Journal of Agricultural Chemistry and Environment
Vol.08 No.03(2019), Article ID:94367,10 pages
10.4236/jacen.2019.83012
Biogas Production from the Co-Digestion of Cornstalks with Cow Dung and Poultry Droppings
I. J. Ona1*
, S. M. Loya1, H. O. Agogo2, M. S. Iorungwa1, R. Ogah1
1Department of Chemistry, University of Agriculture, Makurdi, Nigeria
2Department of Petroleum and Gas Engineering, Baze University, Abuja, Nigeria

Copyright © 2019 by author(s) and Scientific Research Publishing Inc.
This work is licensed under the Creative Commons Attribution International License (CC BY 4.0).
http://creativecommons.org/licenses/by/4.0/



Received: March 14, 2019; Accepted: August 13, 2019; Published: August 16, 2019
ABSTRACT
The Anaerobic digestion of Corn Stalk (CS) with Cow Dung (CD) and Poultry Droppings (PD) was investigated. Batch mono-digestion and Co-digestion experiments were performed with initial total solid loading of 37.5%. The main objective of this work was to investigate the biogas yield at different CS to CD ratios and CS to PD ratios. Results show that the highest Cumulative Gas Yield (CGY) of 6833 mL/g of biomass was achieved in 21 days for CS-CD ratio of 2:1. Similarly high CGY of 6107 mL/g, 6100 mL/g and 5333 mL/g were obtained for CS-PD ratio of 2:1, CS-CD ratio of 1:1 and CS-PD ratio of 1:1 respectively. It is concluded that co-digestion of Cow dung or poultry droppings is beneficial for improving bio-digestibility and Biogas yield from corn stalk. The results of this work provide useful information to improve the efficiency of co-digestion of CS with CD and PD under anaerobic conditions.
Keywords:
Biogas Production, Anaerobic Co-Digestion, Agricultural Residues

1. Introduction
Over the last few years, the quest to diversify Nigeria’s economy from crude oil dependency has led to a massive increase in Agricultural activities across Nigeria both in Animal (poultry, cattle, piggery, etc.) and plant production (corn, cassava, rice) amongst others. The U.S. Department of Agriculture’s Foreign Agricultural Service reports that Nigeria is Africa’s biggest corn producer after South Africa, with the 2017-2018 output estimated at 12 million tons. Corn is grown all over the country from the semi-arid north to the rain forests of the south [1] . This increased production has led to a massive production of agricultural residues like stover (corn stalks, corn cob, animal manure and other biomass wastes). Corn stalk, husks, leavesmakes up of 20% - 40% of the plant and like various other kinds of stover can be used as feed, whether grazed as forage, chopped as silage to be used later for fodder, or collected for direct (nonensilaged) fodder use however much of the stover left on farm lands after harvest is usually burnt leading to environmental pollution [2] [3] . This study will explore the potential of utilizing corn straw and animal waste for the production of biogas. Biogas is clean and renewable energy that may be substituted for natural gas. Organic waste is put into a sealed tank called a digester (or bioreactor) and agitated. In the absence of oxygen, the anaerobic bacterial consume the organic matter to multiply and produce biogas. Biogas is typically composed of 60% methane (CH4) and 40% Carbon IV oxide (CO2) and some trace amount of water vapour, Ammonia and Hydrogen sulphide. Biogas can be used as cooking gas and natural gas for electricity especially in rural off-grid communities or in agricultural farms and settlements. Further use of biogas can save the environment from further deterioration and also supplement the energy needs of the rural populace. A strategy incorporating local resources and new technology as biogas technology can be effectively utilized [4] . More so, with the declining quantity of fossil fuels it is critical today to focus on sustained economic use of existing limited resources and on identifying new technologies and renewable resources, e.g., biomass, for future energy supply [5] . Global experience has shown that biogas technology is a simple and readily usable technology that does not require overly complicated capacity to construct and manage [6] .
The conversion of animal and human waste (Faeces, chicken, piggery and other animal waste) to biogas is the most widely practiced process utilized worldwide however in recent times, the co-digestion of biomass, that is the combined use of crop residues, municipal waste, food waste and animal waste have gained considerable attention.
Research has shown that co-digestion of different solid wastes is an attractive approach for improving the efficiency of anaerobic digestion. It is believed that this process can utilize nutrients and bacterial diversities in various wastes to optimize the digestion process [7] [8] [9] .
The benefits of co-digestion include the following; the dilution of the toxic compounds, stimulating synergistic effects of microorganisms and improved gas yield. Studies show that crop-residues are characterized by low pH substrate itself, and the accumulation of high volatile fatty acid (VFA) in digestion process [10] [11] . Co-digestion of manures and other substrates overcomes those challenges by maintaining a stable pH within the methanogenesis range due to their inherent high buffering capacity. Furthermore, crop materials have high carbon content and this can improve the C/N ratio of the feedstock [12] [13] .
The paper will study the co-digestion of corn stalks with cow dung and poultry droppings. It will investigate anaerobic digestibility of different mixtures of corn stalks, poultry droppings and cow dung with a view of comparing the daily gas yields (DGY) and cumulative gas yields (CGY) per gram of biomass used. It will also study the effect of pH and temperature on the process. The goal of this work is to utilize the abundant plant waste (corn stalks) and animal waste (cow dung and poultry droppings) in Nigeria to provide an alternative source of energy and other value-added products in marginalized communities.
2. Materials and Method
Poultry Droppings (PD) and Cow Dung (CD) were collected from local farms located in Makurdi Benue State Nigeria while Corn Stalks (CS) was collected from a farm in Naka Gwer West Local Government of Benue State. The Corn Stalks were air-dried and cut into smaller pieces of 2 - 3 cm. They were then pounded with a mortar and pestle to reduce the particle size. The drum type digester system was designed and fabricated locally (Figure 1). It was divided into three main parts, the inlet chamber, the body and the outlet chamber and had the capacity of approximately 30 litres. The container was painted black to maintain the required temperature.
Figure 1. Experimental set up with 30 L bio-digester.
A thermometer was inserted through a drilled hole at the top of the drum for measuring the temperature. Plastic hose was connected from the drum to the inverted measuring cylinder containing water so as to measure the volume of displaced water as the volume of gas produced. The measuring cylinder inverted with water was the main volume measurement of gas through a process called upward delivery and downward displacement. Four drum type digesters were used for this process. Varying weights of corn stalks, cow dung and poultry droppings (2.5 kg, 5 kg and 7.5 kg) were measured and mixed with in varying ratios with a total weight of 7.5 kg for each experiment. 20 litres of water was then added to the biomass. The total weight of feed stock per drum was 27.5 kg with a headspace of 2.5 kg. Mono-digestions of 7.5 kg of poultry droppings (PD) and cow dung (CD) were used as controls. 6 different mixtures of corn stalks (CS), cow dung and poultry droppings (PD) were used for the experiments. These include corn CS-CD 2:1 (Corn Stalks 5 kg, Cow Dung 2.5 kg, Water 20 L), CS-CD 1:1 (Corn Stalks 3.75 kg, Cow Dung 3.75 kg, Water 20 L), CS-CD 1:2 (Corn Stalks 2.5 kg, Cow dung 5 kg, Water 20 L), CS-PD 2:1 (Corn Stalks 5 kg, Poultry Droppings 2.5 kg, Water 20 L), CS-PD 1:1 (Corn Stalks 3.75 kg, Poultry Droppings 3.75 kg, Water 20 L) and CS-PD 1:2 (Corn Stalks 2.5 kg, Poultry Droppings 5 kg, Water 20 L). The substrate was thoroughly mixed and stirred in the digesters. Each digester was manually mixed once a day to avoid stratification. The input slot was closed well with wax and hose clips to prevent leakage. The daily biogas production was recorded as Daily Gas Yields (DGY) by measurement of displaced water both in the mornings and afternoons. This is done by noting the quantity of water displaced from the gas collected in the measuring cylinder. The ambient temperature, digester temperatures and pH were measured at least twice a day both in the mornings and afternoons. Final Biogas yields were given as cumulative Gas Yields (CGY). These batch experiments were carried out in triplicates and the mean DGY and CGY calculated. Results in the figures are expressed with standard deviations.
The biogas produced was determined by noting the quantity of water displaced from the gas collector into the graduated container.
3. Results and Discussion
It can be observed that Figure 2 shows the Cumulative Gas Yield CGY from the co-digestion of poultry droppings (PD) and corn stalks at different ratios while Figure 3 shows the daily Biogas Yield (DGY) from these reactions. It can be observed that the highest CGY was obtained for the reaction with CS-PD 2:1 which a 45,800 mL of biogas has obtained in 20 days. This was followed by CS-PD 1:1 with a yield of 40,000 mL. When a higher percentage of poultry droppings were used, the volume of gas produced was reduced to 36,750 mL of Biogas. The lowest yield obtained was 19,200 mL of gas where 7.5 g of poultry droppings were used. Figure 3 compares the average daily gas produced from the experiments. All experiments show a gradual increase in biogas from Day 1 until
Figure 2. Progress curve showing the Cumulative Gas Yield (CGY) for the co-digestion of Corn Stalk (CS) with Poultry Droppings (PD) at different mixing ratios with a retention time of 24 days.
Figure 3. Progress curve showing the Daily Gas Yield (DGY) for the co-digestion of Corn Stalk (CS) with Poultry Droppings (PD) at different mixing ratios with a retention time of 24 days.
a maximum Daily Gas Yield (DGY) is reached between Day 8 and 11 after which it can be observed that the daily gas yield reduced gradually until around the 20th day. The maximum DGY for PD only was achieved between Day 8 and 9 however co-digestion of CS-PD at different ratios had maximum DGY at days 10 and 11. This might be as a result of the more obvious difficulty in breaking down the cellulose component of CS by microbes [14] .
Similarly, Figure 4 and Figure 5 also show the CGY and DGY for the anaerobic co-digestion of Corn Stalk (CS) and Cow Dung (CD). The highest CGY was obtained when the CS is higher in the mixture with CD. A CGY of 51,250 mL and 45,750 mL was obtained at CS-CD 2:1 and CS-CD 1:1 mixtures respectively. This is significantly higher than the gas yields obtained from the mixture that contains a higher quantity of CD. CS-CD 1:2 has a CGY of 39,250
Figure 4. Progress curve showing the Cumulative Gas Yield (CGY) for the co-digestion of Corn Stalk (CS) and Cow Dung (CD) at different mixing ratios with a retention time of 24 days.
Figure 5. Progress curve showing the Daily Gas Yield (DGY) for the co-digestion of Corn Stalk (CS) and Cow Dung (CD) at different mixing ratios with a retention time of 24 days.
mL while the experiment carried out with just CD shows the lowest CGY of 30,750 mL. Figure 5 shows that while maximum DGY for CD was obtained at Day 8 however all experiments with CS had maximum DGY on Days 9 - 11. When CS is co-digested with CD in a ratio of 1:2, maximum DGY is obtained at Day 10 however CS-CD at other ratios (CS-CD 1:1 and CS-CD 1:2) have maximum DGY on Day 11. This can be attributed to the cellulose and hemicellulose content of corn stalks. The recalcitrance of cellulose to microbes makes the breakdown more difficult [14] .
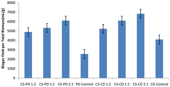
Figure 6 compares the production of biogas from both CD and PD mixed with CS and it can clearly be seen that more gas is produced from the co-digestion of CS and CD than from the Co-digestion of PD and CS. The lowest Biogas yield per total solids obtained was recorded with poultry dung at 2560 mL/g and this was closely followed by CD with a yield of 4100 mL/g. CS-CD ratio of 1:2 showed the highest yield of 6833 mL/g of Biogas. These results agree
Figure 6. Comparison of Biogas Yield from the co-digestion of Corn Stalk (CS) with Poultry Droppings (PD), Cow Dung (CD) at different mixing ratios.
with several papers that report that CD produces higher yields of biogas when compared to PD. The more favourable C/N ratio reported for CD is believed to be responsible for this observation [15] [16] .
Table 1 shows changes in the pH as the experiments progressed. The ambient temperature and slurry temperatures were monitored. The results show that the pH values did not differ significantly and had fluctuations during the experiment. Initial pH shows a range of 7.35 to 5.81 at the end of digestion which is appropriate for methane fermentation reported to be in the range of 6.6 to 7.6 [17] . The reduction in pH is attributed to the acidification process of breaking down the organic matter and producing volatile fatty acid. As a result, the general acidity of the digesting material will increase and the pH will fall below neutral [18] . The results did not show any significant difference in the pH of co-digestions of either CD or PD. Figure 7 also shows changes in temperatures as the reactions progressed. Ambient and slurry temperature were the same between Day 1 and Day 3 however the digester temperature exhibited changes as from Day 4. It was also observed that the digester temperature was significantly different in the mornings from those recorded in the afternoon (11 am - 5 pm) (P ≤ 0.05). Increased temperature in the afternoon was found to favour the higher yields of biogas. This agrees with reports that digestion at high temperature range supports higher rates of biological degradation and biogas production [19] .
The temperature changes observed as shown in Figure 7 above suggest that there is a marginal difference between ambient temperature and digester temperature in the mornings however varied temperatures were observed in the afternoons. The difference between the ambient temperature and the average digester temperature for co-digestions of CS and CD or CS and PD were higher and more pronounced when compared to mono-digestion by PD or CD. The temperature difference for the co-digested process might have had a strong influence on the higher biogas yield observed. In general, the temperature in the
Table 1. pH measurement from the co-digestion of Corn Stalk (CS) with Poultry Droppings (PD), Cow Dung (CD) at different mixing ratios.
Figure 7. Measurement of Temperature from the co-digestion of Corn Stalk (CS) with Poultry Droppings (PD), Cow Dung (CD) at different mixing ratios. Note: *Initial ambient temperature in the mornings and average ambient temperature between 11 am and 5 pm is 35˚C ± 2˚C. Initial average digester temperature was ambient temperature.
treatments is suitable for the development of thermophilic condition 20˚C to 40˚C and close to the optimal range for development of methaneno genes condition 30˚C to 35˚C [5] [20] .
4. Conclusion
This paper shows that CS provides suitable raw material for biogas production when it is co-digested with either CD or PD. Combining CS-CD in a ratio of 1:2 gave the highest volumetric biogas yield. The Co-digestion of CS-PD also gave high biogas yields. The study also showed increased biogas is produced at higher temperature especially during the afternoon. It can be concluded that mono-digestion by either poultry droppings or cow dung produced lower biogas yields when compared to co-digestion with poultry droppings and cow dung.
Conflicts of Interest
The authors declare no conflicts of interest regarding the publication of this paper.
Cite this paper
Ona, I.J., Loya, S.M., Agogo, H.O., Iorungwa, M.S. and Ogah, R. (2019) Biogas Production from the Co-Digestion of Cornstalks with Cow Dung and Poultry Droppings. Journal of Agricultural Chemistry and Environment, 8, 145-154. https://doi.org/10.4236/jacen.2019.83012
References
- 1. https://www.bloomberg.com/news/articles/2018-01-31/nigeria-s-corn-output-seen-falling-7-on-pests-rising-imports
- 2. Heuzé, V., Tran, G., Edouard, N. and Lebas, F. (2017) Maize Green Forage. Feedipedia, a Programme by INRA, CIRAD, AFZ and FAO. https://www.feedipedia.org/node/358
- 3. Oseni, O.A. and Ekperigin, M. (2007) Studies on Biochemical Changes in Maize Wastes Fermented with Aspergillus niger. Biokemistri, 19, 75-79. https://doi.org/10.4314/biokem.v19i2.56428
- 4. Ahmadu, T.O. (2009) Comparative Performance of Cow Dung and Chicken Droppings for Biogas Production. M.Sc. Thesis, Department of Mechanical Engineering, Ahmadu Bello University, Zaria.
- 5. Deublein, D. and Steinhauser, A. (2008) Biogas from Waste and Renewable Sources: An Introduction. Wiley-VCH Verlag GmbH & Co. KGaA, Weinheim. https://doi.org/10.1002/9783527621705
- 6. Taleghani, G. and Kia, A.S. (2005) Technical-Economical Analysis of the Saveh Biogas Power Plant. Renewable Energy, 30, 441-446. https://doi.org/10.1016/j.renene.2004.06.004
- 7. Ahring, B., Angelidaki, I., Macario, E.C., Gavala, H.N., Hofman-Bang, J., Macario, A.J.L., Elferink, S.J., Raskin, L., Stams, A.J.M., Westermann, P. and Zheng, D. (2003) Perspective for Anaerobic Digestion. Biomethanation, 81, 1-30.
- 8. Hartmann, H. and Ahring, B.K. (2003) Phthalic Acid Esters Found in Municipal Organic Waste: Enhanced Anaerobic Degradation under Hyper-Thermophilic Conditions. Water Science & Technology, 48, 175-183. https://doi.org/10.2166/wst.2003.0249
- 9. Parawira, W., Murto, M., Zvauya, R. and Mattiasson, B. (2004) Anaerobic Batch Digestion of Solid Potato Waste Alone and in Combination with Sugar Beet Leaves. Renewable Energy, 29, 1811-1823. https://doi.org/10.1016/j.renene.2004.02.005
- 10. Banks, C.J. and Humphreys, P.N. (1998) The Anaerobic Treatment of a Ligno-Cellulosic Substrate Offering Little Natural pH Buffering Capacity. Water Science & Technology, 38, 29-35. https://doi.org/10.2166/wst.1998.0574
- 11. Campos, E., Palatsi, J. and Flotats, X. (1999) Co-Digestion of Pig Slurry and Organic Wastes from Food Industry. Proceedings of the Second International Symposium on Anaerobic Digestion of Solid Waste, Barcelona, 1999, 192-195.
- 12. Hills, D.J. and Roberts, D.W. (1981) Anaerobic Digestion of Dairy Manure and Field Crop Residues. Agricultural Waste, 3, 179-189. https://doi.org/10.1016/0141-4607(81)90026-3
- 13. Hashimoto, A.G. (1983) Conversion of Straw-Manure Mixtures to Methane at Mesophilic and Thermophilic Temperatures. Biotechnology and Bioengineering, 25, 185-200. https://doi.org/10.1002/bit.260250115
- 14. Gunaseelan, V.N. (1997) Anaerobic Digestion of Biomass for Methane Production: A Review. Biomass and Bioenergy, 13, 83-144. https://doi.org/10.1016/S0961-9534(97)00020-2
- 15. Yen, H.W. and Brune, D.E. (2007) Anaerobic Co-Digestion of Algal Sludge and Waste Paper to Produce Methane. Bioresource Technology, 98, 130-134. https://doi.org/10.1016/j.biortech.2005.11.010
- 16. Ahring, B.K., Angelidaki, I. and Johansen, K. (1992) Anaerobic Treatment of Manure Together with Industrial Waste. Water Science & Technology, 25, 311-318. https://doi.org/10.2166/wst.1992.0163
- 17. Gerardi, M.H. (2003) The Microbiology of Anaerobic Digesters, Wastewater Microbiology. John Wiley & Sons, Inc., Hoboken. https://doi.org/10.1002/0471468967
- 18. Garba, B. and Sambo, A. (1992) Effect of Operating Parameters on Biogas Production Rate. Nigerian Journal of Renewable Energy, 10, 100-110.
- 19. Itodo, I.N. and Philips, T.K. (2002) Covering Materials for Anaerobic Digesters Producing Biogas. Nigerian Journal of Renewable Energy, 10, 24-52.
- 20. Mital, K.M. (1996) Biogas Systems: Principles and Applications. New Age International Limited Publishers, New Delhi, 412.









