Advances in Chemical Engineering and Science
Vol.05 No.03(2015), Article ID:57578,7 pages
10.4236/aces.2015.53028
Dielectric Properties and a.c. Conductivity of Epoxy/Alumina Silicate NGK Composites
Waleed A. Hussain1, Abdullah A. Hussein2, Jabar M. Khalaf1, Ali H. Al-Mowali3*, Abdullwahab A. Sultan4
1Department of Physics, College of Education for Pure Science, Basrah University, Basrah, Iraq
2Department of Material Science, Polymer Research Centre, University of Basrah, Basrah, Iraq
3Department of Chemistry, College of Science, University of Basrah, Basrah, Iraq
4Southern Technical College, Basrah, Iraq
Email: *ali_almowali1946@yahoo.com
Copyright © 2015 by authors and Scientific Research Publishing Inc.
This work is licensed under the Creative Commons Attribution International License (CC BY).
http://creativecommons.org/licenses/by/4.0/



Received 22 April 2015; accepted 27 June 2015; published 30 June 2015
ABSTRACT
Alumina silicate powder which is extracted from the obsolete spark plug NGK (insulator part as a filler) has been used to produce epoxy/alumina silicate composite. The dielectric behavior of the composite materials (epoxy resin-alumina silicate NGK) is analyzed as a function of the filler content, temperature and frequency. AC conductivity and impedance are also studied. The results show that the permittivity, dielectric loss and loss tangent for all composites increase with increasing alumina silicate NGK filler content.
Keywords:
Polymer-Matrix Composites, Dielectric Properties, Epoxy, Alumina Silicate

1. Introduction
Composites which are made of polymer with inorganic filler have been successfully used in electrical and electronic industries. These systems are considered heterogeneous and their electrical characteristics depend on several factors such as volume fraction, size, shape, conductivity of the filler, the adhesion between the filler and the polymer and the method of processing. The advantage of such composites is that it can be produced to exhibit enhanced and compatible properties that the constituent materials may not exhibit [1] - [4] .
Filler can improve the mechanical, thermal and electrical (conductivity and permittivity) properties. It can lower the shrinking in addition to the price reduction consideration. In order to achieve both thermally conducting and electrically insulating polymer-matrix composites, fillers such as (diamond, boron nitride aluminum nitride, silicon carbide, alumina, fused SiO2 and beryllium oxide), are used [5] - [8] . Metallic fillers, carbon black and graphite are used to enhance both electrical and thermal properties [8] - [10] . Non conductive fillers increase the dielectric permittivity due to interfacial polarization (Maxwell-Wagner-Sillars polarization). For con fillers, electrical conductivity and dielectric permittivity increase with increasing the filler volume fraction until drastic changes in these properties reach a critical range of filler concentration called percolation threshold. The effective use of composites strongly depends on the ability to disperse the fillers homogeneously throughout the material [11] . Epoxy composite which consists of an epoxy resin and conductive or nonconductive filler, has been reported to possess interesting properties and is used in a verity of applications such as encapsulating, thin film coating, packing of electronic circuits protective coatings, electromagnetic frequency interference shields, antistatic devices and thermistors [12] - [14] .
Research in epoxy based composite dielectric systems is gathering momentum for their preferred electrical properties [15] [16] . Since interesting properties of polymer attributable to complex motion within their molecular matrix, therefore, the study of dielectric constant, dielectric loss and a.c. conductivity as a function of temperature and frequency is one of the most convenient and sensitive methods of studying polymer structure. In this study, (epoxy resin as a matrix and alumina silicate NGK (A.S NGK) SiO2, Al2O3 NGK powder as a filler) composites were prepared and their dielectric properties were investigated as a function of filler weight fraction (5, 10, 15, 20, 25, 30, 35 and 40 wt%), temperature in the range (30 - 120)˚C and frequency in the range (120Hz-2MHz). a.c. conductivity and impedance were also studied.
2. Experiment
2.1. Materials
A commercial epoxy (DGEBA-368WG), with permittivity (ε' = 3.7), molecular weight Mw = 624 gm/mol and density = 1.27 gm/cm3 supplied by United Chemical Company Ltd. (UNICHEM), with curing agent triethylene tetra amine (TETA) supplied by the same company were used as polymer matrices for the composites .The alumina silicate (A.S NGK), was taken
2.2. Sample Preparation
In order to insure a good dispersion of the filler and to provide a homogenous composite, the (A.S NGK) powders were added to the epoxy resin in different weight percentages (5, 10, 15, 20, 25, 30, 35 and 40 wt%) and suitably mixed at about 70˚C for 5 minutes. Then, the curing agent (TETA), as hardener, was added and mixed. The mixture then was casted as a thick film on clean Al substrates.
The initial curing was carried out at room temperature for 24 hours, followed by post curing at 120˚C for 2 hours. Circular disk shaped thin film Aluminum electrodes 6 mm in diameter were vacuum deposited on the upper side of the casted composites. A sandwich of Al/thermosetting sheets of composites/Al were finally made
2.3. Characterization and Measurements
The samples capacitance and the loss tangent (tanδ) or (D) of (composites were measured by digital RCL bridge type MEGGER B131), at the frequencies 120 Hz and 1 kHz. For continuous frequencies in the range (120 Hz -2 MHz), RCL bridge type (METRAPOINT-RLC2 and ME 1634 FUNCTION GENERATOR) was used to measure the capacitance of the samples.
The relative complex permittivity (ε*) can be expressed as follows:
(1)
where,
. The real part (ε') and the imaginary part (ε'') of relative permittivity.
Dielectric loss of permittivity can be calculated from the measured capacitance and loss tangent [17] [18] ;
(2)
(3)
where, d is a separation distance between two electrodes, A is electrodes area, εo is the permittivity of the free space, (εo = 8.85 × 10−12 F/m).
a.c. conductivity (σa.c) was calculated according to the relation [19] [20] .
(4)
where ω is the angular frequency.
The complex impedance (Z*) can be expressed as follows:
(5)
where, Z and Z' are real and imaginary parts of impedance, respectively.
The real part of impedance Z at different frequencies up to 500 kHz was measured by impedance analyzer (Heweltpacard A4800).
3. Results and Discussion
Figure 1 shows the variation of the real part of permittivity (ε′) of epoxy composite as a function of filler content in the room temperature at two fixed frequencies, 120 Hz and 1 kHz. It is seen that the real part of permittivity ε′ depends on filler content, and increased with increasing the filler content. It is also seen that the (ε′) values are higher when the frequency is lower (120 Hz). The increase in ε′ with increasing filler content or decreasing frequency is an expected behavior attributed to Maxwell-Wagner Sillars (MWS)/ or interfacial effect that appears in heterophase systems [21] .
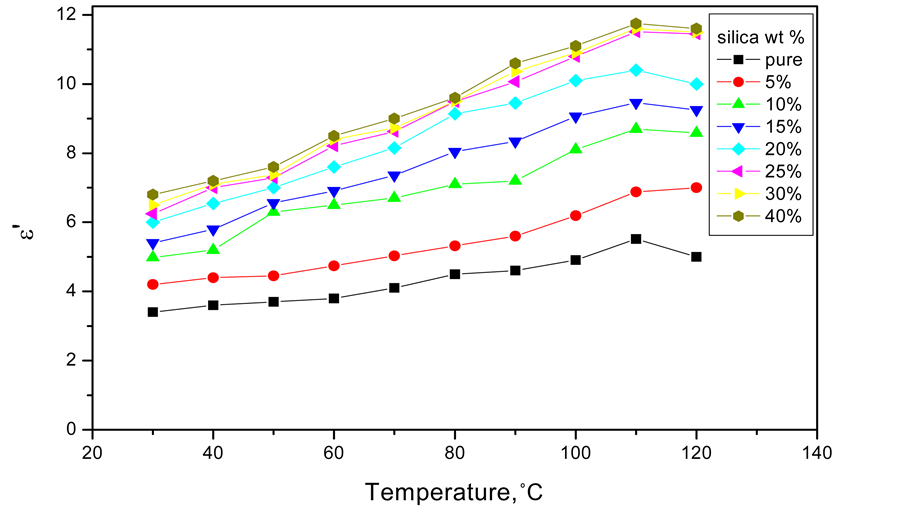
Figure 2 shows the variation of the real part of permittivity (ε′) of Epoxy composite as a function of temperature in the range 30˚C - 120˚C for different filler concentrations. Pure Epoxy was also included in the figure for comparison. It can be seen that in all cases ε′ increases with increasing temperature up to a maximum where further increase in temperature would lead to decreasing the ε′ value. Here, since there is no significant change in the filler permittivity with increasing temperature; the dielectric response of the composites may be related to: Firstly, the segmental mobility of polymer which increases with increasing temperature; this mechanism should increase the dielectric constant due to greater freedom of movement of the dipole molecular chains within the polymer at high temperature, Secondly, the disruption of contacts between filler particles caused by the thermal expansion of resin and ceramic; this mechanism should decrease dielectric constant [18] .
Figure 3 shows the frequency spectrum of ε′ for Epoxy composites of different filler concentrations. It is found that the permittivity decreases with increasing frequency. The decrease in permittivity with increasing frequency may be attributed to the fact that dipolar polarization of the matrix and the interfacial polarization (due to the fillers and polymer matrix) become less capable to orient themselves in the direction of the alternating field as the frequency raised [22] .
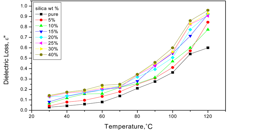
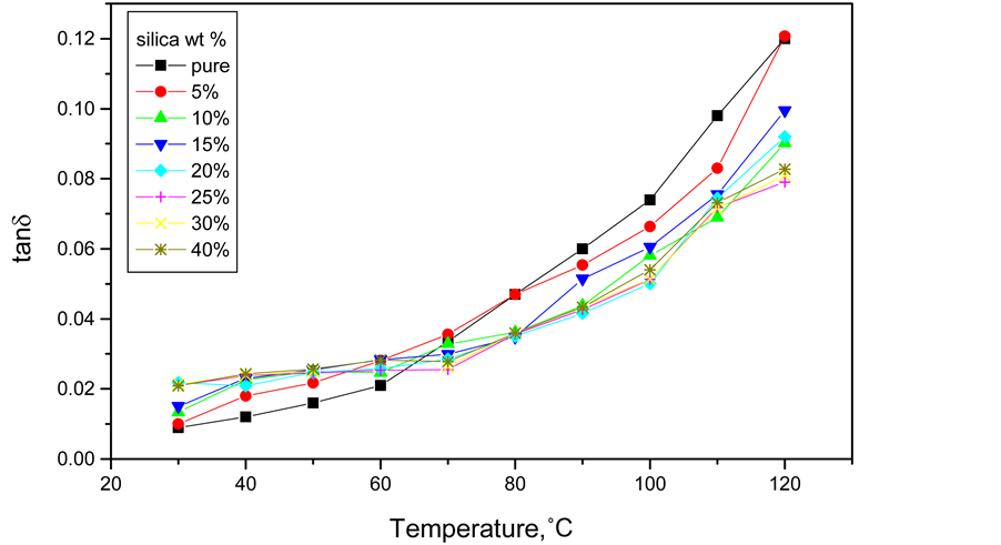
Figure 4 and Figure 5 show the variation of (dielectric loss ε'' and loss tangent tanδ) as a function of temperature in the range 30˚C - 120˚C at a constant frequency (1 kHz) for pure epoxy and epoxy composites (with different filler concentrations). It is observed that ε'' & tanδ are increased in general as the filler content or temperature increases. The increase in (ε'' & tanδ) with increasing of filler contents is related to the interfacial polariza-
Figure 1. The permittivity versus filler content at two different frequencies 120 Hz and 1 KHz.
Figure 2. (A.S.NGK)-epoxy composites permittivity as a function of temperature for different filler concentrations measured at 1 KHz.
Figure 3. The permittivity as a function of filler content and frequency for (A.S NGK)-epoxy composite at room temperature.
tion, while that caused by increasing temperature may be related to the increase of segmental mobility and ionic conductivity. Since the rise in temperature (and the consequence drop in viscosity) exerts an effect on the amount of the losses due to the friction of the rotating dipoles, the degree of dipole orientation increases and ionic conduction increases, due to the thermal dissociation of molecule [18] [23] [24] .
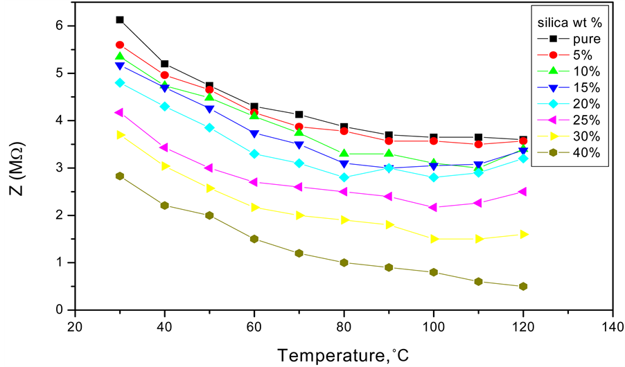
It can be seen that the a.c. conductivity increases with increasing filler content Figure 6 Shows the impedance (real component) frequency dependence for pure epoxy and epoxy/A.S NGK composites (different wt%). Im-
Figure 4. The dielectric loss as a function of filler content and temperature for (A.S NGK)-epoxy composite at frequency 1 KHz.
Figure 5. The loss tangent as a function of filler content and temperature for (A.S NGK)-epoxy composite.
pedance values decrease with increasing frequency or silica concentration. The observed decrease in of impedance with A.S NGK content is due to protonic migration transporting the oxygen and Si element and impurities existing in the (A.S NGK) filler. This motion leads to higher electrical conduction in the filled composites. As can be seen, there is an exponential decrease in the impedance with the increase in frequency for all filler volume fractions, and this decrease is greater for high filler contents composites.
Figure 7 shows the impedance (real component Z) frequency dependence for epoxy composites. There is an obvious decrease in Z with increasing filler content at each measured frequency due to the increasing of interfacial polarization.
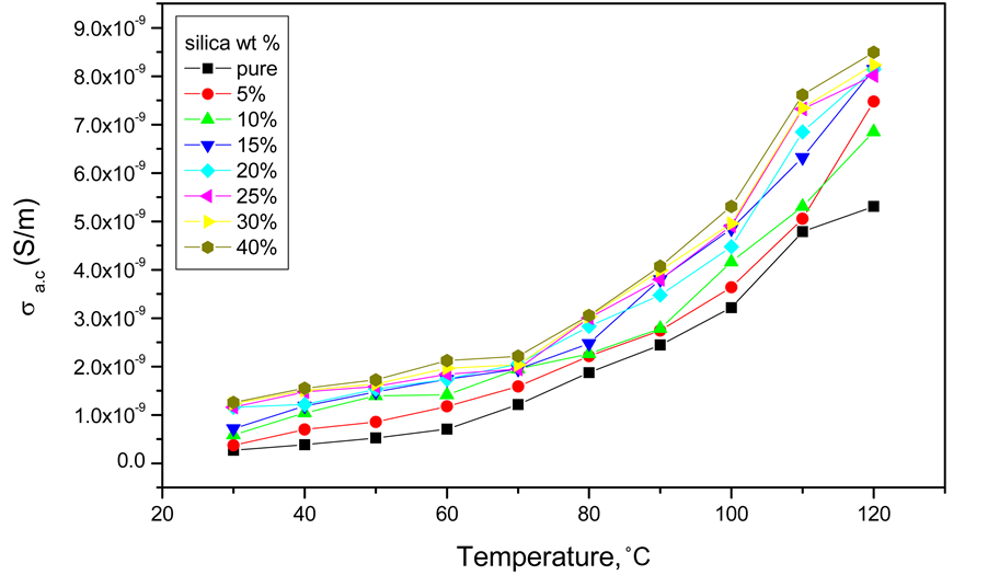
Figure 8 shows variation of a.c. conductivity as a function of temperature for epoxy composite (different for the same temperature circumstances, and that, σac for all cases has a positive temperature coefficient. The in-
Figure 6. The impedance of (A.S NGK)-epoxy composites as a function of filler content and temperature.
Figure 7. The impedance of (A.S NGK)-epoxy composites as a function of filler content and frequency.
fluence of temperature on σa.c. can be explained, first, by considering that the conduction mechanisms are usually enhanced by thermal fluctuation of local field [25] . Second by the charge carriers such as weakly bound ions in epoxy resin, and polymer segmental chains, that would increase dramatically with increasing temperature [26] .
Figure 8. The a.c. conductivity as a function of filler content and temperature for (A.S NGK)-epoxy composite.
4. Conclusion
It is found that the permittivity, dielectric loss and loss tangent for all composites increase with increasing the A.S NGK filler content, or temperature which has been attributed to interfacial polarization and segmental mobility of the polymer molecules, respectively. The permittivity decreases with the increasing of frequency because interfacial and segmental mobility polarizations cannot keep up orientation in the direction of the alternating field. The impedance Z of the composite decreases with the increase of filler volume content, frequency and temperature
Acknowledgements
This research work was supported by Department of Material Science, Polymer Research Centre, and by Department of Physics, College of Education for Pure Science, University of Basrah, Basrah, Iraq.
References
- Gutmann, R.J. (1999) Advanced Silicon IC Interconnect Technology and Design: Present Trends and RF Wireless Implications. IEEE Transactions on Microwave Theory and Techniques, 47, 667-674. http://dx.doi.org/10.1109/22.769333
- Awaya, N., Inokawa, H., Yamamoto, E., Okazaki, Y., Miyake, M., Arita, Y. and Kobayashi, T. (1996) Evaluation of a Copper Metallization Process and the Electrical Characteristics of Copper-Interconnected Quarter-Micron CMOS. IEEE Transactions on Electron Devices, 43, 1206-1212. http://dx.doi.org/10.1109/16.506770
- Allan, A., Edenfeld, D., Joyner, W.H., Kahng, A.B., Rodgers, M. and Zorian, Y. (2001) The National Technology Roadmap for Semiconductors. Semiconductor Industry Association, 35, 42-53.
- Golden, J.H., Hawker, C.J. and Ho, P.S. (2001) Designing Porous Low-k Dielectrics. Semiconductor International, 24, 79-87.
- Xu, Y., Chung, D.D.L. and Mroz, C. (2002) Thermally Conducting Aluminum Nitride Polymer-Matrix Composites. Composite: Part A, 32, 1749-1757.
- Pezzotti, P., Kamada, I. and Miki, S. (2000) Thermal Conductivity of AlN/Polystyrene Interpenetrating Networks. Journal of the European Ceramic Society, 20, 1197-1203. http://dx.doi.org/10.1016/S0955-2219(99)00282-4
- Lee, H. and Neville, K. (1967) Hand Book of Epoxy Resins. McGrow Hill Book Company, London.
- Hodgin, M.J. and Estes, R.H. (1999) Advanced Boron Nitride Epoxy Formulation Excel in Thermal management Applications. Proc. NEPCON Conf., Anaheim, 359-366.
- Weidenfeller, B., HÖfer, M. and Schilling, F. (2002) Thermal and Electrical Properties of Magnetite Filled Polymers. Composites Part A: Applied Science and Manufacturing, 33, 1041-1053. http://dx.doi.org/10.1016/S1359-835X(02)00085-4
- Mamuny, Y.P., Davydenko, V.V., Pissis, P. and Lebedev, E.V. (2002) Electrical and Thermal Conductivity of Polymers Filled with Metal Powders. European Polymer Journal, 38, 1887-1897. http://dx.doi.org/10.1016/S0014-3057(02)00064-2
- Pillai, P.K.C., Narula, G.K. and Tripathi, A.K. (1984) Dielectric Properties of Polypropylene/Polycarbonate Polyblends. Polymer Journal, 16, 575-578. http://dx.doi.org/10.1295/polymj.16.575
- Luo, X.C. and Chung, D.D.L. (2001) Carbon-Fiber/Polymer-Matrix Composites as Capacitors. Composites Science and Technology, 61, 885-888. http://dx.doi.org/10.1016/S0266-3538(00)00166-4
- Wang, S.K. and Chung, D.D.L. (2005) The Interlaminar Interface of a Carbon Fiber Epoxy-Matrix Composite as an Impact Sensor. Journal of Materials Science, 40, 1863-1867. http://dx.doi.org/10.1007/s10853-005-1205-7
- Babaevsky, P.G., Kozlov, N.A., Churilo, I.V. and Slagoda, V.V. (2005) Influence of Simulated and Natural Space Environment Factors on Dielectric Properties of Epoxyamine Polymers and Polymer-Based Composite Materials. Cosmic Research, 43, 25-33.
- Tanaka, T. (2005) Dielectric Nanocomposites with Insulating Properties. IEEE Transactions on Dielectrics and Electrical Insulation, 12, 914-928. http://dx.doi.org/10.1109/TDEI.2005.1522186
- Singha, S. and Thomas, M.J. (2008) Permittivity and Tan Delta Characteristics of Epoxy Nanocomposites in the Frequency Range of 1 MHz-1 GHz. IEEE Transactions on Dielectrics and Electrical Insulation, 15, 2-11. http://dx.doi.org/10.1109/T-DEI.2008.4446731
- Singh, V., Kulkarni, A.R. and Ramamohan, T.R. (2003) Dielectric Properties of Aluminum-Epoxy Composites. Journal of Applied Polymer Science, 90, 3602-3608. http://dx.doi.org/10.1002/app.13085
- Kim, C.H. and Shin, J.S. (2002) Dielectric Relaxation of Siloxan-Epoxy Copolymers. Bulletin of the Korean Chemical Society, 23, 413-416.
- Ramajo, L., Catro, M.S. and Reboredo, M.M. (2007) Effect of Silane as Coupling Agent on the Dielectric Properties of BaTiO3-Epoxy Composites. Composites Part A: Applied Science and Manufacturing, 38, 1852-1959. http://dx.doi.org/10.1016/j.compositesa.2007.04.003
- Hyun, J.G., Lee, S. and Paik, K.W. (2005) Frequency and Temperature Dependance of Dielectric Constant of Epoxy/ BaTiO3 Composite. Electronic Component and Technology Conference, 1241-1247.
- Muhammed, A., Athar, J. and Tasneem, Z.R. (2005) Dielectric Properties of Industrial Polymer Composite Materials. Turkish Journal of Physics, 29, 355-362.
- Hadik, N., Outzourhit, A., Elmansouri, A., Abouelaoualim, A., Oueriagli, A. and Ameziane, E.L. (2009) Dielectric Behavior of Ceramic (BST)/Epoxy Thick Films. Active and Passive Electronic Components, 2009, Article ID: 437130.
- Saq’an, S.A., Ayesh, A.S., Zihlif, A.M., Martuscelli, E. and Ragosta, G. (2004) Physical Properties of Polystyrene/Alum Composites. Polymer Testing, 23, 739-745. http://dx.doi.org/10.1016/j.polymertesting.2004.04.008
- Cheng, K.-C., Lin, C.-M., Wang, S.-F., Lin, S.-T. and Yang, C.-F. (2007) Dielectric Properties of Epoxy Resin-Barium Titanate Composites at High Frequency. Materials Letters, 61, 757-760. http://dx.doi.org/10.1016/j.matlet.2006.05.061
- Medalia, A.I. (1986) Electrical Conduction in Carbon Black Composites. Rubber Chemistry and Technology, 59, 432- 454. http://dx.doi.org/10.5254/1.3538209
- Hussain, A.A. and Hussain, W.A. (2010) Dielectric Properties of Epoxy/BaTiO3 Composites. Journal of Basrah Researches (Sciences), 36, 1-7.
NOTES

*Corresponding author.









