Psychology
Vol.07 No.02(2016), Article ID:63395,14 pages
10.4236/psych.2016.72019
How Are Parental Reactions to Children’s Emotions Related to Their Theory of Mind Abilities?
Stéphanie Mazzone, Nathalie Nader-Grosbois
Psychological Sciences Research Institute, Chair Baron Frère in Specialized Education, Université Catholique de Louvain, Louvain-la-Neuve, Belgium

Copyright © 2016 by authors and Scientific Research Publishing Inc.
This work is licensed under the Creative Commons Attribution International License (CC BY).
http://creativecommons.org/licenses/by/4.0/


Received 9 December 2015; accepted 11 February 2016; published 14 February 2016
ABSTRACT
In this study, parents’ reactions to their children’s emotions were investigated as correlates of children’s abilities in Theory of Mind (ToM). 175 parents completed questionnaires about their reactions to their children’s emotions. Children’s ToM abilities were assessed by direct measures and a questionnaire completed by mothers. Inter-parental comparisons and intra-parental interactions were explored. The maternal model was significant for children’s ToM-emotions and ToM-thinking. The paternal model was significant for children’s ToM-beliefs. Maternal supportive reactions (SR) to positive emotions were related to children’s ToM-emotions and ToM-thinking. Moreover, maternal non-supportive reactions (NSR) to negative emotions were negatively associated with children’s ToM-thinking. The interaction between paternal SR to children’s positive emotions and a low level of NSR to positive emotions was associated with a high level of ToM- beliefs. The results suggest that exploring the parental gender effect and the combined effects of parental reactions is useful for understanding children’s ToM development.
Keywords:
Socialization of Emotions, Parental Reactions to Children’s Emotions, Theory of Mind, Preschoolers

1. Introduction
Starting kindergarten is a challenge for children, because they have to adapt to a new social environment that requires the learning of a set of social competences, including the mobilization of Theory of Mind (ToM) abilities ( Deneault & Morin, 2007; Flavell, 1999 ; Mitchell, 1996; Nader-Grosbois, 2011 ). In this preschool period, children become able to understand their own mental states, to take others’ perspective and to infer other people’s mental states in order to adjust their social behavior (Astington, 1996; Flavell, 1999; Baron-Cohen, 2001) . These mental states may be more “affective”, such as emotions and desires, or more “cognitive”, such as beliefs, thinking, intentions, perception, attention, knowledge and pretense. According to the socio-constructivist Vygotskian approach of ToM, parents can help children to elaborate a ToM through their interactions with them, by sharing their knowledge and giving explanations about “affective” and “cognitive” mental states (Astington, 1996; Symons, 2004) . Consequently, researchers and psychologists are interested in studying aspects of children’s family environment that could foster their abilities in ToM, in order to guide parents in their educational practices.
The present study focused on parental reactions to children’s emotions and sought to discern the effect of these reactions on children’s ToM abilities related to both “affective” and “cognitive” mental states. Recent studies have explored individual and family characteristics that could be related to the development of children’s understanding of emotions (ToM-emotions) (Fabes, Poulin, Eisenberg, & Madden-Derdich, 2002; Labounty, Wellman, Olson, Lagattuta, & Liu, 2008; McElwain, Halberstadt, & Volling, 2007) . These studies have emphasized the importance of understanding a) how parents react to their children’s emotions, b) how they talk about emotions, and c) how they express their emotions themselves, in order to explore how they contribute to their children’s emotional competences. The heuristic Parental Socialization of Emotions (PSE) model devised by Eisenberg, Cumberland and Spinrad (1998: pp. 241-243) suggests that emotion-related parental behaviors (reactions, discussions with their children, expression) may affect children’s social and emotional competences. This study focused specifically on mothers’ and fathers’ reactions to positive and negative emotions (PE and NE) expressed by their children. As most authors differentiate between supportive reactions (SR) and non-supportive reactions (NSR) (e.g., Eisenberg, Fabes, & Murphy, 1996; Fabes et al., 2002; Jones, Eisenberg, Fabes, & MacKinnon, 2002; McElwain et al., 2007; Pears & Moses, 2003) (see Table 1), we investigated these two types of reactions in each parent to PE and NE felt by their child.
These studies generally suggested that parents who react in a supportive way may foster their children’s ToM abilities, whereas parents who react in a non-supportive way may impede this development. For instance, parents, mostly mothers, who use SR help their children to learn how to differentiate more clearly between different emotional states, whereas punitive or dismissive reactions may lead children to regard their own emotions and those of others as threatening (Eisenberg et al., 1998; Denham & Kochanoff, 2002; Fabes, Leonard, Kupanoff, & Martin, 2001; Fabes et al., 2002) . In addition, the study of Denham, Zoller and Couchoud (1994) showed that mothers’ positive responses to their children’s emotions are positively correlated with their children’s abilities in
Table 1. Categorization of supportive and non-supportive reactions.
Note: SR = supportive reactions, NSR = non-supportive reactions.
ToM-emotions, including the recognition of facial expressions, reference to internal emotional states, and the understanding of causes of emotions. McElwain et al. (2007) confirmed this result by assessing the unique and joint contribution of maternal and paternal reactions to children’s abilities in ToM related to “affective” mental states (mixed-emotion understanding) and “cognitive” mental states (understanding of false beliefs and individuals’ emotions related to their understanding of beliefs). In their study, the authors tested three different models. The first one, the “additive model”, observed whether the contributions of mothers’ and fathers’ reactions to their child’s ToM abilities are cumulative. The second one, the “buffering model”, tested whether a high level of support reported by one parent may buffer the negative effect of a low level of support reported by the other parent. The third one, the “divergence model”, examined whether the contributions of mothers’ and fathers’ reactions to their children’s ToM abilities are optimal when parents report different levels of support. Their results seem to favor the “divergence model”, emphasizing that children may benefit more when parents differ in their reactions (i.e. when one parent reports a high level of support and the second parent reports a low level of support).
In summary, these studies revealed several links between parental reactions to their children’s emotions and the children’s ToM abilities, but, according to the PSE model, children’s characteristics (e.g., age, sex, temperament) and parents’ characteristics (e.g., values, emotionality) could influence the way in which parents react toward their children’s emotions. Most studies indicated that children’s age (Cassano, Perry-Parrish, & Zeman, 2007; Eisenberg et al., 1996, Eisenberg, Fabes, Shepard, Guthrie, Murphy, & Reiser, 1999; Fabes et al., 2001) and gender (Cassano et al., 2007; Eisenberg et al., 1999; Fabes et al., 2001; Jones et al., 2002; McElwain et al., 2007; Wong, McElwain, & Halberstadt, 2009) influence parents’ reactions to their children’s emotions. In their longitudinal study, Eisenberg and colleagues (1999) looked at changes in distinct parental reactions over time, depending on their children’s age. Parents’ distress toward NE felt by their children was found to increase with children’s age (from 4 to 12 years old). Punitive parental responses increased from ages 4 - 6 to 6 - 8, decreased from 6 - 8 to 8 - 10 and then increased again from 8 - 10 to 10 - 12. Parental minimizing responses decreased for children aged from 4 to 10 years and then increased at 10 - 12 years old. As girls and boys express their emotions differently (see Chaplin & Aldao, 2013 for a meta-analytic review), children’s gender may affect the way in which parents react to their emotions. Some studies have found an effect of children’s gender on parental reactions (Cassano et al., 2007) , while others have concluded that there is no such effect (Eisenberg et al., 1999; McElwain et al., 2007; Wong et al., 2009) .
In terms of parents’ characteristics, the literature singles out gender as a factor affecting emotion socialization behaviors (Cassano et al., 2007; Eisenberg et al., 1996; Engle & McElwain, 2011; Hughes & Gullone, 2010; McElwain et al., 2007; Wong et al., 2009) . Studies have shown that fathers display more NSR to NE than mothers (Hughes & Gullone, 2010; McElwain et al., 2007; Wong et al., 2009) , notably punitive and minimizing reactions (Eisenberg et al., 1996; Engle & McElwain, 2011; Cassano et al., 2007) . As suggested by Engle and McElwain (2011) , a higher level of paternal NSR may be due to the fact that fathers have fewer opportunities to respond to their children’s NE than mothers. It could also be due to the different ways in which fathers and mothers interact with their children (Lamb & Lewis, 2004) .
All of these studies have improved our understanding of the role of parental reactions in children’s ToM development and of profiles of SR and NSR displayed by parents. However, these studies have some limitations. Most do not distinguish the subcategories of SR and NSR and focus on reactions toward NE expressed by children, without taking into account reactions toward their PE. Fathers are rarely included in research on parental reactions. Few studies, with the notable exception of McElwain et al. (2007) , focus on both “affective” and “cognitive” ToM in links with paternal and maternal reactions toward children’s emotions. Although the moderating effect of parents’ and children’s characteristics has often been explored, few studies have investigated the moderating effect of NSR on SR and vice versa. We were unable to discover any studies examining whether the relation between, for example, maternal SR toward NE and children’s ToM abilities are moderated by maternal NSR toward NE. Given the complexity of ToM development in preschoolers, it is unlikely that only one kind of reaction supports this development. It therefore seems important to explore the interactions between intra-parental reactions and how these relate to children’s ToM abilities.
2. Objectives of the Study
Guided by the PSE model and previous studies, our study had two objectives. The first was to examine maternal and paternal reactions to children’s NE and PE by considering each subcategory of SR and NSR. We also verified how these reactions vary according to children’s gender and age. We expected that mothers would display more SR, such as comforting or encouragement, and fewer NSR, such as punitive or minimizing reactions, than fathers. Given the contradictory results of previous studies concerning the variability of parents’ reactions according to children’s gender, we did not have specific hypotheses. Concerning the variability depending on children’s age, we expected that NSR such as distress, or punitive or minimizing reactions would vary while SR would not vary. The second objective was to compare inter-parental effects by examining whether maternal and paternal reactions to children’s NE and PE were associated with children’s ToM abilities related to both “affective” (ToM-emotions) and “cognitive” mental states (ToM-thinking and ToM-beliefs). We did not restrict ourselves to ToM-emotions as a children’s outcome because we supposed, by the way of the transfer effect, that parental reactions to their children’s emotions might also affect children’s understanding of other mental states. Moreover, we examined the dynamic between specific parental reactions within maternal and paternal profiles (intra-parental analyses). Although this intra-parental dynamic has not been previously explored, we considered that it might be interesting to explore whether maternal and paternal SR and NSR to children’s NE and PE interact to socialize children’s ToM abilities. Given the lack of previous research and the exploratory nature of these analyses, we did not have specific hypotheses, but it was conjectured that the development of ToM in children was not supported by one kind of reaction alone.
3. Method
3.1. Participants
From 204 families recruited in French-speaking Belgian schools, we selected 175 families for which there were no missing data regarding the children or the parents. Comparisons between the families included vs. excluded from the study revealed no differences between the two groups in demographic variables. The children (87 girls and 88 boys), were aged between 2 years and 9 months and 6 years and 1 months (M = 4.55; SD = 0.76), with an average developmental age of 5 years (SD = 2.12) assessed by means of the Differential Scales of Intellectual Efficiency-Revised edition, EDEI-R, Perron-Borelli, 1996 ). The participants were predominantly Caucasian. The children’s inclusion criteria were an elementary comprehension and production of spoken French. The exclusion criteria were developmental delay, intellectual disabilities or behavioral disorders. On average, the fathers were 38 years old (SD = 4.96), and the mothers 35 years old (SD = 4.51). Both mothers and fathers had a high level of education: in most cases either graduate school (35.1% of fathers, 43.9% of mothers), or university level (44.7% of fathers, 48.2% of mothers). Regarding family constellation, the majority of children lived with both their biological parents (96.2%). During the week, time spent with the children varied for each parent. In most cases it fell into one of the following categories: 1 - 2 hours per day (16.3% of fathers and 5.1% of mothers), 3 hours per day (31.6% of fathers and 26.3% of mothers), 4 hours per day (30.6% of fathers and 33.3% of mothers), or 5 hours per day (10.2% of fathers and 21.2% of mothers). During the weekend, the majority of fathers (84.7%) and mothers (94.9%) spent more than six hours per day with their child.
3.2. Procedure
In each school, the principal and teachers were informed about the research project. The teachers gave parents an information letter about the project and consent forms for their participation. Parents were informed that they could withdraw from the research at any time. Firstly, parents signed the consent form. Secondly, children were tested at school (two or three 30-minute sessions) by a psychologist or a trained psychology student and mothers and fathers completed the questionnaires independently. After their participation, parents received a brief report including observations and results of their child’s assessment.
3.3. Measures
3.3.1. ToM-Emotions Tasks (Nader-Grosbois & Thirion-Marissiaux, 2011)
These tasks assessed the child’s recognition and understanding of causes and consequences of emotions.
1) The preliminary task of facial emotional expression (FEE) recognition. This task aimed to ensure that the child was able to recognize the four basic emotions (joy, sadness, anger and fear). Children’s FEE recognition is a necessary condition to be set ToM-emotions tasks.
2) The causes of emotions task. In this task, the child had to understand the emotion felt by the protagonist of a story according to the situation with which he or she was confronted. Four stories (related to the four basic emotions) were told to the child. Each story began with the same two pictures (“three friends go on a picnic in the forest”), while the end of the script (a third picture) varied in order to elicit an appropriate response according to the emotional coloring in the script: joy (friends ate the picnic); sadness (picnic was cancelled because of rain); fear (fierce dog approached the picnic); or anger (picnic was ruined by two friends). For each script, firstly, the experimenter narrated the script (the faces of the protagonists being left blank) and secondly, the participant was asked to attribute an emotion to the main protagonist by pointing to the most appropriate of the four FEE. The response to each emotional script was scored between 0 and 1.5 points according to the participant’s justification (0 = false FEE, non-justified or incoherent justification; 0.5 = false FEE, coherent justification; 1 = correct facial emotional expression, non-justified or incoherent justification; 1.5 = correct FEE, coherent justification). The maximum score was 6 points in this task.
3) The consequences of emotions task. In this task, according the emotion felt by the protagonist in the story, the child had to predict his behavior. As in the previous task, four stories (related to the four basic emotions) were told to the child. Each story was illustrated by two pictures including: joy (receiving a gift); sadness (a pet’s death); fear (imagining monsters in bedroom at night) and anger (conflict between friends). For each script, firstly, the experimenter recounted the beginning of the script (two pictures), specifying the protagonist’s emotion, and secondly, the participant was asked to choose the protagonist’s behavior to finish the script, by selecting one of three pictures. These illustrated an adjusted social behavior, a maladjusted social behavior or a neutral behavior. The response to each emotional script was scored between 0 and 1.5 points according to the participant’s justification (0 = socially maladjusted or neutral behavior, non-justified or incoherent justification; 0.5 = socially maladjusted or neutral behavior, coherent justification; 1 = socially adjusted behavior, non-justified or incoherent justification; 1.5 = socially adjusted behavior, coherent justification). The maximum score was 6 points in this task.
A recently created computer version of this tool was used in this study. The factor analysis revealed two subscales (causes and consequences) which were found in the original version. Cronbach’s alpha was 0.57, and the test-retest stability was highly significant for the two subscales (between 0.56 and 0.68). The Pearson coefficient for inter-rater reliability for the original version was 0.96 (p < 0.01).
3.3.2. ToM-Beliefs Tasks (Nader-Grosbois & Thirion-Marissiaux, 2011)
These tasks assessed children’s understanding of the mental state “belief”.
1) The deception skills test (Oswald & Ollendick, 1989) assessed the child’s ability to trick his opponent (the adult) about the location of a small object hidden in one of his hands.
2) The change of representation task (Flavell, Everett, Croft, & Flavell, 1981) assessed the child’s ability to adopt the visual perspective of the adult sitting opposite him or her.
3) The appearance-reality task (Flavell, 1986) assessed the child’s ability to distinguish the appearance of an object from the real object (for example, a flashlight which looks like a mobile phone).
4) The unexpected content task (Perner, Leekam, & Wimmer, 1987) assessed the child’s ability to understand that he or she had been tricked by the adult about his or her belief about the contents of a prototypical box (a Smarties box that contained pencils) but also to understand that other people can be tricked in the same way.
5) The change of location task (Wimmer & Perner, 1983) assessed the child’s ability to predict the doll’s behavior given her false belief: the story concerned a doll who believed that a desirable object (chocolate) was in one location when, as the child knew, it was actually in another location. In order to verify that the child had not hit by chance on the correct response to the test question “Where will X look for this chocolate first?”, he or she also answered two control questions: a memory question (“Where was the chocolate in the beginning?”) and a reality question (“Where is the chocolate now?”). These control questions were not scored.
The five ToM-beliefs tasks were scored out of a total of five points (one point for each task). For the validation of this tool, the inter-judge percentage validation was between 99% and 100%, Cohen’s Kappa was between 0.98 and 0.99, and the Pearson correlation coefficient (inter-judges) was between 0.99 and 1. No difference between test and retest session was observed (r = 1.0).
3.3.3. Parental Reactions to Positive and Negative Emotions Questionnaire (Daffe & Nader-Grosbois, 2009)
This questionnaire is a combined version of the “Questionnaire sur les Réactions Parentales aux Emotions Positives exprimées par l’Enfant” (QRPEPE, Ladouceur et al., 2002 ) and the “Coping with Children’s Negative Emotions Scale” (CCNES, Fabes, Eisenberg, & Bernzweig, 1990 ; French version, Coutu et al., 2002 ). This version contained eight hypothetical scenarios in which a child experiences a NE (fear, sadness or anger) or a PE (happiness). Five scenarios illustrating sadness, anger and fear came from the CCNES and two scenarios illustrating joy came from the QRPEPE. In addition, as there was no scenario illustrating anger in the CCNES, one was designed, so that the integrated questionnaire included two scenarios for each basic emotion. For the negative scenarios, six alternative parents’ reactions were proposed: comforting, encouraging expression of emotion, focusing on the problem, distress, minimizing responses and punitive responses. For the scenarios illustrating happiness, four types of parental reaction were proposed: socialization, encouragement, reprimand and discomfort. Using a 7-point scale ranging from “very unlikely” to “very likely”, the parent was asked to rate the likelihood of displaying each of these possible reactions to the scenario. The measure was validated on 328 parents (297 mothers and 31 fathers). We were able to use the score for each strategy or the score on two subscales (supportive reactions and non-supportive reactions), as revealed by the factor analysis for negative emotions, with Cronbach’s alpha values of 0.78 and 0.81 respectively.
3.3.4. Theory of Mind Inventory-French Version (ToMI, Hutchins, Prelock, & Bonazinga, 2012 ; French Version, Houssa, Mazzone, & Nader-Grosbois, 2014 )
This questionnaire of 39 statements is a measure of adults’ perception of children’s ToM abilities (e.g., “My child understands that people can lie to purposely mislead others”). The ToMI assess several components of ToM relating to different mental state: emotions, beliefs and false beliefs, desire, intention, pretense, empathy, etc. Caregivers indicate their degree of agreement with each statement concerning their children by placing the appropriate vertical mark along a continuum ranging from 0 (“definitely not”) to 20 (“definitely”). In this study, the ToMI was completed by one of the two parents (mostly mothers). The ToMI has been used previously with a similar population (Houssa, Nader-Grosbois, & Jacobs, 2013) but also with an atypical population (Hutchins, Prelock, & Bonazinga, 2012) . The validation of the French version matched that of the original version. The Cronbach’s alpha was 0.94, and the coefficient of test-retest stability was very significant (r = 0.86). In the validation study (Houssa et al., 2014) , the factor analysis emphasized three factors for which Cronbach’s alpha varied from 0.72 to 0.94. The first one, called “ToMI-emotions” (12 items), referred to the “affective” mental states of emotions and desires. The second one, named “ToMI-thinking” (19 items), referred to the “cognitive” mental states of thinking, intentions relating to morality and knowledge. The third one, “ToMI-beliefs” (8 items), corresponded to the “cognitive” mental states of beliefs and intentions that guide behavior.
3.4. Statistical Analysis
First, descriptive statistics analyses (means, standard deviations) and inter-correlations for all measures have been applied. Then, in order to examine whether parental reactions differ between mothers and fathers or according to their children’s gender, univariate ANOVAs were conducted. Moreover, linear regression analyses examine children’s age as a predictor variable of parental reactions. The relations between parent’s reactions to children’s emotions and children’s ToM abilities were analyzed using hierarchical regression models. Finally, to explore intra-parental analyses, we entered interaction terms in the model and followed up significant results with analyses of simple slopes, as recommended by Aiken and West (1991) .
4. Results
4.1. Preliminary Analyses
Table 2 indicates means and standard deviations for all measures and Table 3 presents inter-correlations among these measures. No significant results were found for ToM-emotions and ToM-beliefs tasks. These variables were therefore not considered further.
4.2. Profiles of Maternal and Paternal Reactions and Variability According to Children’s Gender and Age
To examine whether parents’ SR and NSR to PE and NE differ between mothers and fathers or according to their children’s gender, we used univariate ANOVAs. The results showed a significant main effect of parent
Table 2. Means and standard deviations for all measures.
Note. M = mean, SD = standard deviation, ToM = Theory of Mind, SR = supportive reactions, NSR = non-supportive reactions, NE = negative emotion, PE = positive emotions.
gender, indicating that mothers reported more SR-NE, F (1, 346) = 22.445, p = 0.000, and less NSR-NE, F (1, 346) = 26.296, p = 0.000, than fathers (see Table 2 for means). More precisely, similar analyses conducted on specific reactions revealed that mothers reported more “problem-focused reactions”, F (1, 346) = 25.056, p = 0.000, and “encouragement of expression of emotions”, F (1, 346) = 25.566, p = 0.000, and less “punitive reactions”, F (1, 346) = 20.798, p = 0.000, and “minimizing responses”, F (1, 346) = 24.725, p = 0.000, than fathers (see Table 2 for means). No main effect was found for parents’ SR-PE and NSR-PE and in no case was there a significant main effect for children’s gender.
To analyze whether parental reactions vary depending on their children’s age, we applied linear regression analyses with children’s age as the predictor variable and each maternal and paternal reaction as an outcome variable. No significant results were obtained. Children’s age was therefore not added as a covariate in subsequent analyses.
Table 3. Inter-correlations between all measures.
Note. *p < 0.05, **p < 0.01, ToM = Theory of Mind, SR = supportive reactions, NSR = non-supportive reactions, NE = negative emotion, PE = positive emotion.
4.3. Parents’ Reactions to Their Children’s Emotions as Correlates of Children’s ToM Competences
To explore the interactions between the intra-parental reactions and their associations with children’s ToM abilities, several hierarchical regression models were tested. We used two separate models to analyze maternal and paternal reactions independently. For the two models, SR and NSR were entered in Step 1, and the two-way interaction terms were added in Step 2. To maximize interpretability and to minimize problems of multicollinearity, scores for each of the predictor variables were centered (raw score minus the mean) (Aiken & West, 1991) .
4.3.1. Mothers’ Reactions to Children’s Emotions
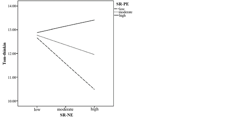
As shown in Table 4, the model was significant for children’s ToM abilities related to mental states of emotions and thinking. For ToMI-emotions, the predictors entered in Step 1 were significant and accounted for 6% of the variance (ΔF (4, 170) = 2565, p < 0.05). Moreover, SR-PE made a unique contribution. The increments in variance in Step 2 were non-significant. Concerning ToMI-thinking, the predictors entered in Step 1 were significant and accounted for 6% of the variance (ΔF (4, 170) = 2698, p < 0.05). Moreover, NSR-NE and SR-PE contributed together. The two-way interaction terms (SR-NE X NSR-NE, SR-NE X SR-PE, SR-NE X NSR-PE, NSR-NE X SR-PE, NSR-NE X NSR-PE, SR-PE X NSR-PE) added in Step 2 approached significance, (ΔF (6, 164) = 2000, p = 0.069), and accounted for an additional 6% of the variance in ToMI-thinking abilities. In addition, only SR-NE X SR-PE made a unique contribution. To better interpret these marginally significant two-way interactions, we conducted follow-up analyses. We plotted the association between maternal SR-NE and children’s ToMI-thinking abilities, at low, moderate and high levels of maternal SR-PE. Moreover, simple slope analyses (using the PROCESS tool by Andrew Hayes, 2013 ) were conducted.
As shown in Figure 1, maternal SR-NE related negatively to higher levels of ToMI-thinking for mothers with a low level of SR-PE only, and this slope was marginally significant (β = −1.54, p < 0.01). For mothers with moderate (β = −0.58) or low (β = 0.38) levels of SR-PE, the slopes were not significant. We also estimated the regions of significance with the Johnson-Neyman method (1936) . The results indicated that the association between maternal SR-NE and ToMI-thinking was significant (p < 0.05) when maternal SR-PE (centered score, M = 0, SD = 0.80) was within the range from −2.60 to −0.13.
4.3.2. Fathers’ Reactions to Children’s Emotions
As shown in Table 4, the model was significant for children’s ToM abilities related to the mental state of beliefs.
Figure 1. Association between children’s ToMI-thinking and maternal SR-NE as a function of high, moderate, and low levels of maternal SR-PE.
Table 4. Maternal and paternal reactions as correlates of children’s ToM competences.
Note. *p < 0.10, **p < 0.05, ***p < 0.01, ToM = Theory of Mind, SR = supportive reactions, NSR = non-supportive reactions, NE = negative emotion, PE = positive emotions.
The predictors entered in Step 1 were not significant, but in Step 2 the two-way interaction terms accounted for an additional 7% of the variance in ToMI-beliefs abilities (ΔF (6, 164) = 2.084, p < 0.05). Moreover, only SR-PE X NSR-PE made a unique contribution. To better interpret these significant two-way interactions, analyses similar to those applied for the maternal model were conducted. We plotted the association between paternal SR-PE and children’s ToMI-beliefs abilities, at low, moderate and high levels of paternal NSR-PE. Moreover, simple slope analyses were conducted.
As shown in Figure 2, paternal SR-PE was related to higher levels of ToMI-beliefs for fathers with a low level of NSR-PE only, and this slope was marginally significant (β = 0.37, p = 0.09). For fathers with moderate (β = 0.05) or high (β = −0.27) levels of NSR-PE, the slopes were not significant. Further, in estimating the regions of significance, we found that the association between paternal SR-PE and ToMI-beliefs was significant (p
Figure 2. Association between children’s ToMI-beliefs and paternal SR- PE as a function of high, moderate, and low levels of paternal NSR-PE.
< 0.05) when paternal NSR-PE (centered score, M = 0, SD = 1.05) was within the range from −2.15 to −1.52.
5. Discussion
Preschoolers’ ToM abilities develop through their social interactions (Astington, 1996; Hughes, 2011; Symons, 2004) , notably within the family context, where they learn about their own and other people’s mental states, especially through parents’ emotion-related behaviors, including the way in which their parents react to their emotions (Eisenberg et al., 1998) . The current study investigated maternal and paternal reactions as correlates of children’s abilities in ToM. Our first objective was to examine the reactions displayed by mothers and fathers independently and the variability of those reactions according to children’s gender and age. In our study, as was postulated in the first hypothesis, mothers reported more SR and fewer NSR to their children’s NE than fathers. In particular, mothers used more strategies which helped children to find a way to manage their emotions or a stressful situation (“problem-focused reaction”) and to express their emotions (“encouragement of expression of emotions”). Regarding NSR, mothers used fewer strategies that controlled (“punitive reactions”) or minimized (“minimizing responses”) the legitimacy of children’s emotional experience than fathers. This gender difference in parental emotion-related behavior has also been observed in previous studies (Cassano et al., 2007; Eisenberg et al., 1996; Hughes & Gullone, 2010; McElwain et al., 2007; Wong et al., 2009) . As suggested by Dunsmore and Halberstadt (1997) , these differences within maternal and paternal profiles could benefit children because they may add to their emotional schema, making them aware that people differ in their reactions toward emotional situations. Therefore, children adjust more readily when they are confronted with peers displaying different reactions. Concerning variability according to children’s age, contrary to our expectations, our results indicated that parental reactions did not vary depending on children’s age, suggesting that parental reactions to children’s PE and NE are stable during the preschool years. Moreover, surprisingly, we did not find any significant children’s gender effect on parental reactions to children’s emotions.
In order to compare inter-parental effects, two hierarchical regression models were tested in which parents’ reactions were analyzed independently. Moreover, to analyze the intra-parental interaction between their reactions, we tested the potential moderating effect of specific parents’ reactions on other parents’ reactions. Contrary to our expectations, we did not find any significant results with direct measures of children’s ToM abilities, although we did find some significant results in terms of parents’ perception of their children’s abilities in ToM. One explanation for this may be that our indirect measure was more discriminating than our direct measures, as the ToMI has a range of items assessing numerous mental states related to first-order and second-order ToM. Moreover, this difference in results between direct and indirect measures may mean that parents adapt their reactions to their own perception of children’s ToM abilities. In line with previous studies (Denham et al., 1994; McElwain et al., 2007) , our results emphasized that mothers’ SR-PE was related to high levels in ToMI-emotions and ToMI-thinking. This result confirmed that when mothers display SR, such as encouragement or socialization, children are more likely to explore the meaning of emotions and so to understand their own and other people’s mental states. Moreover, mothers’ NSR-NE was negatively associated with high levels in ToMI-thinking. With regard to our intra-parental interaction hypothesis, the interaction between maternal SR-NE and a low level of SR-PE was marginally significant, indicating that SR-NE displayed by mothers are negatively associated with children’s ToMI-thinking if they display a low level of SR-PE. Moreover, the intra-parental interaction hypothesis is supported by the results obtained for the paternal model. Here, we did not find any significant main effect of SR or NSR, but we did obtain a significant interaction effect between paternal SR-PE and a low level of NSR-PE, indicating that SR-PE displayed by fathers supports children’s abilities in ToMI-beliefs if they display a low level of NSR-PE. The comparison between maternal and paternal profiles showed that mothers and fathers socialize different mental states related to ToM, and not only “affective” mental states. Our findings seem to show that mothers tend to socialize children’s ToM related to emotions and thinking while fathers tend to socialize children’s ToM related to beliefs. This result confirms our hypothesis of a transfer effect of parental reactions to children’s emotions onto the understanding of “cognitive” mental states in these children. The intra-parental analyses showed that it is not only one category of parental reactions that supports children’s ToM abilities, but the interactive effects within maternal and paternal profiles.
Given the discriminated results, the current study contributes to the literature showing the relevance of taking into account the effects of both parents’ reactions on children’s emotional development (e.g. Cassano et al., 2007; Eisenberg et al., 1999; McElwain et al., 2007; Shewark & Blandon, 2015 ). Moreover, this study also adds to a growing literature that emphasizes interactive effects of parental reactions (McElwain et al., 2007; Shewark & Blandon, 2015) and differentiated effects of parental reactions to children’s NE and PE (Nader-Grosbois & Daffe, 2013; Shewark & Blandon, 2015) on children’s social and emotional development. Finally, the links obtained between parents’ reactions and parents’ perceptions of their children’s ToM abilities suggest that there is a bidirectional association between these variables (Burke, Pardini, & Loeber, 2008; Eisenberg et al., 1999; Morris, Silk, Steinberg, Myers & Robinson, 2007) .
Limitations and Future Directions
One limitation of the present study is that we used the same reporter for both measures, inducing a problem of shared variance and biases related to informant. Attempts should be made to replicate the findings with other assessment procedures, for example with a multi-informant method, which could limit the shared-method variance due to the exclusive use of parent-report data (Podsakoff, 2003) and reduce biases related to informant (Roskam, Meunier, & Stievenart, 2013) . Another limitation concerns the parental level of education, which was relatively high (graduate school or university). Consequently our findings cannot be generalized to at-risk populations. Our study needs to be reproduced for families with a lower level of education or lower socioeconomic status in order to observe if the results are consistent. Moreover, future studies should be conducted in atypical populations, such as children with an intellectual disability or an autistic spectrum disorder and their parents. There is a great need for studies of PSE in children with special needs. Based on previous studies, we proposed an adapted PSE model that may guide future studies (Figure 3).
Our heuristic model suggests the importance of testing similar hypotheses with the component of parental conversations about emotions as an independent variable, but also, the need to conduct longitudinal studies to examine the bidirectional associations between parental emotion-related behavior and children’s emotional development in taking into account the potential moderator effect of parents’ and children’s characteristics. In our model, we consider the degree of parents’ emotional expression as a parental characteristic and not as a fully-fledged component of socialization behaviors. Indeed, parental expressivity is generally regarded as a component of parenting style, rather than a specific parenting practice. This variable therefore creates an emotional climate that may moderate the relation between parenting practice and children’s development (Darling & Steinberg, 1993; Morris et al., 2007) .
Despite these limitations, this study provides an overview of how parental reactions to their children’s emotions are related to ToM abilities at preschool age. Our exploratory hypothesis allowed us to note that it is important to take into account the interaction between parent’s reactions, and not only the main effect of each reaction. Furthermore, our inter-parental results highlight the relevance of considering mothers and fathers as two
Figure 3. Our adapted model (2014).
different socializers of children’s ToM abilities. It seems to be crucial for parents to be made aware of their own reactions to their children’s emotions, so that they can adapt these reactions in order to support their children’s emotional development. Psycho-educative training programs have been developed to improve PSE practices. One such program gives parents group training in emotional coaching. Another program provides individualized guidance using video feedback in order to help parents to identify and improve their own PSE practices. Whatever the parental program proposed, it seems to be crucial to include both parents and to be aware of the gender effect on children’s ToM abilities.
Acknowledgements
The study presented in this paper was led with the support of the Chair Baron Frère in Special Education of the Foundation Louvain of the Catholic University of Louvain, Louvain-la-Neuve.
Cite this paper
StéphanieMazzone,NathalieNader-Grosbois, (2016) How Are Parental Reactions to Children’s Emotions Related to Their Theory of Mind Abilities?. Psychology,07,166-179. doi: 10.4236/psych.2016.72019
References
- 1. Aiken, L. S., & West, S. G. (1991). Multiple Regression: Testing and Interpreting Interactions. Newbury Park, CA: Sage Publications.
- 2. Astington, J. W. (1996). What Is Theoretical about the Child’s Theory of Mind? A Vygotskian View of Its Development. In P. Carruthers & P. K. Smith (Eds.), Theories of Theories of Mind (pp. 184-199). Cambridge: Cambridge University Press.
http://dx.doi.org/10.1017/CBO9780511597985.013 - 3. Baron-Cohen, S. (2001). Théorie de l’esprit, développement normal et autisme. Prisme, 34, 174-183.
- 4. Burke, J., Pardini, D., & Loeber, R. (2008). Reciprocal Relationships between Parenting Behavior and Disruptive Psychopathology from Childhood through Adolescence. Journal of Abnormal Child Psychology, 36, 679-692.
http://dx.doi.org/10.1007/s10802-008-9219-7 - 5. Cassano, M., Perry-Parrish, C., & Zeman, J. (2007). Influence of Gender on Parental Socialization of Children’s Sadness Regulation. Social Development, 16, 210-231.
http://dx.doi.org/10.1111/j.1467-9507.2007.00381.x - 6. Chaplin, T. M., & Aldao, A. (2013). Gender Differences in Emotion Expression in Children: A Meta-Analytic Review. Psychological Bulletin, 139, 735-765.
http://dx.doi.org/10.1037/a0030737 - 7. Coutu, S., Dubeau, D., Provost, M. A., Royer, N., & Lavigueur, S. (2002). Validation de la version française du questionnaire: Coping with Children’s Negative Emotions Scale—CCNES. Canadian Journal of Behavioural Science/Revue Canadienne des Sciences du Comportement, 34, 230-234.
http://dx.doi.org/10.1037/h0087175 - 8. Daffe, V., & Nader-Grosbois, N. (2009). Réactions parentales face aux émotions de leur enfant: Adaptation intégrée de deux instruments. In N. Nader-Grosbois (Ed.), Résilience, régulation et qualité de vie: Concepts, évaluation et intervention (pp. 143-159). Louvain-la-Neuve: Presses Universitaires de Louvain.
- 9. Darling, N., & Steinberg, L. (1993). Parenting style as context: An integrative model. Psychological Bulletin, 113, 487-496.
http://dx.doi.org/10.1037/0033-2909.113.3.487 - 10. Deneault, J., & Morin, P. (2007). La Théorie de l’esprit: Ce que l’enfant comprend de l’univers psychologique. In S. Larivée (Ed.), L’intelligence. Tome 1. Les approches biocognitives, développementales et contemporaines (pp. 154-162). Montréal: ERPI.
- 11. Denham, S. A., Zoller, D., & Couchoud, E. A. (1994). Socialization of Preschoolers’ Emotion Understanding. Developmental Psychology, 30, 928-936.
http://dx.doi.org/10.1037/0012-1649.30.6.928 - 12. Denham, S., & Kochanoff, A. T. (2002). Parental Contributions to Preschoolers’ Understanding of Emotion. Marriage & Family Review, 34, 311-343.
http://dx.doi.org/10.1300/J002v34n03_06 - 13. Dunsmore, J. C., & Halberstadt, A. G. (1997). How Does Family Emotional Expressiveness Affect Children’s Schemas? New Directions for Child and Adolescent Development, 1997, 45-68. http://dx.doi.org/10.1002/cd.23219977704
- 14. Eisenberg, N., Cumberland, A., & Spinrad, T. L. (1998a). Parental Socialization of Emotion. Psychological Inquiry, 9, 241-273.
http://dx.doi.org/10.1207/s15327965pli0904_1 - 15. Eisenberg, N., Fabes, R. A., & Murphy, B. C. (1996). Parents’ Reactions to Children’s Negative Emotions: Relations to Children’s Social Competence and Comforting Behavior. Child Development, 67, 2227-2247.
http://dx.doi.org/10.2307/1131620 - 16. Eisenberg, N., Fabes, R. A., Shepard, S. A., Guthrie, I. K., Murphy, B. C., & Reiser, M. (1999). Parental Reactions to Children’s Negative Emotions: Longitudinal Relations to Quality of Children’s Social Functioning. Child Development, 70, 513-534.
http://dx.doi.org/10.1111/1467-8624.00037 - 17. Engle, J. M., & McElwain, N. L. (2011). Parental Reactions to Toddlers’ Negative Emotions and Child Negative Emotionality as Correlates of Problem Behavior at the Age of Three. Social Development, 20, 251-271.
http://dx.doi.org/10.1111/j.1467-9507.2010.00583.x - 18. Fabes, R. A., Eisenberg, N., & Bernzweig, J. (1990). The Coping with Children’s Negative Emotion Scale: Procedure and scoring. Tempe, Arizona State University.
- 19. Fabes, R. A., Leonard, S. A., Kupanoff, K., & Martin, C. L. (2001). Parental Coping with Children’s Negative Emotions: Relations with Children’s Emotional and Social Responding. Child Development, 72, 907-920.
http://dx.doi.org/10.1111/1467-8624.00323 - 20. Fabes, R. A., Poulin, R. E., Eisenberg, N., & Madden-Derdich, D. A. (2002). The Coping with Children’s Negative Emotions Scale (CCNES): Psychometric Properties and Relations with Children’s Emotional Competence. Marriage & Family Review, 34, 285-310.
http://dx.doi.org/10.1300/J002v34n03_05 - 21. Flavell, J. H. (1986). The Development of Children’s Knowledge about the Appearance-Reality Distinction. American Psychologist, 41, 418-425.
http://dx.doi.org/10.1037/0003-066X.41.4.418 - 22. Flavell, J. H. (1999). COGNITIVE DEVELOPMENT: Children’s Knowledge about the Mind. Annual Review of Psychology, 50, 21-45.
http://dx.doi.org/10.1146/annurev.psych.50.1.21 - 23. Flavell, J. H., Everett, B. A., Croft, K., & Flavell, E. R. (1981). Young Children’s Knowledge about Visual Perception: Further Evidence for the Level 1-Level 2 Distinction. Developmental Psychology, 17, 99-103.
http://dx.doi.org/10.1037/0012-1649.17.1.99 - 24. Hayes, A. F. (2013). Introduction to Mediation, Moderation, and Conditional Process Analysis: A Regression-Based Approach. New York: The Guilford Press.
- 25. Houssa, M., Mazzone, S., & Nader-Grosbois, N. (2014). Validation d’une version francophone de l’inventaire de la Théorie de l’Esprit (ToMI-vf). Revue Européenne de Psychologie Appliquée/European Review of Applied Psychology, 64, 169-179.
http://dx.doi.org/10.1016/j.erap.2014.02.002 - 26. Houssa, M., Nader-Grosbois, N., & Jacobs, E. (2013). Experimental Study of Short-Term Training in Social Cognition in Pre-Schoolers. Journal of Education and Training Studies, 2, 1-16.
http://dx.doi.org/10.11114/jets.v2i1.181 - 27. Hughes, C. (2011). Social Understanding and Social Lives: From Toddlerhood through to the Transition to School. New York: Psychology Press.
- 28. Hughes, E. K., & Gullone, E. (2010). Parent Emotion Socialisation Practices and Their Associations with Personality and Emotion Regulation. Personality and Individual Differences, 49, 694-699.
http://dx.doi.org/10.1016/j.paid.2010.05.042 - 29. Hutchins, T. L. (2012). Theory of Mind Inventory.
http://www.theoryofmindinventory.com/about/uses-of-the-tomi/ - 30. Hutchins, T. L., Prelock, P. A., & Bonazinga, L. (2012). Psychometric Evaluation of the Theory of Mind Inventory (ToMI): A Study of Typically Developing Children and Children with Autism Spectrum Disorder. Journal of Autism Developmental Disorder, 42, 327-341.
http://dx.doi.org/10.1007/s10803-011-1244-7 - 31. Johnson, P. O., & Neyman, J. (1936). Tests of Certain Linear Hypotheses and Their Application to Some Educational Problems. Statistical Research Memoirs, 1, 57-93.
- 32. Jones, S., Eisenberg, N., Fabes, R. A., & MacKinnon, D. P. (2002). Parents’ Reactions to Elementary School Children’s Negative Emotions: Relations to Social and Emotional Functioning at School. Merrill-Palmer Quarterly, 48, 133-159.
http://dx.doi.org/10.1353/mpq.2002.0007 - 33. LaBounty, J., Wellman, H. M., Olson, S., Lagattuta, K., & Liu, D. (2008). Mothers’ and Fathers’ Use of Internal State Talk with Their Young Children. Social Development, 17, 757-775.
http://dx.doi.org/10.1111/j.1467-9507.2007.00450.x - 34. Ladouceur, C., Reid, L., & Jacques, A. (2002). Construction et validation du Questionnaire sur les réactions parentales aux émotions positives exprimées par l’enfant. Canadian Journal of Behavioural Science, 34, 8-18.
http://dx.doi.org/10.1037/h0087150 - 35. Lamb, M. E., & Lewis, C. (2004). The Development and Significance of Father-Child Relationships in Two-Parent Families. In M. E. Lamb (Ed.), The Role of the Father in Child Development (4th ed., pp. 272-306). Hoboken, NJ: John Wiley & Sons.
- 36. McElwain, N. L., Halberstadt, A. G., & Volling, B. L. (2007). Mother- and Father-Reported Reactions to Children’s Negative Emotions: Relations to Young Children’s Emotional Understanding and Friendship Quality. Child Development, 78, 1407-1425.
http://dx.doi.org/10.1111/j.1467-8624.2007.01074.x - 37. Mitchell, P. (1996). Acquiring a Conception of Mind: A Review of Psychological Research and Theory. Hove: Psychology Press.
- 38. Morris, A. S., Silk, J. S., Steinberg, L., Myers, S. S., & Robinson, L. R. (2007). The Role of the Family Context in the Development of Emotion Regulation. Social Development, 16, 361-388.
http://dx.doi.org/10.1111/j.1467-9507.2007.00389.x - 39. Nader-Grosbois, N. (2011). Théorie de l’esprit: Entre cognition, émotion et adaptation sociale. Bruxelles: De Boeck.
- 40. Nader-Grosbois, N., & Daffe, V. (2013). Patterns de socialisation parentale des émotions et développement de la théorie de l’esprit chez des enfants typiques et à déficience intellectuelle. In M. C. Haelewyck, H. Gascon, J. J. Detraux, & J. C. Kalubi (Eds.), Inclusion des personnes en situation de handicap, une question d’intervention(s). Mons: Association pour l’innovation en orthopédagogie.
- 41. Nader-Grosbois, N., & Thirion-Marissiaux, A. F. (2011). Evaluer la compréhension des états mentaux “émotions” et “croyances”. In N. Nader-Grosbois (Ed.), La théorie de l’esprit: entre cognition, émotion et adaptation sociale (pp. 95-125). Bruxelles: De Boeck.
http://dx.doi.org/10.3917/dbu.nader.2011.01.0093 - 42. Oswald, D., & Ollendick, T. (1989). Role Taking and Social Competence in Autism and Mental Retardation. Journal of Autism and Developmental Disorders, 19, 119-127.
http://dx.doi.org/10.1007/BF02212723 - 43. Pears, K. C., & Moses, L. J. (2003). Demographics, Parenting, and Theory of Mind in Preschool Children. Social Development, 12, 1-20.
http://dx.doi.org/10.1111/1467-9507.00219 - 44. Perner, J., Leekam, S. R., & Wimmer, H. (1987). Three-Year-Olds’ Difficulty with False Belief: The Case for a Conceptual Deficit. British Journal of Developmental Psychology, 5, 125-137.
http://dx.doi.org/10.1111/j.2044-835X.1987.tb01048.x - 45. Perron-Borelli, M. (1996). Echelles Différentielles d’Efficiences Intellectuelles. Forme révisée (EDEI-R). Paris: Editions et applications psychologiques.
- 46. Podsakoff, P. M., MacKenzie, S. B., Lee, J. Y., & Podsakoff, N. P. (2003). Common Method Biases in Behavioral Research: A Critical Review of the Literature and Recommended Remedies. Journal of Applied Psychology, 88, 879-903.
http://dx.doi.org/10.1037/0021-9010.88.5.879 - 47. Roskam, I., Meunier, J. C., & Stievenart, M. (2013). The Comparison and Combination of Multi-Informant and Multi-Method Data on Preschoolers’ Externalizing Behaviour. International Journal of Educational and Psychological Assessment, 14, 79-93.
- 48. Shewark, E. A., & Blandon, A. Y. (2015). Mothers’ and Fathers’ Emotion Socialization and Children’s Emotion Regulation: A Within-Family Model. Social Development, 24, 266-284.
http://dx.doi.org/10.1111/sode.12095 - 49. Symons, D. K. (2004). Mental State Discourse, Theory of Mind, and the Internalization of Self-Other Understanding. Developmental Review, 24, 159-188.
http://dx.doi.org/10.1111/sode.12095 - 50. Wimmer, H., & Perner, J. (1983). Beliefs about Beliefs: Representation and Constraining Function of Wrong Beliefs in Young Children’s Understanding of Deception. Cognition, 13, 103-128.
http://dx.doi.org/10.1016/0010-0277(83)90004-5 - 51. Wong, M. S., McElwain, N. L., & Halberstadt, A. G. (2009). Parent, Family, and Child Characteristics: Associations with Mother- and Father-Reported Emotion Socialization Practices. Journal of Family Psychology, 23, 452-463.
http://dx.doi.org/10.1037/a0015552





