Journal of Electromagnetic Analysis and Applications
Vol.07 No.03(2015), Article ID:54852,13 pages
10.4236/jemaa.2015.73009
Integrated and Explicit Boundary Conditions of Electromagnetic Fields at Arbitrary Interfaces between Two Anisotropic Media
Bing Zhou1, Graham Heinson2, Aixa Rivera-Rios2
1Petroleum Geosciences, The Petroleum Institute, Abu Dhabi, UAE
2Geology and Geophysics, The University of Adelaide, Adelaide, Australia
Email: bizhou@pi.ac.ae, graham.heinson@adelaide.edu.au, aixa-rivera-rios@adelaide.edu.au
Copyright © 2015 by authors and Scientific Research Publishing Inc.
This work is licensed under the Creative Commons Attribution International License (CC BY).
http://creativecommons.org/licenses/by/4.0/



Received 3 March 2015; accepted 16 March 2015; published 19 March 2015
ABSTRACT
This paper derives two new integrated and explicit boundary conditions, named the “explicit nor- mal version” and “explicit tangential versions” respectively for electromagnetic fields at an arbitrary interface between two anisotropic media. The new versions combine two implicit boundary equations into a single explicit matrix formula and reveal the boundary values linked by a 3 × 3 matrix, which depends on the interface topography and model property tensors. We analytically demonstrate the new versions equivalent to the common implicit boundary conditions and their application to transformation of the boundary values in the boundary integral equations. We also give two synthetic examples that show recovery of the boundary values on a hill and a ridge, and highlight the advantage of the new versions of being a simpler and more straightforward method to compute the electromagnetic boundary values.
Keywords:
Electromagnetic Theory, Electromagnetism, Boubdary Condition, Electric Anisotropy

1. Introduction
The boundary conditions are often expressed in two equations?continuity of the tangential components and discontinuity of the normal components of electromagnetic field intensities
[1] . The former is yielded by applying Stokes’ law to a differential line integral on the interface between two media, and the latter is obtained by applying Gauss’ law to a differential sized cylinder surface containing a section of the interface. This gives two separate and implicit formulae that define “boundary equations” linking the boundary values of the fields in two anisotropic media. Two boundary equations are implicit functions of the interface normal
, electric conductivity and permittivity tensors
, or magnetic permeability tensor
. In isotropic cases, it is not difficult to obtain the explicit formulae of the boundary values because all these tensors reduce to scalars that make the explicit solution straightforward. The difficulty is increased in applying the separate and implicit formulae to anisotropic media and arbitrary interface topography as they do not explicitly give the solutions of the boundary values, so that they must be individually or successively employed in electromagnetic field modeling. In addition, most of numerical modeling techniques, such as finite-difference, finite-element and boundary element methods approximate the boundary values with some numerical schemes, e.g. the finite-difference method often replaces the interfaces with great gradients to produce the “strong solution” of electromagnetic fields [2] . The finite-element method employs combinations of the edge-vectors to approach the field intensities so that the boundary conditions are satisfied at the sampled points [3] . However, the accuracy of the edge-vector approximation depends on the number of the samples of the edge-vectors [4] . Also, these numerical approaches cannot simultaneously produce the complete set of boundary values due to only involving one-side boundary values in the assembled linear equations, and need an explicit formula to recover another side boundary values. In order to simplify the implementation of the boundary conditions or recover whole boundary values at an interface, it is desirable to combine the two separate and implicit equations into a single integrated and explicit formula so that it can be more directly and easily applied to theoretical and numerical electromagnetic anisotropy problems.
This paper derives two new integrated and explicit versions of the boundary conditions, called the explicit “normal” and “tangential” versions respectively. They successfully combine two common implicit boundary equations into a single explicit linear matrix formula without altering their applicability to interfaces that have arbitrary topography and two anisotropic media. These new versions consistently present the boundary values of electromagnetic field intensities
linked by a 3 × 3 matrix, which can be calculated with the known interface topography
and tensors of model electric permittivity
, conductivity
and magnetic permeability
. We analytically demonstrate equivalence of the single matrix formula to two common implicit boundary equations, and show theoretical applications of the new versions to transformation of the boundary values from one-side to another in the boundary integral equation and boundary element approach. In addition, two synthetic experiments of utilizing the new versions are conducted, and show the advantage of the new versions of being a simpler and more straightforward method to recover the whole boundary values at arbitrary interfaces.
2. Boundary Conditions
In the frequency-domain, electric and magnetic field intensities
in anisotropic media satisfy Maxwell’s equations [5]
(1)
where
and
represent the external magnetic and electric current sources supplied by human or natural existence, and
is the complex-valued tensor defined by:
(2)
Here,
represents an angular frequency and 















Applying Equation (1) and its zero-divergences 



Here, the scalar quantities 


The superscripts “−” and “+” stand for the boundary values on the two sides of the interface, and 
In order to remove computational singularities (infinite value) of the external point sources 








These equations demonstrate that the source terms of the secondary fields are 




gences to an interface of two media, and appointing







Here, 








3. Explicit Normal Version
Equation (3) can be rewritten in the following matrix form

where the vectors 





Here, the summation convention over the double subscripts 



where

Multiplying 

where

or

Here, 






Substituting 






This equation corresponds to Equation (7) but explicitly gives the boundary values of the secondary fields. It achieves transformation of the boundary values at an interface.
The explicit boundary conditions for magnetic fields can be obtained by replacing the electric symbols 



From these explicit normal versions, it is apparent that the boundary matrices 
solving the boundary values of the field intensities. With given model property tensors 
normal
In isotropic media, 


This indicates that if there is no difference in model properties, the boundary matrix becomes a unit matrix 


At the air-earth interface, we have 


Specifically, if the electric permittivity of the earth is the same as air, i.e.

It indicates that if the electric field 



4. Explicit Tangential Version
In contrast to the implicit formulae given by Equations (3) and (6), the explicit normal versions of the boundary conditions, e.g. Equations (13) and (18), do not directly indicate continuity of the tangential components of electromagnetic field intensities 


Here, the angles 

where 


The coefficients 











Therefore, Equation (3) can be rewritten in the following forms:

Combining these two equations yields

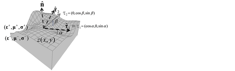
Figure 1. Illustration of three perpendicular vectors 







where

Substituting Equation (26) into Equation (24) results in

and

where

Upon comparing Equations (29) and (30) with Equations (13) and (14), it is apparent that Equation (29) displays the same explicit linear matrix form as Equation (13) but with different boundary matrices



Similarly, substituting 






Equations (29) and (31) can be changed for magnetic field intensity by symbol replacements:


These equations correspond to Equations (4) and (8), or Equations (16) and (17).
At an isotropic interface, 


At the air-earth interface, Equation (30) becomes

and if the media possesses the same electric permittivity as air, i.e.

5. Equivalence of the Different Version
The two integrated and explicit boundary conditions formulated above demonstrate a matrix 

Multiplying the matrix 


Similarly, Equations (15), (16) and (17) can be changed into Equations (7), (4) and (8) respectively. These formulations show that the explicit normal versions are equivalent to two common implicit boundary equations.
Applying the perpendicular properties of the interface vectors to Equation (30), e.g.



Substituting these identities into Equation (29) yields

These equations indicate continuity of the tangential components and discontinuity of the normal components of the electric field intensities. It proves that the explicit tangential versions are also equivalent to two common implicit boundary conditions.
Note that the three interface vectors given by Equation (21) satisfy the following equation

Accordingly, equation (30) may be rewritten as follow

which is the same as Equation (14b). Similarly, substituting Equation (40) for Equations (34), (35) and (36) respectively, they become Equations (18), (19) and (20). Therefore, the explicit tangential versions are equivalent to the explicit normal versions and vice versa as Equation (41) are reversible. Specifically, when the two media have the same electric permittivity


This shows the small imaginary value 
6. Transformation of Boundary Values
The boundary element theory has shown that if there is not any external current source 




Here, 


























We calculate 

which give zero divergences

Applying Equations (44) and (45) to an interface of two anisotropic media, we obtain the boundary conditions of the partial derivatives:

and

Therefore, we have the following integrated and explicit versions of Equations (46) and (47):


where the components of matrices 


Applying Equations (13), (16), (48) and (49) for Equation (43), one can fulfill the transformations of the boundary values from the domain 














7. Synthetic Examples
In order to demonstrate possible applications of the integrated and explicit versions of the boundary conditions, synthetic experiments of a hill and a ridge model have been conducted (see Figure 2 and Figure 4). These models may represent the Earth’s surface, or seafloors, or subsurface interfaces of rocks. The synthetic experiments were only carried out using electric fields 












Figure 2 displays the synthetic results at the air-earth interface of a hill. Three components of the boundary values 










Figure 3 demonstrates three components of the electric current density



Figure 2. Synthetic results of electric fields 


Figure 3. Synthetic results of electric current density 


conductivity 




Figure 4. Synthetic results of electric fields 


Figure 4 demonstrates the synthetic results of a ridge interface that connects two anisotropic media. Similar characteristics to those in Figure 2 are again observed, including discontinuities throughout the vertical components








8. Conclusions
Two new integrated and explicit boundary conditions, termed the “normal” and “tangential” versions, have been presented in this paper for electromagnetic fields at an arbitrary interface between two anisotropic media. These two versions both achieve combination of two implicit boundary equations into a single explicit linear matrix form, and consistently reveal that the boundary values are linked by a 3 × 3 boundary matrix dependent on the interface topography and electric conductivity or magnetic permeability tensors of the media. The normal version shows that the boundary matrix is calculated with the known normal of the interface and model property tensors; while the tangential version indicates that the boundary matrix requires two perpendicular tangential vectors besides the normal of the interface. However, despite these differences, the mathematical equivalence of the two new versions to each other, as well as to the standard implicit boundary conditions is demonstrated. With known normal 





The synthetic examples of a hill and a ridge interface demonstrate possible applications in conversions of the boundary values, and capability of the new versions to arbitrary interfaces that may involve complex topography and anisotropic rocks. These results numerically show continuity of the tangential components and discontinuities of the normal components of electromagnetic field intensities, and continuity of the normal components and discontinuities of the tangential components of electric current densities across the air-earth interface and the boundary of two anisotropic rocks. These synthetic examples also demonstrate that the boundary values of the
Figure 5. Synthetic results of electric current density 


field intensities may change with alterations in topography of the interface, electric conductivity and permittivity tensors, or magnetic permeability tensors. It is shown that with help of the new integrated and explicit versions, the unknown boundary values can be obtained by simply multiplying a boundary matrix with the known boundary values. Therefore, it provides a more straightforward and easier method to transform the boundary values from one domain to another. It is greatly helpful to not only extrapolation of electromagnetic fields with the boundary element approach, but also combination of the boundary element approach with other numerical methods, such as finite-difference, finite-element and integral equation method, because the boundary element approach with the transformed boundary values can offer complementary linear equations to these numerical methods, so that the numerical computations remain in the interesting model domain and the computational dimensions are significantly reduced.
Acknowledgements
This work was supported by a Discovery Project (DP1093110) of the Australia Research Council. The authors thank Mr. Craig Patten for his assistance in using high-performance computing facility at e Research SA in Australia.
References
- Weaver, J.T. (1995) Mathematic Methods for Geo-Electromagnetic Induction. Research Studies Press Ltd., Taunton, Somerset.
- Key, K. and Weiss, C. (2006) Adaptive Finite-Element Modeling Using Unstructured Grids: The 2D Magnetotelluirc Example. Geophysics, 71, G291-G299. http://dx.doi.org/10.1190/1.2348091
- Mukheriee, S. and Everett, M. (2011) 3D Controlled-Source Electromagnetic Edge-Based Finite Element Modeling of Conductive and Permeable Heterogeneities. Geophysics, 76, F215-F226. http://dx.doi.org/10.1190/1.3571045
- Axia, R. (2014) Multi-Order Hexahedral Vector Finite Element Method for 3-D MT Modeling, Including Anisotropy and Complex Geometry. PhD Thesis, Adelaide University, Adelaide.
- Thide, B. (2004) Electromagnetic Field Theory. Upsilon Books, Communa AB, Uppsala.
- Zhdanov, M.S., Varentsov, I.M., Waever, J.T., Golubev, N.G. and Krylov, V.A. (1997) Methods for Modeling Electromagnetic Fields Results from COMMEMI―The International Project on the Comparison of Modeling Methods for Electromagnetic Induction. Journal of Applied Geophysics, 37, 133-271. http://dx.doi.org/10.1016/S0926-9851(97)00013-X
- Helmuth, S. (1995) Two Dimensional Spline Interpolation Algorithms. A. K. Peter Ltd, Wellesley.
- Brebbia, C.A. and Dominguez, J. (1992) Boundary Elements: An Introductory Course. Computational Mechanics Publications, Boston.
- Beer, G., Smith, I.M. and Duenser, C. (2008) The Boundary Element Method with Programming for Engineering and Scientists. Springer Wien, New York.
- Everett, M.E. and Constable, S. (1999) Electric Dipole Fields over an Anisotropic Seafloor: Theory and Application to the Structure of 40Ma Pacific Ocean Lithosphere. Geophysical Journal International, 136, 41-56. http://dx.doi.org/10.1046/j.1365-246X.1999.00725.x






