric Studies of BaFe0.5Nb0.5O3. Journal of Physics: Condensed Matter, 14, 249-258.
https://doi.org/10.1088/0953-8984/14/2/311 - 13. Kobayashi, W. and Terasaki, I. (2003) Unusual Impurity Effects on the Dielectric Properties of CaCu3-xMnxTi4O12. Physica B: Condensed Matter, 329-333, 771-772.
https://doi.org/10.1016/S0921-4526(02)02517-6 - 14. Chung, S.-Y., Choi, S.-Y., Yamamoto, T., Ikuhara, Y. and Kang, S.-J.L. (2006) Site-Selectivity of 3d Metal Cation Dopants and Dielectric Response in Calcium Copper Titanate. Applied Physics Letters, 88, Article ID: 091917.
https://doi.org/10.1063/1.2179110 - 15. Li, M., Feteira, A., Sinclair, D.C. and West, A.R. (2006) Influence of Mn Doping on the Semiconducting Properties of CaCu3Ti4O12CaCu3Ti4O12 Ceramics. Applied Physics Letters, 88, Article ID: 232903.
https://doi.org/10.1063/1.2200732 - 16. Grubbs, R.K., Venturini, E.L., Clem, P.G., Richardson, J.J., Tuttle, B.A. and Samara, G.A. (2005) Dielectric and Magnetic Properties of Fe- and Nb-Doped CaCu3Ti4O12. Physical Review B, 72, Article ID: 104111.
https://doi.org/10.1103/PhysRevB.72.104111 - 17. Rezlescu, N., Rezlescu, E., Pasnicu, C. and Craus, M.L. (1994) Effect on Rare Earth Ions on Some Properties of Nickel Zinc Ferrite. Journal of Physics: Condensed Matter, 6, 5707-5712.
- 18. Behera, B., Nayak, P. and Choudhary, R.N.P. (2008) Structural and Electrical Properties of KCa2Nb5O15 Ceramics. Central European Journal of Physics, 6, 289-295.
- 19. Plocharski, J. and Wieczoreck, W. (1988) Electrochemical Stability and Ionic Conductivity of Some Polymerlic Based Electrolytes. Solid State Ionics, 28-30, 979-983.
- 20. Macedo, P.B., Moynihan, C.T. and Bose, R. (1972) The Conductivity of the Super Ionic Glass Samples Increases after Irradiation and Conductors. Physics and Chemistry of Glasses, 13, 171-179.
- 21. Ranjan, R., Kumar, R., Kumar, N., Behera, B. and Choudhary, R.N.P. (2011) Impedance and Electric Modulus Analysis of Sm-Modified Pb(Zr0.55Ti0.45)1-x/4O3 Ceramics. Journal of Alloys and Compounds, 509, 6388-6394.
https://doi.org/10.1016/j.jallcom.2011.03.003 - 22. Verma, K., Kumar, A. and Varshney, D. (2012) Dielectric Relaxation Behavior of AxCo1-xFe2O4 (A = Zn, Mg) Mixed Ferrites. Journal of Alloys and Compounds, 526, 91-97.
https://doi.org/10.1016/j.jallcom.2012.02.089 - 23. Kumar, D.A., Selvasekarapandian, S., Nithya, H. Sakunthala, A. and Hema, M. (2010) Dielectric, Modulus and Impedance Analysis, of LaF3 Nanoparticles. Physica B: Condensed Matter, 405, 3803-3807. https://doi.org/10.1016/j.physb.2010.06.004
- 24. Adler, D. and Feinlein, J. (1970) Electrical and Optical Properties of Narrow-Band Materials. Physical Review B, 2, 3112-3134.
https://doi.org/10.1103/PhysRevB.2.3112 - 25. Austin, I.G. and Mott, N.F. (1969) Polarons in Crystalline and Non Crystalline Materials. Advances in Physics, 18, 41-102.
https://doi.org/10.1080/00018736900101267 - 26. Jonscher, A.K. (1977) The Universal Dielectric Response. Nature, 267, 673-679. https://doi.org/10.1038/267673a0
- 27. Upadhyay, S., Sahu, A.K., Kumaar, D. and Parkash, O. (1998) Probing Electrical Conduction Behavior of BaSnO3. Journal of Applied Physics, 84, 828.
https://doi.org/10.1063/1.368143 - 28. Kadam, S.L., Patankar, K.K., Kanamadi, C.M. and Chougule, B.K. (2004) Electrical Conduction and Magnetoelectric Effect in Ni0.5Co0.5Fe2O4+Ba0.8Pb0.2TiO3 Composite. Materials Research Bulletin, 39, 2265-2272.
https://doi.org/10.1016/j.materresbull.2004.07.021 - 29. Globus, A., Duplex, P. and Guyot, M. (1971) Determination of Initial Magnetization Curve from Crystallites Size and Effective Anisotropy Field. IEEE Transactions on Magnetics, 7, 617-622. https://doi.org/10.1109/TMAG.1971.1067200
- 30. Kumar, M.M., Srinivas, A., Surayanarayan, S.V., Kumar, G.S. and Bhimasankaram, T. (1998) An Experimental Setup for Dynamic Measurement of Magnetoelectric Effect. Bulletin of Materials Science, 21, 251-255.
https://doi.org/10.1007/BF02744978 - 31. Grossinger, R., Duong, G.V. and Turtelli, R.S. (2008) The Physics of Magnetoelectric Composites. Journal of Magnetism and Magnetic Materials, 320, 1972-1977.
https://doi.org/10.1016/j.jmmm.2008.02.031

















