Journal of Applied Mathematics and Physics
Vol.04 No.04(2016), Article ID:65880,5 pages
10.4236/jamp.2016.44081
Broadening Thermal Energy Levels and Density States Quasi One-Dimensional Electron Gas
P. J. Baymatov 1, A . G. Gulyamov2,3, A. B. Davlatov1, B. B. Uzakov1
1Namangan State University, Namangan, Uzbekistan
2Physico-Technical Institute, Academy of Sciences of Uzbekistan, Tashkent, Uzbekistan
3Namangan Engineering-Pedagogical Institute, Namangan, Uzbekistan

Copyright © 2016 by authors and Scientific Research Publishing Inc.
This work is licensed under the Creative Commons Attribution International License (CC BY).
http://creativecommons.org/licenses/by/4.0/



Received 15 February 2016; accepted 23 April 2016; published 26 April 2016
ABSTRACT
We have investigated the energy states of a one-dimensional electron gas and analyzed the temperature dependence of the density of states. It is shown that with increasing temperature due to thermal broadening of quantum, levels are blurred.
Keywords:
Quasi One-Dimensional Electron Gas, Density of States, Thermal Broadening

1. Introduction
The current stage of development of solid state physics is characterized by the fact that the main object of study is increasingly not becoming massive semiconductor crystals and thin films, multi-layer thin-film structures, conductive yarns and crystallites. The small size of these structures, in which a direction is comparable to the de Broglie wave, according to the laws of quantum mechanics leads to a change in the energy spectrum of charge carriers [1] . The spectrum becomes discrete for movement along a movement axis koto¬roy limited.
The main dimensional quantum structures are structures with two-dimensional electron gas-epitaxial film MIS structure, heterostructure, etc.; dimensional structure with gas-kvanto¬vye yarn or wire; structure with zero-dimensional gas-quantum dots, boxes, crystallites.
Structures in which the movement of charge carriers is free only along one axis, and along the other two limited two-dimensional quantum well, are known as quantum wires or wires. The energy spectrum associated with the movement of charge carriers across the quantum wire is discrete due to the size quantization; and associated with the movement along the filament is continuous. The charge carriers are in such a one-dimensional electron gas [1] .
Quantum yarn is one-dimensional electronic system where the electron motion is severely restricted in both directions of the three axes and along the thread remains free [1] [2] . All the basic properties of quantum electronic yarn defined dispersion and the dependence of energy on momentum. The range of knowledge allows us to calculate all the equilibrium properties of the system. The most important characteristic of the electronic system is the density of states. We consider the expression density of states of a quantum wire in view of its temperature dependence. The temperature dependence of the density of surface states at the interface between the semiconductor and dielectric is considered in [3] . It has been shown that due to the thermal broadening of the discrete, spectrum is converted into a continuous spectrum of surface states. The effect of temperature on the thermodynamic density of states of a quantum wire has not been studied.
The aim of this work is to study the effect of temperature on the thermodynamic density of states of a quantum wire.
2. Energy Spectrum and Density of States
This work is devoted to studying the effect of temperature on the density of states of the one-dimensional electron gas (OEG). Thermal broadening of the levels described using statistics Shockley-Read-Hall [3] . It is shown that with increasing temperature due to thermal broadening of the discrete levels of density of states become smooth.
The range of media in a one-dimensional pit is [1] [2]
(1)
.
Here,
is the effective mass of the carrier at the bottom of the zone;
is pit width. To find the density of states, we use the equation of the total number of particles. After summation over the back it has the form
(2)
Here,
: Sample dimensions along the axes x,
: Heaviside unit function
.
From (2) we have
(3)
Hence, we obtain expressions for the 1D density of states [4]
. (4)
Here,
. (4a)
Plot the functions
at L1 = 10−8 m and L2 = 1.5 ´ 10−8 m.
3. Temperature Dependence of the Density of States
Let us now consider how we can describe the effect of heat on the broadening of the thermodynamic density of states. Its accounting functions via GN (i.e. the derivative of the probability by thermal energy generation energy states E) is given in [3] . It was shown that the temperature dependence of the density of states can be described by the decomposition of the density of states in a series of GN-functions
(5)
Here,
: the density of states at zero temperature (4), and GN-function has the form
(6)
The considered energy interval







Supplying (4) to (7), we obtain

Plot the temperature dependence of the density of states by Formula (8) at different temperatures believing.
The density of states of the two-dimensional electron gas, quantum wire is similar to the density of states of a three-dimensional electron gas in a quantizing magnetic field. The difference between the density of states of these systems due to the fact that the distance between the discrete states in a bulk semiconductor is determined by the magnitude of the magnetic field, and in the quantum filament transverse dimensions of two-dimensional quantum well. Due to the interaction of the electrons with the lattice vibrations peak heights density of states decreases and the width increases.
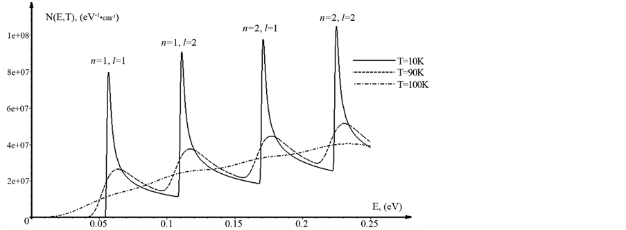
Figure 2 shows plots of the density of states of one-dimensional electron gas. We analyze the results of numerical calculations. The figure shows with solid lines the density of states graphics calculated at T = 10 K. This schedule is almost the same as in Figure 1, which does not take into account the temperature dependence of the density of states. However, the temperature difference between the zero lead to the fact that the height of the peaks in Figure 2 are reduced about 1.5 times. An increase in temperature greatly reduces the height of the peaks, the discrete quantization levels cross a two-dimensional quantum well. A further increase in temperature to T = 90 K, more blurs the peaks turning them into low humps of the density of states. At a temperature T = 300 K, the density of states in one-dimensional gas becomes a monotonically increasing function of energy where the discrete levels are almost invisible.
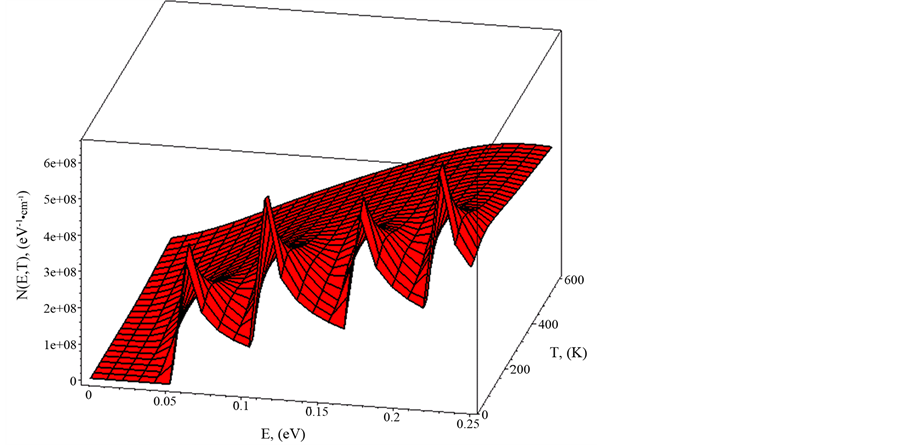
Figure 3 shows the dependence of the density on the temperature in the three-dimensional image. From Figure 3 clearly shows that the temperature strongly affects the thermodynamic density of states. At low temperatures,
Figure 1. Dependence of density of states of 1D electron gas of energy L1 = 10−8 and L2 = 1.5 ´ 10−8.
Figure 2. Dependence of density of states of 1D electron gas on the energy for different temperatures: L1 = 10−8 m and L2 = 1.5・10−8 m.
Figure 3. Dependence of density of states of 1D electron gas on the energy and temperature in three- dimensional space: L1 = 10−8 m and L2 = 1.5・10−8 m.
the density of states of the one-dimensional electron gas is strongly oscillating electron energy functions. With increasing temperature, the density oscillations subside, and at high temperatures turn into monotonically increasing function of energy
4. Conclusion
On the basis of this work, we can conclude that the temperature dependence of the density of the Kantian threads due to thermal broadening of discrete energy states. Thermal broadening of states can be described by the temperature dependence of the probability of filling the energy levels. At temperatures where the thermal kT energy of the electrons is much smaller than the distance between adjacent discrete levels ΔEnl,, thermal broadening is not significantly altered the density of states and the peaks in the density of states plots will stand out sharply. The increase in temperature due to the thermal broadening of the peaks of the density gradually eroded discrete levels. At temperatures of the order of kT distances between leveled kT ≤ ΔEnl, density thermodynamic states are smoothed. Thus, the thermodynamic state density of electrons in the quantum wire is temperatures low power oscillating function at high temperatures, and it is converted into a monotonically increasing function of energy.
Cite this paper
P. J. Baymatov,A. G. Gulyamov,1 1,A. B. Davlatov,B. B. Uzakov, (2016) Broadening Thermal Energy Levels and Density States Quasi One-Dimensional Electron Gas. Journal of Applied Mathematics and Physics,04,706-710. doi: 10.4236/jamp.2016.44081
References
- 1. Shik, A.Y., Bakueva, L.G., Musikhin, S.F. and Rykov, S.A. (2001) Physics of Low-Dimensional Systems. -SPb.: Science.
- 2. Dragunov, V.P., Unknown, I.G. and Gridchin, V.A. (2006) Fundamentals of Nanoelectronics. Fizmatkniga, Moskva.
- 3. Gulyamov, G. and Sharibaev, N.Y. (2011) FTP (Fizika Technika Poluprovodnikov), 45, 178-182.
- 4. Shik, A.Y. (1997) Quantum Yarn. Soros Educational Journal, No. 5.




