Open Journal of Geology
Vol.05 No.05(2015), Article ID:56211,13 pages
10.4236/ojg.2015.55023
Influence of Mg2+, Fe2+ and Zn2+ Cations on 13C-18O Bonds in Precipitated Aragonite, Calcite and Dolomite: An ab Initio Study
Jie Yuan
Key Laboratory of Earth and Planetary Physics, Institute of Geology and Geophysics, Chinese Academy of Science, Beijing, China
Email: yuanjie@mail.iggcas.ac.cn
Copyright © 2015 by author and Scientific Research Publishing Inc.
This work is licensed under the Creative Commons Attribution International License (CC BY).
http://creativecommons.org/licenses/by/4.0/



Received 5 April 2015; accepted 7 May 2015; published 11 May 2015
ABSTRACT
The influence of metal cations on 13C-18O bonds in carbonates is still under debate. This paper used ab initio method to investigate this kind of influence of Mg2+, Fe2+ and Zn2+ cations on 13C-18O bonds in precipitated aragonite, calcite and dolomite. The polynomials of ∆47 and reduced partition function ratios (RPFRs) for 13/12C, 14/12C and 18/16O of these minerals were given within temperatures ranging from 260 to 1500 K. We found that these cations significantly decreased the ∆47 values at the level of 10−3 - 10−2 per mil, comparing with pure crystals; and that if the ∆47 values were used to reconstruct the temperatures Ts, the deviation of T was about 7.2˚C for, for instance, zinc-enriched aragonite, as discussed in our paper. It was suggested that due to such influence, researchers would better use a proper thermometer according to the main impurity metal cations in carbonates. We also found that according to the probability theory, the theoretical value of the influence of phosphoric acid on ∆47 of CO2 degassed from different carbonates was zero.
Keywords:
Metal Cation, 13C-18O Bond, ∆47, Phosphoric Acid, Ab Initio Calculation

1. Introduction
13C-18O clumping effects [1] -[3] in carbonates play significant roles in reconstructing the temperatures in geological research [4] -[9] . The majority of data points of 13C-18O signals of CO2 extracted from carbonate minerals is explained by the equilibrium isotope reactions on the growth surfaces of crystals during their formation [10] . However, there still exist some measured data points which deviate from our predicted ∆47 polynomials of pure aragonite and calcite [10] . And one hypothesis for solving this problem was that during the crystallization of minerals, the carbonates captured the metal cations (M2+) from solutions and these cations influenced the 13C-18O isotope signals in turn.
To prove our hypothesis, this paper studied the effects of Mg2+, Fe2+ and Zn2+ cations on the 13C-18O bonds in aragonite, calcite and dolomite. We gave the novel relationships of ∆47 with respect to temperatures for different M2+-carbonate systems, and gave suggestions on the utilization of present results to understand the formation temperatures of carbonates in different geological systems. Finally, the theoretical value of the influence of phosphoric acid on ∆47 of CO2 degassed from different carbonates was discussed.
2. Methodology
For 13C-18O clumped effect on the surfaces of, for example, calcite and aragonite [10] , we have isotope reaction
(1)
where “|” stands for the surface of minerals. The equilibrium constant K3866| (illustrating the doubly substituted isotopologues
in the reaction) for prior reaction is
(2)
where the brackets indicate the concentrations of the isotopologues [4] [11] . And 13C-18O clumped bonds in this reaction are kept in the body of calcite and aragonite [10] , according to different crystal growth model (e.g. “growth entrapment model” [12] -[14] and “surface kinetic model” [15] ).
The interfacial clusters of carbonate groups on calcite (0001) surface, aragonite (001) surface and dolomite (0001) surfaces (Figure 1) were built with ab initio technique in Yuan et al. (2014). All structures had 3 layers of atoms extracted from periodical crystals, which represent the surface of crystal, and six water molecules, which represent the solution. The atoms in the crystals were terminated with charge points (calcite, 0.333; aragonite, 0.222; dolomite, 0.333) [16] at 1 Å along the broken Ca (or Mg)-O bond [17] . Before optimized, the Ca, Mg, C and O positions were the same as those in corresponding lattices (Table 1). And the first metal atoms in

Figure 1. Optimized clusters of a) Ca2+-layer and b) Mg2+-layer dolomite (0001) surface at HF/6-31G*. Because dolomite has an alternating structural arrangement (shown in middle) of calcium and magnesium ions, their influence on carbonate group is considered by using simplified clusters of Ca2+-layer and Mg2+-layer dolomite respectively.
Table 1. Crystal structures of pure carbonate minerals used for building clusters.
each cluster were substituted by Fe2+, Mg2+ or Zn2+ cations to study their influence on ∆47, RPFR(13/12C), RPFR(14/12C) and RPFR(18/16O); see Supplementary File for the orientations of atoms in different clusters. Please reference Yuan et al. (2014) for the structures of aragonite (001) and calcite (0001) surfaces.
All these clusters were optimized in the Gaussian09 code [16] . The theoretical method was HF [18] , and the basis set was 6 - 31G* [19] [20] , which are suitable for C, Ca, Fe, Mg, O and Zn elements. The theoretical equilibrium constant of reaction (1) was calculated by
(3)
of which RPFR (short for reduced partition function ratio) [21] [22] is given by
(4)
where XEK stands for the molecule, h and l represent heavy (13C, 18O) and light (12C, 16O) isotopes of element E, u = hvi/kT, h is the Planck constant, vi is the ith frequency of our clusters given by Gaussian09 [16] , k is the Boltzmann constant, and T is the temperature from 260 to 1500 K [4] [5] [10] . When calculating RPFRs, scaling factor SF = 1.0613 for HF/6-31G* level was used, which is suggested by Yuan et al. (2014) for research on isotope effect on interfaces of carbonates.
Specifically, as shown in Table 2, one aragonite and four dolomite clusters had few imaginary vibrational frequencies; and in such case we used the reduced partition function ratio in the frequency complex plane (RPFRC) to predict the isotope fractionation factor in these clusters [26] .
Present theoretical ∆47 and ∆63 were calculated by
, (5)
which is within accuracy of 94% [4] -[7] [10] . All ∆63 values of the carbonates were given by averaging those of three different oxygen sites (O1, O2 and O3) [10] . See reasons for
in next section.
3. Results and Discussion
The calculated structures of dolomite are shown in Figure 1. The polynomials of ∆47 and RPFRs (13/12C, 14/12C [27] and 18/16O) in pure and metal-cations-influenced aragonite, calcite and dolomite, and their corresponding values at 25˚C are listed in Table 3 and Table 4, respectively; plots of these polynomials are in Figure 2. The comparison of ∆47 of dolomite between different theoretical works is illustrated in Figure 3.
3.1. Effect of Metal Cations on Different Isotope Systems
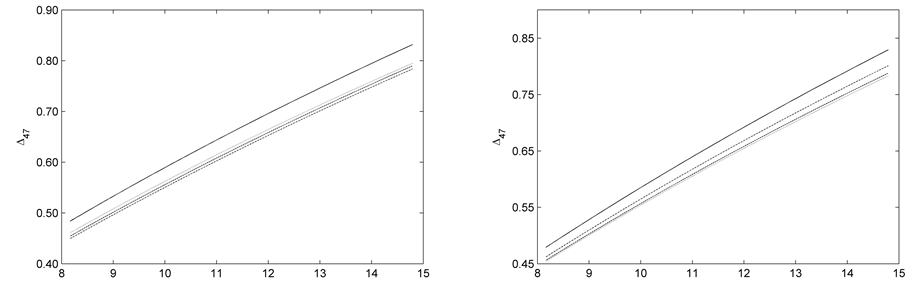
The metal cations in precipitated carbonates cause the decrease of ∆47 values (at 25˚C) from pure carbonates. For impurity aragonite, ∆47 values are 0.036 (Mg2+), 0.030 (Fe2+) and 0.042 (Zn2+) lower than that of pure crystal. For impurity calcite, ∆47 values are 0.032 (Mg2+), 0.035 (Fe2+) and 0.022 (Zn2+) lower than that of pure crystal. For
Table 2. Summary of imaginary frequencies of dolomite clusters at HF/6-31G* level (Yuan, 2014). n is the number of imaginary frequency. The minimal and maximal frequencies are shown.
*The frequencies correspond to molecules with M2+ 12C16O16O16O2−.


Figure 2. Influence of Mg2+ (dashed), Fe2+ (dotted) and Zn2+ (dash-dotted) ions on ∆47 values in (a) aragonite; (b) calcite and (c) Ca2+-layer dolomite and (d) Mg2+-layer dolomite. For comparison, ∆47 values in pure minerals are shown in solid lines. Temperatures range from 260 to 350 K.
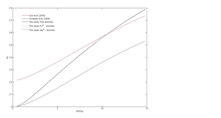
Figure 3. Comparison of ∆47 values of dolomite between different theoretical works: Schauble et al. (2006), blue solid; Guo et al. (2009), red solid; This work: pure dolomite, black solid; Fe2+-dolomite, black dotted; Zn2+-dolomite, black dash-dotted. Temperatures range from 260 to 1500 K.
Table 3. Parameters of fitted polynomials of ∆47, RPFR(13/12C), RPFR(14/12C) RPFR(18/16O) for aragonite, calcite and dolomite.
*The form of each fit is f (T) = A/T4 + B/T3 + C/T2 +D/T + E. **The errors stand for the values within which these polynomials reproduce the equilibrium constants from 260 to 1500 K. ***The polynomials of different dolomites are given by averaging those of Ca2+-layer dolomite and Mg2+-layer dolomite.
impurity dolomite, ∆47 value is 0.004 (Fe2+) lower than that of pure crystal.
The decrease of ∆47 caused by metal cations would increase the formation temperatures of minerals, when geochemists reconstruct temperatures with the fitted polynomials, e.g.
in Ghosh et al. (2006) (and calibrated ones in later works [9] [28] ), from experimental data. For instance, if we got ∆47 = 0.615 in a zinc-enriched (~33% in content) aragonite, then we get temperature T = 32.2˚C from the polynomials in Ghosh et al. (2006). However, the exact temperature is 25˚C (Table 4), 7.2˚C (= 32.2˚C - 25˚C) lower than the predicted value. Thus, aiming to get formation temperatures with high accuracy, we suggest that a researcher would better measure the main metal impurities in carbonates before choosing a reasonable 13C-18O clumped thermometer (as shown in Table 3).
Table 4. Values of ∆47, RPFR(13/12C), RPFR(14/12C) and RPFR(18/16O) for carbonates at 25˚C.
These metal cations also significantly influence on the fractionations of 13/12C, 14/12C and 18/16O isotope systems. The isotope fractionation factor (at 25˚C) between the impurity mineral and corresponding pure one is defined as ∆metal ion-pure (in per mil or ‰) = 1000 * ln(RPFR(Metal ion)/RPFRpure). For aragonite, ∆(13/12C)s are −5.7 (Mg2+), −3.4 (Fe2+) and −7.2 (Zn2+); ∆(14/12C)s are −10.6 (Mg2+), −6.4 (Fe2+) and −13.4 (Zn2+); and ∆(18/16O)s are −4.7 (Mg2+), −1.8 (Fe2+) and −5.9 (Zn2+). For calcite, ∆(13/12C)s are −1.8 (Mg2+), −1.7 (Fe2+) and −2.2 (Zn2+); ∆(14/12C)s are −3.4 (Mg2+), −3.2 (Fe2+) and −4.1 (Zn2+); ∆(18/16O)s are −0.1 (Mg2+), −1.8 (Fe2+) and 0.1 (Zn2+). For dolomite, ∆(13/12C)s are −0.9 (Fe2+) and −0.8 (Zn2+); ∆(14/12C)s are 1.8 (Fe2+) and 1.6 (Zn2+); and ∆(18/16O)s are 2.6 (Fe2+) and 1.8 (Zn2+). Obviously, most of the magnitudes of these three metal ions on the 13/12C, 14/12C and 18/16O fractionations are at the level of 1 per mil, and few 10 per mils. Such magnitudes might be observed in laboratories.
Our above finding is different from that given by Schauble et al. (2006) (Figure 3), which concluded that M2+-cations have little influence on isotopic fractionations between carbonate minerals. The reasons behind the difference were: 1) the 13C-18O clumped effect on growing surfaces of minerals was studied here, while this effect in the inner body of crystals were predicted with lattice dynamics in their paper; and 2) the force constants for, for example, Fe2+-calcite differ from those for Mg2+-calcite in this work, while these values for 40BaCO3 and 40MgCO3 are identical in their lattice-dynamical models.
3.2. Theoretical Value y of Influence of Phosphoric Acid on 13C-18O Bonds in Carbonates
In 13C-18O clumped isotope research, anyone cannot avoid the influence of phosphoric acid in experiments [4] -[6] [29] [30] ; and now we give the theoretical value ytheory of its influence on the ∆47 values of CO2 extracted from carbonates, by studying the equilibrium reaction 




12C-16O bonds in carbonate minerals. Then from Equation (5), we have

Let



and 12C-16O bonds in CO2 degassed from carbonate minerals with phosphoric acid. Then similar to prior equation [1] [31] , the corresponding ∆47 is given by

The relationship between ∆47 and ∆63 are given according to the probability theory [32] . Firstly, the probability of the occupation of one 13C-18O bond on each of three different carbon-oxygen (C-O1, C-O2 or C-O3) bonds in 



which shows that the ∆63 value kept in carbonate is identical to the ∆47 value in CO2 degassed from the carbonate with phosphoric acid.
Then the theoretical value ytheory = ∆47 − ∆63 [7] [10] = 0 is given here, and is suggested to be used in theoretical predictions, such as first-principle calculations in present paper.
The relationship between ytheory and yexp. is addressed as following. For experimental geochemists in the laboratories, the value of yexp. obeys the rule of counting statistics, and is proportional to 
Figure 4. Illustration of equilibrium reaction 



then

Present ytheory = 0 differs from that (e.g. 0.232‰ ± 0.015‰ for calcite) given by Guo et al. (2009) (Figure 3). The main difference between their and present works came from the following fact: when studying the phosphoric acid digestion, they investigated the possible kinetic isotope effect caused by the transition state of dissociation of H2CO3 intermediate in non-equilibrium reaction H2CO3 → (2H+・O2−)・CO2 (the transition state) → H2O + CO2↑, while present paper focused on the equilibrium isotope effect caused by deoxidizing the carbonate group 

4. Conclusions
The influence of Mg2+, Fe2+ and Zn2+ cations on 13C-18O bonds in aragonite, calcite and dolomite was studied using ab initio quantum calculations. And we can draw the following conclusions:
1) The metal ions significantly influenced the 13C-18O clumping bonds (as well as 13/12C, 14/12C and 18/16O isotope information) in the process of precipitation of and finally the body of aragonite, calcite and dolomite. Due to this influence, we suggested that when using the polynomials of 13C-18O clumping bonds in these minerals to predict temperatures, it would be better for a researcher to firstly determine the chemical composition of metal cations in carbonates, and secondly choose a reasonable thermometer according to the main metal impurities in the minerals.
2) Based on the probability theory, the value of the influence of phosphoric acid on 13C-18O clumping bonds during the extracting process of CO2 from carbonates was zero for theoretical research, e.g. first-principle calculations in this study. And the magnitude of this value in the experiments is proportional to the counting statistics.
Acknowledgements
The author acknowledges Dr. Zhang Zhigang for helpful discussions during the preparation of the manuscript. All of the calculations were performed at the IGGCAS computer simulation lab. This work was supported by the National Natural Science Foundation of China (Grant No. 41303047, 90914010 and 41020134003).
References
- Wang, Z.G., Schauble, E.A. and Eiler, J.M. (2004) Equilibrium Thermodynamics of Multiply Substituted Isotopologues of Molecular Gases. Geochimica et Cosmochimica Acta, 68, 4779-4797. http://dx.doi.org/10.1016/j.gca.2004.05.039
- Eiler, J.M. (2007) “Clumped-Isotope” Geochemistry―The Study of Naturally-Occurring, Multiply-Substituted Isotopologues. Earth and Planetary Science Letters, 262, 309-327. http://dx.doi.org/10.1016/j.epsl.2007.08.020
- Eiler, J.M. and Schauble, E. (2004) 18O13C16O in Earth’s Atmosphere. Geochimica et Cosmochimica Acta, 68, 4767- 4777. http://dx.doi.org/10.1016/j.gca.2004.05.035
- Schauble, E.A., Ghosh, P. and Eiler, J.M. (2006) Preferential Formation of 13C-18O Bonds in Carbonate Minerals, Estimated Using First-Principles Lattice Dynamics. Geochimica et Cosmochimica Acta, 70, 2510-2529. http://dx.doi.org/10.1016/j.gca.2006.02.011
- Guo, W.F., Mosenfelder, J.L., Goddard, W.A. and Eiler, J.M. (2009) Isotopic Fractionations Associated with Phosphoric Acid Digestion of Carbonate Minerals: Insights from First-Principles Theoretical Modeling and Clumped Isotope Measurements. Geochimica et Cosmochimica Acta, 73, 7203-7225. http://dx.doi.org/10.1016/j.gca.2009.05.071
- Ghosh, P., Adkins, J., Affek, H., Balta, B., Guo, W.F., Schauble, E.A., et al. (2006) 13C-18O Bonds in Carbonate Minerals: A New Kind of Paleothermometer. Geochimica et Cosmochimica Acta, 70, 1439-1456. http://dx.doi.org/10.1016/j.gca.2005.11.014
- Hill, P.S., Tripati, A.K. and Schauble, E.A. (2014) Theoretical Constraints on the Effects of pH, Salinity, and Temperature on Clumped Isotope Signatures of Dissolved Inorganic Carbon Species and Precipitating Carbonate Minerals. Geochimica et Cosmochimica Acta, 125, 610-652. http://dx.doi.org/10.1016/j.gca.2013.06.018
- Dennis, K.J. and Schrag, D.P. (2010) Clumped Isotope Thermometry of Carbonatites as an Indicator of Diagenetic Alteration. Geochimica et Cosmochimica Acta, 74, 4110-4122. http://dx.doi.org/10.1016/j.gca.2013.06.018
- Ghosh, P., Eiler, J., Campana, S.E. and Feeney, R.F. (2007) Calibration of the Carbonate “Clumped Isotope” Paleothermometer for Otoliths. Geochimica et Cosmochimica Acta, 71, 2736-2744. http://dx.doi.org/10.1016/j.gca.2007.03.015
- Yuan, J., Zhang, Z. and Zhang, Y. (2014) 13C-18O Bonds in Precipitated Calcite and Aragonite: An ab Initio Study. Open Journal of Geology, 4, 436-480. http://dx.doi.org/10.4236/ojg.2014.49034
- Schauble, E.A. and Eiler, J.M. (2004) Theoretical Estimates of Equilibrium 13C-18O Clumping in Carbonates and Organic Acids. Eos, Transactions American Geophysical Union, 85, 11A-0552.
- Watson, E.B. (1996) Surface Enrichment and Trace-Element Uptake during Crystal Growth. Geochimica et Cosmochimica Acta, 60, 5013-5020. http://dx.doi.org/10.1016/S0016-7037(96)00299-2
- Watson, E.B. (2004) A Conceptual Model for Near-Surface Kinetic Controls on the Trace-Element and Stable Isotope Composition of Abiogenic Calcite Crystals. Geochimica et Cosmochimica Acta, 68, 1473-1488. http://dx.doi.org/10.1016/j.gca.2003.10.003
- Watson, E.B. and Liang, Y. (1995) A Simple Model for Sector Zoning in Slowly Grown Crystals: Implications for Growth Rate and Lattice Diffusion, with Emphasis on Accessory Minerals in Crustal Rocks. American Mineralogist, 80, 1179-1187.
- DePaolo, D.J. (2011) Surface Kinetic Model for Isotopic and Trace Element Fractionation during Precipitation of Calcite from Aqueous Solutions. Geochimica et Cosmochimica Acta, 75, 1039-1056. http://dx.doi.org/10.1016/j.gca.2010.11.020
- Frisch, M.J., Trucks, G.W., Schlegel, H.B., Scuseria, G.E., Robb, M.A., Cheeseman, J.R., et al. (2009) Gaussian 09, Revision A.01. Gaussian, Inc., Wallingford.
- Rustad, J.R., Nelmes, S.L., Jackson, V.E. and Dixon, D.A. (2008) Quantum-Chemical Calculations of Carbon-Isotope Fractionation in CO2(g), Aqueous Carbonate Species, and Carbonate Minerals. Journal of Physical Chemistry A, 112, 542-555. http://dx.doi.org/10.1021/jp076103m
- Kohn, W. and Sham, L.J. (1965) Self-Consistent Equations Including Exchange and Correlation Effects. Physical Review, 140, A1133.
- Petersson, G.A. and Allaham, M.A. (1991) A Complete Basis Set Model Chemistry. II. Open-Shell Systems and the Total Energies of the First-Row Atoms. Journal of Chemical Physics, 94, 6081-6090. http://dx.doi.org/10.1063/1.460447
- Petersson, G.A., Bennett, A., Tensfeldt, T.G., Allaham, M.A., Shirley, W.A. and Mantzaris, J. (1988) A Complete Basis Set Model Chemistry. I. The Total Energies of Closed-Shell Atoms and Hydrides of the First-Row Elements. Journal of Chemical Physics, 89, 2193-2218. http://dx.doi.org/10.1063/1.455064
- Urey, H.C. (1947) The Thermodynamic Properties of Isotopic Substances. Journal of the Chemical Society, 562-581. http://dx.doi.org/10.1039/jr9470000562
- Bigeleisen, J. and Mayer, M.G. (1947) Calculation of Equilibrium Constants for Isotopic Exchange Reactions. Journal of Chemical Physics, 15, 261-267. http://dx.doi.org/10.1063/1.1746492
- Jarosch, D. and Heger, G. (1986) Neutron Diffraction Refinement of the Crystal-Structure of Aragonite. Tschermaks mineralogische und petrographische Mitteilungen, 35, 127-131. http://dx.doi.org/10.1007/BF01140844
- Maslen, E.N., Streltsov, V.A. and Streltsova, N.R. (1993) X-Ray Study of the Electron-Density in Calcite, CaCo3. Acta Crystallographica Section B-Structural Science, 49, 636-641. http://dx.doi.org/10.1107/S0108768193002575
- Steinfink, H. and Sans, F.J. (1959) Refinement of the Crystal Structure of Dolomite. American Mineralogist, 44, 679- 682.
- Yuan, J. (2014) Reduced Partition Function Ratio in the Frequency Complex Plane: A Mathematical Approach. Open Journal of Geology, 4, 654-664. http://dx.doi.org/10.4236/ojg.2014.412049
- Yuan, J. and Liu, Y. (2012) Quantum-Mechanical Equilibrium Isotopic Fractionation Correction to Radiocarbon Dating: A Theory Study. Journal of Radioanalytical and Nuclear Chemistry, 292, 335-338. http://dx.doi.org/10.1007/s10967-011-1563-3
- Grauel, A.L., Schmid, T.W., Hu, B., Bergami, C., Capotondi, L., Zhou, L.P., et al. (2013) Calibration and Application of the “Clumped Isotope” Thermometer to Foraminifera for High-Resolution Climate Reconstructions. Geochimica et Cosmochimica Acta, 108, 125-140. http://dx.doi.org/10.1016/j.gca.2012.12.049
- McCrea, J.M. (1950) On the Isotopic Chemistry of Carbonates and a Paleotemperature Scale. Journal of Chemical Physics, 18, 849-857. http://dx.doi.org/10.1063/1.1747785
- Swart, P.K., Burns, S.J. and Leder, J.J. (1991) Fractionation of the Stable Isotopes of Oxygen and Carbon in Carbon-Dioxide during the Reaction of Calcite with Phosphoric-Acid as a Function of Temperature and Technique. Chemical Geology, 86, 89-96.
- Cao, X. and Liu, Y. (2012) Theoretical Estimation of the Equilibrium Distribution of Clumped Isotopes in Nature. Geochimica et Cosmochimica Acta, 77, 292-303. http://dx.doi.org/10.1016/j.gca.2011.11.021
- Wang, J., Qian, Z., Qian, W., Zhuang, Y., He, Y. and Pan, C. (1999) Probability Statistics (Engineering Mathematics). Tongji University, Shanghai, 240-247. (In Chinese)
- Cui, L.L. and Wang, X. (2014) Determination of Clumped Isotopes in Carbonate Using Isotope Ratio Mass Spectrometer: Effects of Extraction Potential and Long-Term Stability. International Journal of Mass Spectrometry, 372, 46- 50. http://dx.doi.org/10.1016/j.ijms.2014.08.006
- Levine, I.N. (1995) Physical Chemistry. 4th Edition, McGraw-Hill, Inc., New York.
Supplementary File
Optimized Geometries of Clusters in the Text
This file contains the optimized orientations of atoms in pure Ca2+- and Mg2+-dolomite clusters, shown in Figure 1; see geometries of pure aragonite and calcite in Yuan Jie, Zhang Zhigang, and Zhang Yigang (2014).
1. Ca-dolomite
C -7.5733400 -23.8397780 -12.4229890
O -7.4228400 -24.6390750 -11.4578180
O -8.6174280 -23.9048960 -13.1449810
O -6.6282910 -23.0460140 -12.7362840
C -1.7264230 -25.2056520 -10.7438680
C -3.6414910 -21.2804940 -11.4990970
C -4.3212200 -24.2328130 -14.6843240
C -4.9431820 -24.6966200 -8.2031210
C -5.9471600 -27.4582630 -11.4057240
C -6.1561990 -20.3564350 -15.7243240
C -6.9657810 -23.2626220 -18.6000230
C -8.6226660 -26.4099680 -15.3692490
C -9.5033720 -26.6650300 -8.8632540
C -10.2297630 -29.5680790 -12.0703700
C -10.5070710 -22.5416530 -16.0910860
C -12.1790360 -25.9898050 -12.8937390
Ca -4.9463600 -24.4090490 -11.4976160
Ca -7.4013510 -23.3752350 -15.2082180
Ca -8.9627020 -26.3811510 -12.1443530
O -2.5298720 -20.7670240 -11.1672930
O -4.1617190 -22.1788170 -10.7869430
O -4.0543810 -23.8480350 -7.8761820
O -1.1418760 -24.4256970 -11.5645050
O -1.0918260 -25.6194470 -9.7274760
O -2.9129110 -25.5630840 -10.9158060
O -5.0657210 -25.6773190 -7.4110340
O -4.9455340 -20.0130350 -15.8456260
O -6.5487940 -21.1583260 -14.8497140
O -4.2210580 -20.8723250 -12.5518890
O -3.7353440 -23.4706660 -15.5199430
O -3.7898220 -24.4261290 -13.5610240
O -5.4276670 -24.7545070 -14.9814890
O -5.6030050 -24.6170930 -9.2578540
O -8.4091200 -26.1439850 -8.5164880
O -5.3653060 -26.6878140 -12.2139000
O -5.3315470 -27.8638010 -10.3671370
O -7.1392280 -27.8224920 -11.5928840
O -10.1031180 -27.4508950 -8.0631770
O -6.9450740 -19.8771800 -16.5944150
O -9.3407390 -22.1348030 -15.8504520
O -6.3799010 -22.5216940 -19.4461160
O -6.4716060 -23.3904490 -17.4540480
O -8.0428030 -23.8482430 -18.9387610
O -11.0940700 -23.3419960 -15.3061210
O -11.0634900 -25.4299110 -12.7994790
O -8.2069500 -25.4531850 -16.0751420
O -8.0212430 -26.7502040 -14.3171290
O -9.6838260 -27.0210230 -15.7174690
O -12.7454750 -26.5523390 -11.9086590
O -10.0106400 -26.4181360 -9.9906040
O -9.8253590 -28.5923470 -12.7455960
O -9.5998160 -29.9807600 -11.0445210
O -11.2987220 -30.1609060 -12.4107820
O -11.1031000 -22.1483490 -17.1413710
O -12.7981400 -26.0950880 -13.9909140
O -8.0522490 -23.1692160 -8.8474230
H -8.9972600 -23.2340710 -8.7361220
H -7.9597070 -22.6611450 -9.6463110
O -7.3970110 -20.9334450 -10.7796960
H -6.7366670 -21.4383370 -11.2427130
H -7.0275540 -20.6363540 -9.9567440
O -10.5714600 -22.0281150 -11.8777110
H -10.3692450 -21.1047270 -12.0180460
H -9.8639180 -22.5219310 -12.2827200
O -9.5822110 -19.3100100 -11.7796700
H -8.8498170 -19.7039800 -11.3097930
H -9.1991060 -18.9273880 -12.5573870
O -10.7909510 -22.3280240 -9.0814780
H -10.7484240 -22.2110280 -10.0357180
H -11.5619410 -22.8571190 -8.9285410
O -8.5634340 -20.3079460 -8.0208860
H -8.2273200 -21.1794000 -7.8435990
H -9.4472280 -20.4771460 -8.3287230
2. Mg-dolomite
C -7.6831990 -23.6286080 -12.3084500
O -6.5985900 -22.9719120 -12.2668830
O -8.4771140 -23.4934310 -13.2914400
O -7.9793170 -24.4340290 -11.3738420
C -5.0902760 -18.1037580 -12.7607900
C -3.6345210 -21.2513710 -11.4931930
C -6.6481970 -21.3144450 -9.5053430
C -5.0004180 -24.7876210 -8.4554780
C -8.2133780 -24.4535900 -6.1969590
C -6.0590060 -20.6701160 -15.6601180
C -9.2854610 -20.4253940 -13.4646460
C -10.8694380 -23.5857400 -10.1159490
C -9.2576800 -26.9936510 -9.0555940
C -10.3610700 -22.9147740 -16.2918270
C -13.5699700 -22.5597650 -14.0045180
C -12.1135680 -25.6617460 -12.8333890
Mg -6.3525950 -20.9741170 -12.5283720
Mg -7.9444080 -24.1481000 -9.3880910
Mg -10.5009900 -23.1841460 -13.1719360
O -2.5149180 -20.7336170 -11.1846840
O -4.1506450 -22.0921190 -10.7225150
O -3.9521490 -24.1053060 -8.6481660
O -5.0378150 -25.5928040 -7.4733360
O -4.9820680 -20.0389300 -15.8924580
O -5.0357330 -17.3311520 -13.7677380
O -4.2060830 -18.0071630 -11.8574310
O -6.0621750 -18.8822320 -12.6460140
O -6.2328610 -21.3112760 -14.5982740
O -4.2445850 -20.8940000 -12.5363630
O -6.5609520 -20.5575800 -10.5014950
O -5.8058710 -21.2086240 -8.5566870
O -7.6347120 -22.0935710 -9.3994170
O -5.9431440 -24.7178330 -9.2723880
O -8.3180350 -26.1733490 -9.1118030
O -7.9923260 -23.8558270 -7.2698390
O -7.3686160 -24.3624760 -5.2536890
O -9.2921570 -25.0900750 -5.9840100
O -9.3051720 -27.8098650 -8.0832420
O -6.9350990 -20.7109520 -16.5657340
O -9.3147300 -22.2480170 -16.4914200
O -9.2506310 -19.5600920 -14.3985690
O -8.3857390 -20.4584670 -12.5909750
O -10.2862500 -21.1771270 -13.3900890
O -10.5545820 -23.5430700 -15.2204970
O -10.9950750 -25.1322470 -12.6331450
O -10.7444450 -22.8289180 -11.1105600
O -9.9476770 -23.7093910 -9.2707270
O -11.9764180 -24.1693070 -9.8856970
O -12.6288020 -26.4761990 -12.0112390
O -10.1332080 -27.0788460 -9.9688910
O -11.2104110 -23.0163300 -17.2336820
O -13.5235790 -21.7712750 -15.0051850
O -12.6189910 -22.6234150 -13.1951490
O -14.6380480 -23.2114160 -13.7891740
O -12.7393670 -25.3793820 -13.8890490
O -7.5264090 -25.1710230 -15.5013500
H -7.8168010 -24.5696730 -14.8125000
H -7.7709490 -26.0316500 -15.1869280
O -7.1543270 -27.0978550 -12.0890710
H -7.5779490 -26.3003260 -11.7742460
H -6.2243280 -26.8875640 -12.0987070
O -4.0515690 -23.8667690 -13.3608440
H -4.9145670 -23.6072470 -13.0364350
H -3.8979640 -24.7425180 -13.0182810
O -6.3427200 -29.2530280 -13.7899360
H -6.7480060 -28.6007190 -13.2219990
H -7.0634620 -29.7022110 -14.2075540
O -4.3446350 -26.7704320 -12.9999840
H -4.5807710 -26.6414720 -13.9238680
H -3.8837310 -27.5981420 -12.9714400
O -4.6802200 -25.6608210 -15.5456550
H -4.4786800 -24.8612340 -15.0627610
H -5.5919550 -25.5511680 -15.8036420




