Advances in Pure Mathematics
Vol.06 No.02(2016), Article ID:63261,39 pages
10.4236/apm.2016.62008
Artin Transfer Patterns on Descendant Trees of Finite p-Groups
Daniel C. Mayer*
Naglergasse 53, 8010 Graz, Austria

Copyright © 2016 by author and Scientific Research Publishing Inc.
This work is licensed under the Creative Commons Attribution International License (CC BY).
http://creativecommons.org/licenses/by/4.0/


Received 25 November 2015; accepted 25 January 2016; published 29 January 2016
ABSTRACT
Based on a thorough theory of the Artin transfer homomorphism
from a group G to the abelianization
of a subgroup
of finite index
, and its connection with the permutation representation
and the monomial representation
of G, the Artin pattern
, which consists of families
, resp.
, of transfer targets, resp. transfer kernels, is defined for the vertices
of any descendant tree
of finite p-groups. It is endowed with partial order relations
and
, which are compatible with the parent-descendant relation
of the edges
of the tree T. The partial order enables termination criteria for the p-group generation algorithm which can be used for searching and identifying a finite p-group G, whose Artin pattern
is known completely or at least partially, by constructing the descendant tree with the abelianization 


Keywords:
Artin Transfer, Kernel Type, Target Type, Descendant Tree, Coclass Tree, Coclass Graph
1. Introduction
P 1.1. In the mathematical field of group theory, an Artin transfer is a certain homomorphism from an arbitrary finite or infinite group to the commutator quotient group of a subgroup of finite index.
Originally, such transfer mappings arose as group theoretic counterparts of class extension homomorphisms of abelian extensions of algebraic number fields by applying Artin’s reciprocity isomorphism ([1] , §4, Allgemeines Reziprozitätsgesetz, p. 361) to ideal class groups and analyzing the resulting homomorphisms between quotients of Galois groups ([2] , §2, p. 50).
However, independently of number theoretic applications, a natural partial order on the kernels and targets of Artin transfers, has recently been found to be compatible with parent-child relations between finite p-groups, where p denotes a prime number. Such ancestor-descendant relations can be visualized conveniently in des- cendant trees ([3] , §4, pp. 163-164).
Consequently, Artin transfers provide valuable information for classifying finite p-groups by kernel-target patterns and for searching and identifying particular groups in descendant trees by looking for patterns defined by kernels and targets of Artin transfers. These strategies of pattern recognition are useful not only in purely group theoretic context, but also, most importantly, for applications in algebraic number theory concerning Galois groups of higher p-class fields and Hilbert p-class field towers. The reason is that the unramified extensions of a base field contain information in the shape of capitulation patterns and class group structures, and these arithmetic invariants can be translated into group theoretic data on transfer kernels and targets by means of Artin’s reciprocity law of class field theory. The natural partial order on Artin patterns admits termination criteria for a search through a descendant tree with the aid of recursive executions of the p-group generation algorithm by Newman [4] and O’Brien [5] .
P 1.2. The organization of this article is as follows. The detailed theory of the transfer will be developed in §§ 2 and 3, followed by computational implementations in § 4. It is our intention to present more than the least common multiple of the original papers by Schur [6] and Artin [2] and the relevant sections of the text books by Hall [7] , Huppert [8] , Gorenstein [9] , Aschbacher [10] , Doerk and Hawkes [11] , Smith and Tabachnikova [12] , and Isaacs [13] .
However, we shall not touch upon fusion and focal subgroups, which form the primary goal of the mentioned authors, except Artin. Our focus will rather be on a sound foundation of Artin patterns, consisting of families of transfer kernels and targets, and their stabilization, resp. polarization, in descendant trees of finite p-groups. These phenomena arise from a natural partial order on Artin patterns which is compatible with ancestor- descendant relations in trees, and is established in its most general form in §§5 and 6.
Since our endeavour is to give the most general view of each partial result, we came to the conviction that categories, functors and natural transformations are the adequate tools for expressing the appropriate range of validity for the facts connected with the partial order relation on Artin patterns. Inspired by Bourbaki’s method of exposition [14] , Appendix on induced homomorphisms, which is separated to avoid a disruption of the flow of exposition, goes down to the origins exploiting set theoretic facts concerning direct images and inverse pre-images of mappings which are crucial for explaining the natural partial order of Artin patterns.
2. Transversals and Their Permutations
2.1. Transversals of a Subgroup
Let G be a group and 

Definition 2.1. See also ([6] , p. 1013); ([7] , (1.5.1), p. 11); ([8] , Satz 2.5, p. 5).
1). A left transversal of H in G is an ordered system 
G such that 
2). Similarly, a right transversal of H in G is an ordered system 
cosets of H in G such that 
Remark 2.1. For any transversal of H in G, there exists a unique subscript 




Lemma 2.1. See also ([6] , p. 1015); ([7] , (1.5.2), p. 11); ([8] , Satz 2.6, p. 6).
1). If G is non-abelian and H is not a normal subgroup of G, then we can only say that the inverse elements 

2). However, if 
Proof. 1). Since the mapping



2). For a normal subgroup


Let 


Proposition 2.1. The following two conditions are equivalent.
1). 


index
2).
We emphasize this important equivalence in a formula:

Proof. By assumption, we have the disjoint left coset decomposition 
statements simultaneously.
Firstly, the group 
and secondly, any two distinct cosets have an empty intersection

Due to the properties of the set mapping associated with

but weakens the equality for the intersection to a trivial inclusion
To show that the images of the cosets remain disjoint we need the property 

Suppose that 

then we have 

Multiplying by 

Since



Conversely, we use contraposition.
If the kernel 



But then the homomorphism 
to equal cosets
□
2.2. Permutation Representation
P 2.1. Suppose 





for each
Similarly, if 



for each
The elements




Definition 2.2 See also ([8] , Hauptsatz 6.2, p. 28).
The mapping




Lemma 2.2. For the special right transversal 



Proof. For the right transversal


On the other hand, for the left transversal


This relation simultaneously shows that, for any
for each
3. Artin Transfer
Let G be a group and 









Definition 3.3. See also ([6] , p. 1014); ([2] , §2, p. 50); ([7] , (14.2.2-4), p. 202); ([8] , p. 413); ([9] , p. 248); ([10] , p. 197); ([11] , Dfn.(17.1), p. 60); ([12] , p. 154); ([13] , p. 149); ([15] , p. 2).
The Artin transfer 




resp.

for
Remark 3.1. I.M. Isaacs [13] , p. 149 calls the mapping


the pre-transfer from G to H. The pre-transfer can be composed with a homomorphism 
an abelian group A to define a more general version of the transfer



natural epimorphism


3.1. Independence of the Transversal
Assume that 

Proposition 3.1. See also ([6] , p. 1014); ([7] , Thm. 14.2.1, p. 202); ([8] , Hilfssatz 1.5, p. 414); ([9] , Thm. 3.2, p. 246); ([10] , (37.1), p.198); ([11] , Thm.(17.2), p.61); ([12] , p.154); ([13] , Thm.5.1, p.149); ([15] , Prop.2, p. 2).
The Artin transfers with respect to (g) and 

Proof. There exists a unique permutation 









for all






for all



as prescribed in Definition 3.1, Equation (3.1). □
It is clear that a similar proof shows that the Artin transfer is independent of the choice between two different right transversals. It remains to show that the Artin transfer with respect to a right transversal coincides with the Artin transfer with respect to a left transversal.
For this purpose, we select the special right transversal 

Proposition 3.2. The Artin transfers with respect to 


Proof. Using (2.4) in Lemma 2.2 and the commutativity of
The last step is justified by the fact that the Artin transfer is a homomorphism. This will be shown in the following subsection 3.2. □
3.2. Artin Transfers as Homomorphisms
Let 
Theorem 3.1. See also ([6] , p. 1014); ([7] , Thm. 14.2.1, p. 202); ([8] , Hauptsatz 1.4, p. 413); ([9] , Thm. 3.2, p. 246); ([10] , (37.2), p.198); ([11] , Thm.(17.2), p.61); ([12] , p. 155); ([13] , Thm.5.2, p. 150); ([15] , Prop.1, p. 2).
The Artin transfer



Proof. Let 




This relation simultaneously shows that the Artin transfer 



3.3. Monomial Representation
Let




Definition 3.2. The mapping




P 3.1. It is illuminating to restate the homomorphism property of the Artin transfer in terms of the monomial
representation. The images of the factors 




The law reminds of the crossed homomorphisms 



These peculiar structures can also be interpreted by endowing the cartesian product 



Definition 3.3. For

Theorem 3.2. See also ([7] , Thm.14.1, p. 200); ([8] , Hauptsatz 1.4, p. 413).
This law of composition on 

Proof. The homomorphism property has been shown above already. For a homomorphism to be injective, it suffices to show the triviality of its kernel. The neutral element of the group 







The permutation representation cannot be injective if G is infinite or at least of an order bigger than
Remark 3.2. Formula (3.4) is an example for the left-sided variant of the wreath product on


which implies that the permutation representation



It can be shown that the left-sided and the right-sided variant of the wreath product lead to isomorphic group structures on
A related viewpoint is taken by M. Hall ([7] , p. 200), who uses the multiplication of monomial matrices to describe the wreath product. Such a matrix can be represented in the form 


Whereas B. Huppert ([8] , p. 413) uses the monomial representation for defining the Artin transfer by composition with the unsigned determinant, we prefer giving the immediate Definition 3.3 and merely illustrating the homomorphism property of the Artin transfer with the aid of the monomial representation.
3.4. Composition of Artin Transfers
Let G be a group with nested subgroups 



Theorem 3.3. See also ([7] , Thm.14.2.1, p. 202); ([8] , Satz 1.6, p. 415); ([11] , Lem.(17.3), p. 61); ([13] , Thm.10.8, p. 301); ([15] , Prop.3, p. 3).
Then the Artin transfer 



This can be seen in the following manner.
Proof. If 




respect to K. See also ([7] , Thm.1.5.3, p. 12); ([8] , Satz 2.6, p. 6). Given two elements 







Then, using Corollary 7.3, we have


For each pair of subscripts 


resp.

□
3.5. Wreath Product of Sm and Sn
P 3.2. Motivated by the proof of Theorem 3.3, we want to emphasize the structural peculiarity of the monomial representation
which corresponds to the compositum of Artin transfers, defining
for a permutation



The preceding proof has shown that



on the first component i (via the permutation


The permutations
are of a very special kind. They belong to the stabilizer of the natural equipartition of the set [1, n] × [1, m] into the n rows of the corresponding matrix (rectangular array). Using the peculiarities of the composition of Artin transfers in the previous section, we show that this stabilizer is isomorphic to the wreath product 





for all
This law reminds of the chain rule 
xÎE of the compositum of differentiable functions 

The above considerations establish a third representation, the stabilizer representation,
of the group G in the wreath product
Formula (3.7) proves the following statement.
Theorem 3.4. The stabilizer representation 
the wreath product 
3.6. Cycle Decomposition
Let 







Theorem 3.5. See also ([2] , §2, p. 50); ([16] , §27.4, p. 170); ([8] , Hilfssatz 1.7, p. 415); ([9] , Thm.3.3, p. 249); ([10] , (37.3), p. 198); ([12] , p. 154); ([13] , Lem.5.5, p. 153); ([15] , p. 5).
If the permutation 

cycles 


for




Proof. The reason for this fact is that we obtain another left transversal of H in G by putting 



is a disjoint decomposition of G into left cosets of H.
Let us fix a value of

However, for
Consequently,
□
P 3.3. The cycle decomposition corresponds to a double coset decomposition 
G modulo the cyclic group 
3.7. Transfer to a Normal Subgroup
P 3.4. Now let 











Theorem 3.6. See also ([16] , §27.4, VII, p. 171).
Then the image of 


Proof. 





can be refined to a left transversal 


of H in G. Hence, the formula for the image of x under the Artin transfer 
with exponent f independent of j. □
Corollary 3.1. See also ([13] , Lem.10.6, p. 300) for a special case.
In particular, the inner transfer of an element 

with the trace element

of H in G as symbolic exponent.
The other extreme is the outer transfer of an element 


Proof. The inner transfer of an element



with the trace element
of H in G as symbolic exponent.
The outer transfer of an element 





□
P 3.5. Transfers to normal subgroups will be the most important cases in the sequel, since the central concept of this article, the Artin pattern, which endows descendant trees with additional structure, consists of targets and kernels (§5) of Artin transfers from a group G to intermediate groups 

Lemma 3.1. All subgroups 


Proof. Let








Explicit implementations of Artin transfers in the simplest situations are presented in the following section.
4. Computational Implementation
4.1. Abelianization of Type (p, p)
P 4.1. Let G be a pro-p group with abelianization 





subgroup
commutator subgroup


For each










such that 

A convenient selection is given by

Then, for each

according to Equation (3.13) of Corollary 3.1, which can also be expressed by a product of two pth powers,

and to implement the outer transfer as a complete pth power by

according to Equation (3.15) of Corollary 3.1. The reason is that 


It should be pointed out that the complete specification of the Artin transfers 






4.2. Abelianization of Type (p2, p)
P 4.2. Let G be a pro-p group with abelianization 








Figure 1 visualizes this smallest non-trivial example of a multi-layered abelianization 
For each







Figure 1. Layers of subgroups 


We begin by considering the first layer of subgroups. For each of the normal subgroups 


These are the cases where the factor group 





Further, a generator 



Then, for each

which equals

since 

Now we continue by considering the second layer of subgroups. For each of the normal subgroups 


such that




Since





and for the outer transfer

exceptionally

and

for


5. Transfer Kernels and Targets
P 5.1. After our thorough treatment of the general theory of Artin transfers in §§2 and 3, and their computational implementation for some simple cases in §4, we are now in the position to introduce Artin transfer patterns, which form the central concept of this article. They provide an incredibly powerful tool for classifying finite and infinite pro-p groups and for identifying a finite p-group G with sufficiently many assigned components of its Artin pattern by the strategy of pattern recognition. This is done in a search through the descendant tree with root 
An Artin transfer pattern consists of two families of transfer targets, resp. kernels, which are also called multiplets, whereas their individual components are referred to as singulets.
5.1. Singulets of Transfer Targets
Theorem 5.1. Let G and T be groups. Suppose that 



1) The commutator subgroup of V is the image of the commutator subgroup of U, that is

2) The restriction 

Thus, the abelianization of V,

is an epimorphic image of the abelianization of U, namely the quotient of 


3) Moreover, the map 


See Figure 2 for a visualization of this situation.
Proof. The statements can be seen in the following manner. The image of the commutator subgroup is given by
The homomorphism 






Thus, 

P 5.2. Functor of derived quotients. In analogy to section §7.6 in the appendix, a covariant functor 


In the present situation, we denote by 




For two objects






The functor 





it maps a morphism 



Existence and uniqueness of 



Figure 2. Induced homomorphism of derived quotients.
Definition 5.1. Due to the results in Theorem 5.1, it makes sense to define a pre-order of transfer targets on the image 


For two objects



let (non-strict) precedence be defined by

and let equality be defined by

if the induced epimorphism 
Corollary 5.1. If both components of the pairs 

Proof. We use the functorial properties of the functor F. The reflexivity of the partial order follows from the functorial identity in Formula (7.14), and the transitivity is a consequence of the functorial compositum in Formula (7.15), given in the appendix. The antisymmetry might be a problem for infinite groups, since it is known that there exist so-called non-Hopfian groups. However, for finite groups, and more generally for Hop- fian groups, it is due to the implication 

5.2. Singulets of Transfer Kernels
Suppose that G and T are groups, 






Theorem 5.2. If





1) The following connections exist between the two Artin transfers: the required condition for the composita of mappings in the commutative diagram in Figure 3,

and, consequently, the inclusion of the kernels,

2) A sufficient (but not necessary) condition for the equality of the kernels is given by

Figure 3. Epimorphism and Artin transfer.
See Figure 3 for a visualization of this scenario.
Proof. The truth of these statements can be justified in the following way. The first part has been proved in
Proposition 2.1 already: Let 




element



Let 

Since













Conversely, 

tainly have 

P 5.3. Artin transfers as natural transformations. Artin transfers 



The objects of the category 




For two objects







The forgetful functor 







The functor 









The system T of all Artin transfers fulfils the requirements for a natural transformation 

for every morphism 

Definition 5.2. Due to the results in Theorem 5.2, it makes sense to define a pre-order of transfer kernels on the kernels 



For two objects



let (non-strict) precedence be defined by

and let equality be defined by

if the induced epimorphism 
Corollary 5.2. If both components of the pairs 
then the pre-order of transfer kernels 
Proof. Similarly as in the proof of Corollary 5.1, we use the properties of the functor F. The reflexivity is due to the functorial identity in Formula (7.14). The transitivity is due to the functorial compositum in Formula (7.15), where we have to observe the relations

additionally to the image relation
The antisymmetry is certainly satisfied for finite groups, and more generally for Hopfian groups. □
5.3. Multiplets of Transfer Targets and Kernels
Instead of viewing various pairs 





Proposition 5.1. See also ([7] , Thm.2.3.4, p. 29); ([8] , Satz 3.10, p. 16); ([9] , Thm.2.4, p. 6); ([13] , Thm.X.21, p. 340).
For an epimorphism 

are inverse bijections between the following systems of subgroups

Proof. The fourth and fifth statement of Lemma 7.1 in the appendix show that usually the associated set mappings 




Guided by the property 


and, according to Formula (7.1.), we consequently obtain the second required equality
which yields the crucial pair of inverse set bijections
□
P 5.4. After this preparation, we are able to specify the new category
are pairs 



where I denotes a suitable indexing set. Note that G itself is one of the subgroups
The morphisms of the new category are subject to more restrictive conditions, which concern entire families of subgroups instead of just a single subgroup.
For two objects

morphisms consists of epimorphisms 







Note that, in view of Proposition 5.1, we can always use the same indexing set I for the domain and for the codomain of morphisms, provided they satisfy the required kernel condition.
Now we come to the essential definition of Artin transfer patterns.
Definition 5.3. Let 

The transfer target type (TTT) of G is the family

The transfer kernel type (TKT) of G is the family

The complete Artin pattern of G is the pair

P 5.5. The natural partial order on TTTs and TKTs is reduced to the partial order on the components, according to the Definitions 5.1 and 5.2.
Definition 5.4. Let 



Then (non-strict) precedence of TTTs is defined by

and equality of TTTs is defined by

(Non-strict) precedence of TKTs is defined by

and equality of TKTs is defined by

We partition the indexing set I in two disjoint components, according to whether components of the Artin pattern remain fixed or change under an epimorphism.
Definition 5.5. Let 


The stable part and the polarized part of the Artin pattern 


Accordingly, we have

Note that the precedence of polarized targets is strict as opposed to polarized kernels.
5.4. The Artin Pattern on a Descendant Tree
P 5.6. Before we specialize to the usual kinds of descendant trees of finite p-groups ([3] , §4, pp. 163-164) we consider an abstract form of a rooted directed tree
Firstly, a basic relation 


Secondly, an induced non-strict partial order relation, 





Just a brief justification of the partial order: Reflexivity is due to the relation
follows from the rule



P 5.7. The category of a tree. Now let 




The objects of the category 


first component is a vertex of the tree

The morphisms of the category 

For two objects


In the case of an ancestor-descendant relation between H and G, the specification of the supercategory
enforces the following constraints on the unique morphism



P 5.8. At this position, we must start to be more concrete. In the descendant tree 








abbreviation for the compositum
As described in [3] , there are several possible selections of the normal subgroup N in the parent definition

1) either the last non-trivial member 
2) or the last non-trivial member 
3) or the last non-trivial member 
where 


Note that every descendant tree of finite p-groups is subtree of a descendant tree with abelian root. Therefore, it is no loss of generality to restrict our attention to descendant trees with abelian roots.
Theorem 5.3. A uniform warranty for the comparability of the Artin patterns 

order, is given by the following restriction of the family of subgroups 



descendant tree.
1) 



2) 



3) 



Proof. If parents are defined by 







The parent definition 







Finally, in the case of the parent definition 







□
P 5.9. Note that the first and third condition coincide since both, 




The second condition restricts the family 
itself and the Frattini subgroup
P 5.10. Since we shall mainly be concerned with the first and third parent definition for descendant trees, that is, either with respect to the lower central series or to the derived series, the comparability condition in Theorem 5.3 suggests the definition of a category 

but whose morphism are defined exactly as in Formula (5.24). The new viewpoint leads to a corresponding modification of Artin transfer patterns.
Definition 5.6. Let 

The Artin pattern, more precisely the restricted Artin pattern, of G is the pair

whose components, the TTT and the TKT of G, are defined as in the Formulas (5.25) and (5.26), but now with respect to the smaller system of subgroups of G.
P 5.11. The following Main Theorem shows that any non-metabelian group G with derived length 



Theorem 5.4. (Main Theorem.) Let G be a (non-metabelian) group with finite abelianization







1) every subgroup 



2) for each

3) for each



4) for each



Proof. We use the natural epimorphism

1) If U is an intermediate group





2) Firstly, 







3) The mapping



4) Firstly, the restriction 



to Theorem 5.2, the condition 





means equality





□
Remark 5.1. At this point it is adequate to emphasize how similar concepts in previous publications are related to the concept of Artin patterns. The restricted Artin pattern 

In a second remark, we emphasize the importance of the preceding Main Theorem for arithmetical applications.
Remark 5.2. In algebraic number theory, Theorem 5.4 has striking consequences for the determination of the length 






This is the point where the complete Artin pattern 


Another successful method is to employ cohomological results by I.R. Shafarevich on the relation rank 
Important examples for the concepts in §5 are provided in the following subsections.
5.5. Abelianization of Type (p,p)
Let G be a p-group with abelianization 








Definition 5.7. The family of normal subgroups 
(TKT) of G with respect to
Remark 5.3. For brevity, the TKT is identified with the multiplet
are given by

Here, we take into consideration that each transfer kernel 



A renumeration of the maximal subgroups 

mutation 



It is adequate to view the TKTs 

the relation between 














Definition 5.8. The orbit 

Remark 5.4. This definition of 

In the brief form of the TKT


Let 

an invariant of the group G. In 1980, Chang and Foote [26] proved that, for any odd prime p and for any integer








In the following concrete examples for the counters
Example 5.1. For

・ 


・ 


・ 


・ 


・ 


5.6. Abelianization of Type (p2, p)
Let G be a p-group with abelianization 









P 5.12. Convention. Suppose that 


which is the intersection of all maximal subgroups, that is the Frattini subgroup 
P 5.13. First layer. For each


Definition 5.9. The family 




Remark 5.5. Here, we observe that each first layer transfer kernel is of exponent p with respect to 






P 5.14. Second layer. For each


Definition 5.10. The family 




P 5.15. Transfer kernel type.
Combining the information on the two layers, we obtain the (complete) transfer kernel type
of the p-group G with respect to 

Remark 5.6. The distinguished subgroups 














and 



where
It is adequate to view the TKTs 

resp.
the relations between 








of the product of two symmetric groups 











Definition 5.11. The orbit 

P 5.16. Connections between layers.
The Artin transfer 


is the compositum 








・ For the subgroups 

・ For the Frattini subgroup 

This causes restrictions for the transfer kernel type 
since
・ 

・ but even
Furthermore, when 










・ 


・ but




6. Stabilization and Polarization in Descendant Trees
P 6.1. Theorem 5.4 has proved that it suffices to get an overview of the restricted Artin patterns of metabelian groups G with


In this section, we present the complete theory of stabilization and polarization of the restricted Artin patterns for an extensive exemplary case, namely for all metabelian 3-groups G with abelianization 
Since the bottom layer, resp. the top layer, of the restricted Artin pattern will be considered in Theorem 6.4 on the commutator subgroup


6.1. 3-Groups of Non-Maximal Class
P 6.2. We begin with groups G of non-maximal class. Denoting by m the index of nilpotency of G, we let 
































Theorem 6.1. (Non-maximal class.) Let G be a metabelian 3-group of nilpotency class 




1) a bipolarization and partial stabilization, if G is an interface group with bicyclic last lower central equal to the bicyclic first upper central, more precisely

2) a unipolarization and partial stabilization, if G is a core group with cyclic last lower central and bicyclic first upper central, more precisely

3) a nilpolarization and total stabilization, if G is a core group with cyclic last lower central equal to the cyclic first upper central, more precisely

Proof. Theorems 5.1 and 5.2 tell us that for detecting whether stabilization occurs from parent 





provided the generators of G are selected as indicated above. On the other hand, the projection kernel 

Combining this information with
・ 



・ 



・ 




・ 




Taken together, these results justify all claims. □
Example 6.1. Generally, the parent 






and
In contrast, a core group G ([19] , Dfn.3.3, p. 430) with cyclic last non-trivial lower central and its parent 



and
and the group 

and
6.2. p-Groups of Maximal Class
P 6.3. Next we consider p-groups of maximal class, that is, of coclass











The centralizer 

is the biggest subgroup of G such that



where 





Suppose that generators of 



We define the main commutator 


The maximal subgroups 





Theorem 6.2. (Maximal class.) Let G be a metabelian p-group of nilpotency class 





1) a unipolarization and partial stabilization, if the first maximal subgroup 

2) a nilpolarization and total stabilization, if all four maximal subgroups 

In both cases, the commutator subgroups of the other maximal normal subgroups of G are given by

Proof. We proceed in the same way as in the proof of Theorem 6.1 and compare the projection kernel 





if the generators of G are chosen as indicated previously. The cyclic projection kernel is given uniformly by

Using the relation
・ 


・ 


The claims follow by applying Theorems 5.1 and 5.2. □
Example 6.2. For


and
and the group 

and
6.3. Extreme Interfaces of p-Groups
P 6.4. Finally, what can be said about the extreme cases (excluded in Theorems 6.1 and 6.2) of non-abelian p-groups having the smallest possible nilpotency class 




Theorem 6.3. Let G be a metabelian p-group with abelianization 

1) If G is of coclass 



2) If G is of coclass 



In both cases, there occurs a total polarization and no stabilization at all, more explicitly

Proof. Suppose that G is a metabelian p-group with
1) According to O. Taussky [37] , a 2-group G with abelianization 




Since the minimal nilpotency class c of a non-abelian group with coclass 



So we are considering metabelian p-groups G with












2) According to ([35] , Cor.3.1, p. 476), the commutator subgroups 






In both cases, the final claim is a consequence of the Theorems 5.1 and 5.2. □
Example 6.3. For


and
For


and
Summarizing, we can say that the last three Theorems 6.1, 6.2, and 6.3 underpin the fact that Artin transfer patterns provide a marvellous tool for classifying finite p-groups.
6.4. Bottom and Top Layer of the Artin Pattern
P 6.5. We conclude this section with supplementary general results concerning the bottom layer and top layer of the restricted Artin pattern.
Theorem 6.4. (Bottom layer.) The type of the commutator subgroup 



Proof. All possible kernels 



Example 6.4. In Example 6.1, we point out that the group 

and TKT
due to a total stabilization of the restricted Artin pattern as in Formula (6.3). However, the type of their commutator subgroup (the second layer of their TTT) admits a distinction, since
Theorem 6.5. (Top layer.) In a descendant tree 




Proof. This follows from Theorem 5.1, since even the maximal possible kernel 



□
We briefly emphasize the different behaviour of trees where parents are defined with the lower exponent-p central series.
Theorem 6.6. In a descendant tree 


Proof. Denote by 







Acknowledgements
The author would like to express his heartfelt gratitude to Professor Mike F. Newman from the Australian National University in Canberra, Australian Capital Territory, for his continuing encouragement and interest in our endeavour to strengthen the bridge between group theory and class field theory which was initiated by the ideas of Emil Artin, and for his untiring willingness to share his extensive knowledge and expertise and to be a source of advice in difficult situations.
We also gratefully acknowledge that our research is supported by the Austrian Science Fund (FWF): P 26008- N25.
Cite this paper
Daniel C.Mayer, (2016) Artin Transfer Patterns on Descendant Trees of Finite p-Groups. Advances in Pure Mathematics,06,66-104. doi: 10.4236/apm.2016.62008
References
- 1. Artin, E. (1927) Beweis des allgemeinen Reziprozitätsgesetzes. Abhandlungen aus dem Mathematischen Seminar der Universität Hamburg, 5, 353-363.
http://dx.doi.org/10.1007/BF02952531 - 2. Artin, E. (1929) Idealklassen in Oberkörpern und allgemeines Reziprozitätsgesetz. Abhandlungen aus dem Mathematischen Seminar der Universität Hamburg, 7, 46-51.
http://dx.doi.org/10.1007/BF02941159 - 3. Mayer, D.C. (2015) Periodic Bifurcations in Descendant Trees of Finite p-Groups. Advances in Pure Mathematics, 5, 162-195.
http://dx.doi.org/10.4236/apm.2015.54020 - 4. Newman, M.F. (1977) Determination of Groups of Prime-Power Order. In: Bryce, R.A., Cossey, J. and Newman, M.F., Eds., Group Theory, Lecture Notes in Math, Vol.573, Springer, Berlin, 73-84.
- 5. O’Brien, E.A. (1990) The p-Group Generation Algorithm. Journal of Symbolic Computation, 9, 677-698.
http://dx.doi.org/10.1016/S0747-7171(08)80082-X - 6. Schur, I. (1902) Neuer Beweis eines Satzes über endliche Gruppen. Sitzungsb. Preuss. Akad. Wiss., 42, 1013-1019,.
- 7. Hall Jr., M. (1999) The Theory of Groups. AMS Chelsea Publishing, American Mathematical Society, Providence.
- 8. Huppert, B. (1979) Endliche Gruppen I. Grundlehren der mathematischen Wissenschaften, Vol. 134. Springer-Verlag, Berlin, Heidelberg and New York.
- 9. Gorenstein, D. (2012) Finite Groups. AMS Chelsea Publishing, American Mathematical Society, Providence.
- 10. Aschbacher, M. (1986) Finite Group Theory. Cambridge Studies in Advanced Mathematics, Vol. 10. Cambridge University Press, Cambridge.
- 11. Doerk, K. and Hawkes, T. (1992) Finite Soluble Groups, de Gruyter Expositions in Mathematics, Vol.4. Walter de Gruyter, Berlin and New York.
http://dx.doi.org/10.1515/9783110870138 - 12. Smith, G. and Tabachnikova, O. (2000) Topics in Group Theory. Springer Undergraduate Mathematics Series (SUMS), Springer-Verlag, London.
- 13. Isaacs, I.M. (2011) Finite Group Theory. Graduate Studies in Mathematics, Vol.92. American Mathematical Society, Providence.
- 14. Bourbaki, N. (2007) éléments de mathématique, Livre 2, Algèbre. Springer-Verlag, Berlin Heidelberg.
- 15. Olsen, J. (2010) The Transfer Homomorphism. Math 434. University of Puget Sound, Washington DC.
http://buzzard.ups.edu/courses/2010spring/projects/olsen-transfer-homomorphism-ups-434-2010.pdf - 16. Hasse, H. (1932) Bericht über neuere Untersuchungen und Probleme aus der Theorie der algebraischen Zahlkörper, Teil II: Reziprozitötsgesetz. Jahresbericht der Deutschen Mathematiker-Vereinigung, 6, 1-204.
- 17. Blackburn, N. (1958) On a Special Class of p-Groups. Acta Mathematica, 100, 45-92.
http://dx.doi.org/10.1007/BF02559602 - 18. Mayer, D.C. (2015) Index-p abelianization data of p-class tower groups. Advances in Pure Mathematics, 5, 286-313.
http://dx.doi.org/10.4236/apm.2015.55029 - 19. Mayer, D.C. (2011) The Distribution of Second p-Class Groups on Coclass Graphs. Journal de Théorie des Nombres de Bordeaux, 25, 401-456.
- 20. Mayer, D.C. (2014) Principalization Algorithm via Class Group Structure. Journal de Théorie des Nombres de Bordeaux, 26, 415-464.
http://dx.doi.org/10.5802/jtnb.874 - 21. Mayer, D.C. (2015) Periodic Sequences of p-Class Tower Groups. Journal of Applied Mathematics and Physics, 3, 746-756.
http://dx.doi.org/10.4236/jamp.2015.37090 - 22. Mayer, D.C. (2015) New Number Fields with Known p-Class Tower. 22nd Czech and Slovak International Conference on Number Theory, Liptovsky Ján, Conference date, page.
- 23. Bush, M.R. and Mayer, D.C. (2015) 3-Class Field Towers of Exact Length 3. Journal of Number Theory 147, 766-777.
http://dx.doi.org/10.1016/j.jnt.2014.08.010 - 24. Scholz, A. and Taussky, O. (1934) Die Hauptideale der kubischen Klassenkörper imaginär quadratischer Zahlkörper: ihre rechnerische Bestimmung und ihr Einfluß auf den Klassenkörperturm. Journal für die reine und angewandte Mathematik, 171, 19-41.
- 25. Chang, S.M. (1977) Capitulation Problems in Algebraic Number Fields. Ph.D. Thesis, University of Toronto, Toronto.
- 26. Chang, S.M. and Foote, R. (1980) Capitulation in Class Field Extensions of Type (p,p). Canadian Journal of Mathematics, 32, 1229-1243.
http://dx.doi.org/10.4153/CJM-1980-091-9 - 27. Heider, F.-P. and Schmithals, B. (1982) Zur Kapitulation der Idealklassen in unverzweigten primzyklischen Erweiterungen. Journal für die reine und angewandte Mathematik., 336, 1-25.
- 28. Brink, J.R. (1984) The Class Field Tower for Imaginary Quadratic Number Fields of Type (3,3). Dissertation, Ohio State University, Columbus.
- 29. Brink, J.R. and Gold, R. (1987) Class Field Towers of Imaginary Quadratic Fields. Manuscripta Mathematica, 57, 425-450.
- 30. Nebelung, B. (1989) Klassifikation metabelscher 3-Gruppen mit Faktorkommutatorgruppe vom Typ (3,3) und Anwendung auf das Kapitulationsproblem. Inaugural Dissertation, Universität zu Köln, Cologne.
- 31. Mayer, D.C. (1990) Principalization in Complex S3-Fields. Congressus Numerantium, 80, 73-87.
- 32. Mayer, D.C. (2012) Transfers of Metabelian p-Groups. Monatshefte für Mathematik., 166, 467-495.
- 33. Besche, H.U., Eick, B. and O’Brien, E.A. (2002) A Millennium Project: Constructing Small Groups. International Journal of Algebra and Computation, 12, 623-644.
http://dx.doi.org/10.1142/S0218196702001115 - 34. Besche, H.U., Eick, B. and O’Brien, E.A. (2005) The Small Groups Library—A Library of Groups of Small Order. An Accepted and Refereed GAP 4 Package, Available also in MAGMA.
- 35. Mayer, D.C. (2012) The Second p-class Group of a Number Field. International Journal of Number Theory, 8, 471-505.
http://dx.doi.org/10.1142/S179304211250025X - 36. Miech, R.J. (1970) Metabelian p-Groups of Maximal Class. Transactions of the American Mathematical Society, 152, 331-373.
- 37. Taussky, O. (1937) A Remark on the Class Field Tower. Journal London Mathematical Society, S1-12, 82-85.
http://dx.doi.org/10.1112/jlms/s1-12.1.82 - 38. Furtwängler, Ph. (1929) Beweis des Hauptidealsatzes für die Klassenkörper algebraischer Zahlkörper. Abhandlungen aus dem Mathematischen Seminar der Universität Hamburg, 7, 14-36.
http://dx.doi.org/10.1007/BF02941157 - 39. Lang, S. (1980) Algebra. World Student Series, Addison-Wesley Publishing Company, Reading.
- 40. Boston, N., Bush, M.R. and Hajir, F. (2014) Heuristics for p-Class Towers of Imaginary Quadratic Fields.
http://arxiv.org/abs/1111.4679
Appendix: Induced Homomorphism between Quotient Groups
Throughout this appendix, let 
A.1. Image, Pre-Image and Kernel
P 7.1. First, we recall some basic facts concerning the image and pre-image of normal subgroups and the kernel of the homomorphism 
Lemma 7.1. Suppose that 


1) If 


2) If 


In particular, the kernel 

3) If 


4) If 


5) Conversely, the image of the pre-image is given by

The situation of Lemma 7.1 is visualized by Figure 4, where we briefly write 

Remark 7.1. Note that, in the first statement of Lemma 7.1, we cannot conclude that 

Proof. 1) If 


and thus 


2) If 




consequently 
To prove the claim for the kernel, we put 
3) If 


4) If 



Figure 4. Kernel, image and pre-image under a homomorphism f.
Finally, since 

5) This is a consequence of the properties of the set mappings 


□
A.2. Criteria for the Existence of the Induced Homomorphism
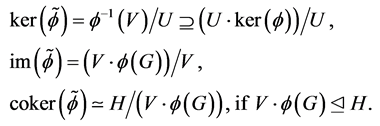
P 7.2. Now we state the central theorem which provides the foundation for lots of useful applications. It is the most general version of a series of related theorems, which is presented in Bourbaki ([14] , Chap.1), Structures algëriques, Prop.5, p. A I.35]. Weaker versions will be given in the subsequent corollaries.
Theorem 7.1. (Main Theorem)
Suppose that 



・ The following three conditions for the homomorphism 
1) There exists an induced homomorphism 


2) 
3) 
・ If the induced homomorphism 


In particular, 

Moreover, 

In particular, 

We summarize the criteria for the existence of the induced homomorphism in a formula:

The situation of Theorem 7.1 is shown in the commutative diagram of Figure 5.
Remark 7.2. If the normal subgroup 


Figure 5. Induced homomorphism 
Note that 







Proof.
・ (1) Þ (2): If there exists a homomorphism 







(2) Þ (1): If 










(2) Þ (3): If 

(3) Þ (2): If 

・ The image of any 



The kernel of 


that is 


The cokernel of 


Finally, if 


A.3. Factorization through a Quotient
P 7.3. Theorem 7.1 can be used to derive numerous special cases. Usually it suffices to consider the quotient group 

Corollary 7.1. (Factorization through a quotient)
Suppose 

If 




Moreover, the kernel of 

Again we summarize the criterion in a formula:

In this situation the homomorphism 



The scenario of Corollary 7.1 is visualized by Figure 6.
Proof. The claim is a consequence of Theorem 7.1 in the special case that 



Remark 7.3. Note that the well-known isomorphism theorem (sometimes also called homomorphism theorem) is a special case of Corollary 7.1. If we put 




In this weakest form,

Figure 6. Homomorphism f factorized through a quotient.
actually without any additional assumptions being required, the existence theorem for the induced homomorphism appears in almost every standard text book on group theory or algebra, e.g., ([7] , Thm.2.3.2, p. 28) and ([13] , Thm.X.18, p. 339).
A.4. Application to Series of Characteristic Subgroups
P 7.4. The normal subgroup 

Corollary 7.2. The homomorphism 
1) 



2) 



3) 



We summarize these criteria in terms of the length of series in a formula:

Proof. By induction, we show that, firstly,

secondly, 
and finally,

Now, the claims follow from Corollary 7.1 by observing that 





The following special case is particularly well known. Here we take the commutator subgroup 


Corollary 7.3. A homomorphism 


Proof. Putting 






The situation of Corollary 7.3 is visualized in Figure 7.
Using the first part of the proof of Corollary 7.2 we can recognize the behavior of several central series under homomorphisms.
Lemma 7.2. Let 




1) If
2) If
3) If
Proof. 1) Let






2) Let






3) Let






A.5. Application to Automorphisms
Corollary 7.4. (Induced automorphism)
Figure 7. Homomorphism 
Let 


1) There exists an induced epimorphism 



2) The induced epimorphism 


In the second statement, 

The situation of Corollary 7.4 is visualized in Figure 8.
Proof. Since 

1) According to Theorem 7.1, the automorphism






2) Finally,
□
Remark 7.4. If 



P 7.5. We conclude this section with a statement about GI-automorphisms (generator-inverting auto- morphisms) which have been introduced by Boston, Bush and Hajir ([40] , Dfn.2.1). The proof requires results of Theorem 7.1, Corollary 7.4, and Corollary 7.2.
Theorem 7.2. (Induced generator-inverting automorphism)
Let 




If 

then 


Proof. According to Corollary 7.4,



Two applications of the Remark 7.4 after Corollary 7.4, yield:






Using Theorem 7.1 and the first part of the proof of Corollary 7.2, we obtain:



The actions of the various induced homomorphisms are given by
Figure 8. Induced automorphism








Finally, combining all these formulas and expressing 




A.6. Functorial Properties
P 7.6. The mapping 
In the special case of induced homomorphisms 

The objects of the category are pairs 


For two objects





The functor 


maps a pair 




Existence and uniqueness of 


The functorial properties, which are visualized in Figure 9, can be expressed in the following form.
Figure 9. Functorial properties of induced homomorphisms.
Firstly, F maps the identity morphism 


and secondly, F maps the compositum 


to the compositum

of the induced homomorphisms in the same order.
The last fact shows that F is a covariant functor.
NOTES
*Respectfully dedicated to Professor M. F. Newman.


































































































