Optics and Photonics Journal
Vol.04 No.10(2014), Article ID:50752,7 pages
10.4236/opj.2014.410028

Optically Controllable Gray-Level Diffraction from a BCT Photonic Crystal Based on Azo Dye-Doped HPDLC

Shing-Trong Wu1, Chung-Hung Liu1, Jui-Hsiang Liu2, Ming-Hsien Li3*, Andy Ying-Guey Fuh1,3,4#

1Department of Physics, National Cheng Kung University, Tainan, Taiwan

2Department of Chemical Engineering, National Cheng Kung University, Tainan, Taiwan

3Department of Photonics, National Cheng Kung University, Tainan, Taiwan

4Advanced Optoelectronic Technology Center, National Cheng Kung University, Tainan, Taiwan

Email: *L7894108@gmail.com, #andyfuh@mail.ncku.edu.tw

Copyright © 2014 by authors and Scientific Research Publishing Inc.

This work is licensed under the Creative Commons Attribution International License (CC BY).

http://creativecommons.org/licenses/by/4.0/

Received 7 August 2014; revised 5 September 2014; accepted 1 October 2014

ABSTRACT

We investigated optically controllable gray-level diffraction from a body-centered tetragonal photonic crystal that was based on an azo-dye-doped holographic polymer dispersed liquid crystal. The sample is fabricated by use of two-beam interference with multi-exposure. Bichromatic pumping beams at various intensities were used to pump the sample to change the concentration of the cis isomer and, in turn, modulate the effective index of the photonic crystals as well as their diffraction intensity. Three pumping processes were utilized to produce gray-level switching of diffractive light. This study demonstrates the optimum gray-level to be 15-level of up-step and down-step. The simulation of the diffraction intensity under bichromatic pumping sources was also studied.

Keywords:

All Optically Control, Gray-Level, Photonic Crystals, HPDLC

1. Introduction

The azo-dye-doped liquid crystal (LC) system has recently been extensively investigated because the tans-cis photoisomerization of azobenzene derivatives disturbs the orientation of LCs upon illumination. The process is reversible and rapidly light-driven, and been studied in many potential applications, including of Z-scan [1] , photorefractive grating [2] -[6] , photoalignments [7] [8] , display [9] , photonic crystals (PCs) [10] [11] , microring resonator [12] , and microlaser [13] . Optical tuneability is dominated by the absorptions of the photochromic molecules, including the quantum efficiency, absorption cross-section, and rate constant of the thermal cis-trans back-relaxation (lifetime) of the dye during photoisomerization, which governs the characteristics of the switching. Additionally, absorbing PC doped with azobenzene molecule had been proposed and investigated by Y. J. Liu et al. [14] [15] . During the pumping process, the diffraction properties of these absorbing PCs can be switched, in which the diffraction intensity gradually decreased. However, the diffraction intensity depends on the pumping times and illumination duration.

In our previous studies, we discussed the optical switching of diffractive light based on azo-dye-doped holographic polymer-dispersed liquid crystal (HPDLC) films, which were performed by controlling the index modulation of LC droplets embedded in the polymer matrix. The cis isomer disrupts the order parameter of LC droplets, which results in the reduction of the LC droplet effective index. The concentration of the trans-cis isomers is affected by the intensity and wavelength of the pumping laser beams [10] . Furthermore, the reversible all-optical switch of diffractive light from a body-centered tetragonal photonic crystal (BCT PC) has been investigated via photoisomerization induced by bichromatic pumping beams [11] . In addition, controlling the diffraction intensity was preliminarily realized using two different wavelength laser beams as bichromatic pumping sources. However, the relationship between the diffraction intensity with the intensities of dichromatic pumping beams is still unclear. In this study, we further elaborate the controlling of diffraction intensity via bichromatic pumping beams with the novel three pumping processed, and successfully demonstrate the gray-level controlling. For the optimal pumping condition, 15-level up-step and down-step of diffraction intensity were demonstrated by combining various pumping intensities of bichromatic pumping sources.

2. Experiments

An empty cell was fabricated using two pieces of indium-tin-oxide-coated glass separated by 20 μm-thick spacers. The homogeneous mixture used to fabricate optically switchable PCs was a PDLC film, including 24.9 wt% nematic LC E7 (ne = 1.7462, no = 1.5216, at 25˚C for λ = 589 nm; clearing temperature ~61˚C, from Fusol materials), 69.8 wt% polymer NOA81 (refractive index of cured polymer is nP ~ 1.56, from Norland), 1.6 wt% photoinitiator Rose Bengal (from Aldrich), and 3.7 wt% azo component M 5C (home-synthesized by Prof. Liu [16] ). The mixture was then filled into the empty cell through capillary action. BCT PCs were fabricated using the same setup in our previous studies [10] [11] [17] [18] . The reference (~500 mW/cm2) and object beams (~400 mW/cm2) simultaneously illuminate the sample. The former was normally incident to the sample, whereas the latter was incident at an angle of ~39˚ to the normal incident beam. The sample was placed on a rotating stage that revolves around the reference beam. The sample was exposed to two-beam interference and subjected to intervals of 90˚ rotations, i.e., exposed at 0˚, 90˚, 180˚, and 270˚. To form a uniform PC structure, the exposure time of each exposure was 2 s, and the sample is exposed by 400 times.

As mentioned above, M5C is an azobenzene derivative (a 4-pentyloxy-phenyl-4-methoxyphenyldiazene photochromic molecule) whose azobenzenes can undergo reversible photoisomerization between two molecular forms (trans-cis isomers) upon irradiation. The trans isomer is thermally stable as a ground state and transforms into a cis isomer after excitation by purple light (λ = 350 - 400 nm; π-π* molecular transition). The photoisomerization of cis isomers to trans isomers occurs by itself or is accelerated under visible-light exposure. Therefore, in this study, purple and green laser beams are utilized to optically control the diffraction intensity. Figure 1 shows the experimental setup used to measure the optically controllable gray-level of the BCT PC. A TE-polarized Ar+ laser (green, λ = 514.5 nm, intensity = 0 - 550 mW/cm2) beam and a diode laser (purple, λ = 405 nm, intensity = 0 - 150 mW/cm2) were used to illuminate the sample at 30˚, whereas a He-Ne laser was used to probe the BCT sample. In the experiment, apertures and shutters were used to control the exposure time of the green and purple laser beams, and filters were placed behind detector 1 and 3 to prevent laser light reflection.

3. Results and Discussion

Prior to demonstrating the gray-level, diffraction intensity at various pumping intensity of green or purple laser was presented, in which diffractive light form BCT PC was detected by detector 3. Figure 2 shows the diffraction intensity as a function of pumping intensity of green/purple laser beam at an exposure time of 40 s. As

Figure 1. Experimental setup used to study optically controllable gray-level from a HPDLC-based PC; NDF: neutral density filter; S: shutter; A: aperture; F: filter; D: detector.

Figure 2. The change in diffraction intensity with the sample being pumped by the green/purple laser beam at varying intensities.

shown in Figure 2, the diffraction intensity decreases progressively upon illumination of the green laser and purple laser with increasing intensity, respectively, at room temperature (~25˚C). The photoisomerization of M5C produces trans isomer transformation into cis isomer, and the diffraction intensity weakens progressively with the pumping intensity of green or purple laser beam. However, the wavelength of the pumping purple laser is close to the absorption band that generates a higher cis isomer concentration than that of the green laser. The high cis isomer concentration induces the transition of LCs in the voids into an isotropic state. The diffraction intensity eventually reached minimum after the pumping intensity exceeded 100 mW/cm2 of the green laser beam (120 mW/cm2 of the purple laser beam) because the photoisomerization process had reached dynamic equilibrium.

In this study, the up-step and down-step of gray-level based on bichromatic optical switch were investigated as the BCT PC was simultaneously pumped by purple and green laser beams. Three pumping processes are studied and denoted as following:

1) fixed the intensity of green laser and variable intensity of purple laser;

2) fixed it of purple laser and variable intensity of green laser;

3) variable intensities of green and purple lasers.

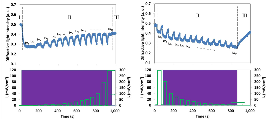
Figure 3(a) (Figure 3(b)) presents the gray-level up-step (down-step) at the first pumping condition 1, in

(a) (b)

Figure 3. Gray-level (a) up-step and (b) down-step based on a constant intensity of green laser with varying intensities of the purple laser. The corresponding pumping codition is presented in inset.

which the curve shows a level up (level down) of the diffraction intensity. The insets indicate the corresponding pumping intensity of the green and purple lasers for up-step and down-step. As seen from Figure 3(a) and Figure 3(b), when the sample was not pumped, the diffraction intensity exhibited its maximum, as shown in region I. In region II, pumping laser beams were switched on to pump the sample. To demonstrate the feasibility of gray-level up-step (down-step), a lower (higher) diffraction intensity was initially achieved, which presents more number of levels can be switched. In Figure 3(a), referring to Figure 2, the sample was initially pumped by the purple laser with an intensity of 120 mW/cm2 and the diffraction intensity rapidly drops and achieves the lowest intensity, Lv1. To perform the level up, the intensity of green laser was fixed at 10 mW/cm2, and the intensity of purple laser was gradually decreased. When the green laser beam was added to the pumping purple laser, the diffraction intensity increased because the cis isomers photoisomerized back to trans isomers, which promotes the organization of the host LCs. Additionally, more trans isomers were induced to increase the index modulation by decreasing the intensity of purple laser. Thus, the diffraction intensity gradually increased. In region III, the diffraction intensity slightly recovered to that in region I after the pumping laser beams were turned off. On the other hand, in the gray-level down-step at reverse pumping conditions, Lv1 was obtained when the sample was initially pumped by the green laser at an intensity of 10 mW/cm2. When the purple laser beam was added to the pumping green laser, the diffraction intensity decreased because the trans isomer photoisomerized to cis isomer, which weakened the diffraction intensity. However, based on the jump from Lv1 to Lv2, the low intensity of green laser is believed to induce a limited amount of purple laser-induced cis isomers back to trans isomers. When the intensity of purple laser was increased, more trans isomers were converted to cis isomers, which disturbed the host LCs. Consequently, the diffraction intensity decreased with increasing pumping intensity of the purple laser. Moreover, as seen in Figure 3(b), the diffraction intensity became saturated after Lv6. When the green laser was turned off, the diffraction intensity jumped to Lv13 because of the maximum concentration of cis isomers induced by the purple laser at an intensity of 120 mW/cm2. The pumping condition 2 was then investigated to improve the gray-level.

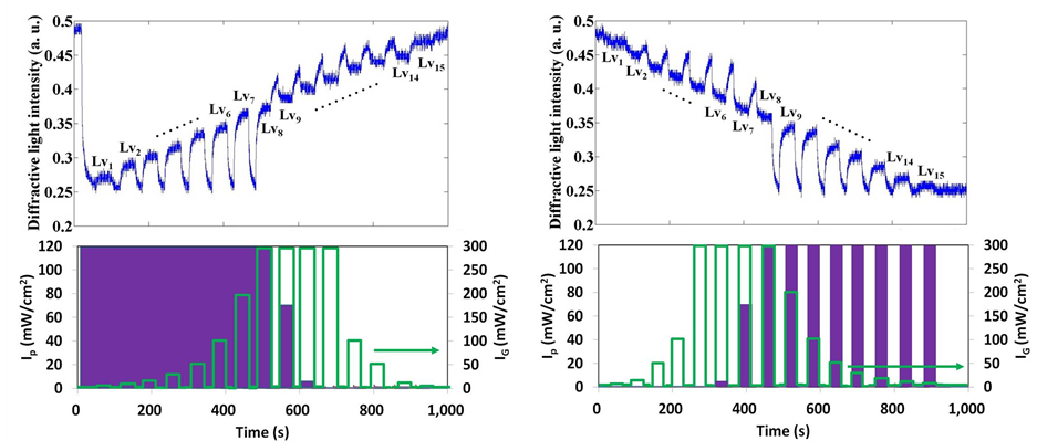
For pumping condition 2, Figure 4(a) and Figure 4(b) respectively show the gray-level up-step and down-step, in which the sample was continuously pumped by the purple laser at an intensity of 120 mW/cm2, while the green laser beam simultaneously irradiated the sample with varying intensities. The corresponding intensity of bichromatic pumping beams for up-step and down-step is given in insets of Figure 4. The cis isomer concentration can be modulated by combining the intensities of the bichromatic pumping beams; hence, optically controllable diffraction of up-step and down-step can be performed. However, in the up-step displayed in Figure 4(a), the results show that the diffraction intensity became saturated after Lv9. Although the intensity of the green laser increased and exceeded 100 mW/cm2, the high intensity of the purple laser dominated the

(a) (b)(c)

Figure 4. Gray-level (a) up-step and (b) down-step based on a constant intensity of the purple laser with varying intensities of the green laser. The corresponding pumping codition is presented in inset; (c) The diffraction intensity versus the intensity of the green laser beam with the intensity of the purple laser beam fixed at 10, 60, and 120 mW/cm2.

concentration of the cis isomers, and the diffraction intensity became saturated. In addition, as seen in Figure 4(b) and similar to the pumping condition 1 in Figure 3(b), the curve also shows a jump from Lv1 to Lv2. Therefore, simultaneously varying pumping intensities of the green and purple lasers were further investigated. Figure 4(c) shows the diffractive intensity as a function of the intensity of the green laser beam under purple laser beam at intensities of 10, 60, and 120 mW/cm2. As seen in Figure 4(c), a lower Lv1 is required to obtain more levels in the up-step. Thus, more than 12 gray-level were observed by the purple laser at a high intensity (IP = 120 mW/cm2).

In this work, the simulation of the diffraction intensity under bichromatic pumping sources was studied. The HPDLC-based BCT sample contained the polymer matrix and voids at the lattice points, which in turn contained the LC/azo-dye mixture. The dynamic equilibrium of the as-pumped trans and cis isomers at various exposure conditions are the key to diffraction beam switching. The cis isomer fraction (Ncis) can be expressed as [19] :

, (1)

where IP and IG are the light intensities of the purple and green pumping laser beams, respectively; σt-c and σc-t are the absorption cross-section of the trans-cis and cis-trans transitions, respectively; φt-c and φc-t are the quantum efficiencies of the trans-cis and cis-trans transitions, respectively; and τ is the relaxation time to return to steady state in the absence of light. The first term describes the light-induced trans-cis transition, the second term represents the cis-trans transition, and the third term accounts for the relaxation of the cis isomer. In the steady state, the fraction of cis isomers can be simplified as

, (2)

where, and XTG, XTP are the threshold intensity of the green, purple laser beams and the saturation fraction of trans isomers induced by the green, purple laser beams. These are defined as follows:

(3)

(Ncis)eq can be numerically simulated from Equation (2) with parameters, and XTG, XTP at various pumping conditions. To calculate the value of XTG and XTP, a test cell consisting of nematic LC and azo-dye was pumped with UV light (λ = 365 nm). From the time-dependent absorption spectra, XTG and XTP were calculated as 0.996 and 0.9548, respectively. As mentioned above, the effective refractive index of LCs in voids decreased

with the cis-isomer fraction and can be assumed as. The BCT PC

was fabricated based on holographic interference, and its diffraction intensity was similar to the volume grating and proportional to, where Δn is the refractive index difference between LCs in voids and polymer matrix and equals (nLC)eff – nP. Figure 5(a) and Figure 5(b) show the simulated diffraction intensity based on Equation (2) when the sample was pumped by green and purple laser, respectively. In simulation, parameters and were set at 5 and 15 mW/cm2, respectively. As shown in Figure 5(a), diffraction intensity decreased much faster by a purple pumping laser beam than that by a green laser beam. Figure 5(b) shows the simulated diffraction intensity under excitation by the purple (IP = 10, 60, 120 mW/cm2) and green pumping laser beams (intensity ranges from 0 mW/cm2 to 200 mW/cm2), simultaneously. When the intensity of the green laser increased, the diffraction intensity also increased because of the reduction in Ncis. The reason is believed that the green laser transformed the cis isomers, which were generated by the purple pumping laser, to trans isomers. The simulation results are coincident with the experimental observations shown in Figure 2 and Figure 4(c).

In the pumping condition 3, optically controllable gray-level based on the combination of various pumping intensities of the green and purple lasers were demonstrated. Figure 6(a) and Figure 6(b) present the gray-level up-step and down-step of the diffraction intensity, respectively, based on the corresponding pumping intensities shown in inset, respectively. Similarly in Figure 6(a), the sample was initially pumped by a purple laser at an intensity of 120 mW/cm2, and the diffraction intensity achieved the lowest level. To perform the level up, before Lv8, the intensity of the green laser was increased to induce a gradual increase in diffraction intensity. However, as seen in Figure 4(a), the diffraction intensity became saturated after Lv9 because of the high cis isomer concentration induced by the high-intensity purple laser. Hence, after Lv8 in the pumping condition 3, we can further increase the diffraction intensity by significantly reducing the intensity of the purple laser. In addition, after Lv11, the purple laser was turned off and the pumping intensity of the green laser was decreased to promote the increase in diffraction intensity. Figure 6(b) presents the down-step gray-level at the reverse pumping condition with respect to that in the up-step. As seen in Figure 6, both up-step and down-step of the diffractive intensity were demonstrated to be 15 gray-level, in which the diffraction intensity is linearly dependent with the pumping intensities.

(a) (b)

Figure 5. (a) Simulated diffraction intensity versus the pumping intensity of the green laser/purple laser; (b) Simulated diffraction intensity versus the pumping intensity of the green laser with the pumping intensity of the purple laser beam fixed at 10, 60, and 120 mW/cm2.

(a) (b)

Figure 6. (a) Up-step and (b) down-step of the optically controllable gray-level based on the pumping condition shown in insets.

4. Conclusion

We investigated all-optically switchable diffraction of gray-level from a BCT PC under bichromatic optical pumping that consisted of two pumping lasers with different wavelengths. By illuminating purple/green light onto the BCT PCs, the diffraction intensity varied as a result of different pumping conditions. In this study, 15-level up-step and down-step were demonstrated at the optimum pumping condition. Simulation of diffraction intensity was carried out and displayed a similar tendency with the experimental results. For properly designation of structure, the all-optically controllable PC may be applied as an optical modulator to change the intensity, phase, and polarization of diffractive light. Also, such a device possesses potential for integrated photonics and optical communication devices. Moreover, the all-optically controllable PC can be extended to a wide visible band by replacing the azo-dye whose absorption band is out of that of application.

Acknowledgements

The authors would like to thank the Ministry of Science and Technology (MOST) of Taiwan for financially supporting this research under Grant No. NSC 101-2112-M-006-011-MY3. Additionally, this work is partially supported by the Top University Program of the National Cheng Kung University as well.

References

  1. Lin, H.C., Chu, C.W., Li, M.S. and Fuh, A.Y.-G. (2011) Biphotonic-Induced Reorientation Inversion in Azo-Dye- Doped Liquid Crystal Films. Optics Express, 19, 13118-13125. http://dx.doi.org/10.1364/OE.19.013118
  2. Klysubun, P. and Indebetouw, G. (2002) Transient and Steady State Photorefractive Responses in Dye-Doped Nematic Liquid Crystal Cells. Journal of Applied Physics, 91, 897-903. http://dx.doi.org/10.1063/1.1427431
  3. Urbas, A., Klosterman, J., Tondiglia, V.P., Natarajan, L.V., Sutherland, R.L., Tsutsumi, O., Ikeda, T. and Bunning, T.J. (2004) Optically Switchable Bragg Reflectors. Advanced Materials, 16, 1453-1456. http://dx.doi.org/10.1002/adma.200400206
  4. Liu, Y.J., Zheng, Y.B., Shi, J., Huang, H., Walker, T.R. and Huang, T.J. (2009) Optically Switchable Gratings Based on Azo-Dye-Doped, Polymer-Dispersed Liquid Crystals. Optics Letters, 34, 2351-2353. http://dx.doi.org/10.1364/OL.34.002351
  5. Hsiao, V.K.S. and Chang, W.-T. (2010) Optically Switchable, Polarization-Independent Holographic Polymer Dispersed Liquid Crystal (H-PDLC) Gratings. Applied Physics B, 100, 539-546. http://dx.doi.org/10.1007/s00340-010-3939-4
  6. Sio, L.D., Serak, S., Tabiryan, N., Ferjani, S., Veltri, A. and Umeton, C. (2012) Composite Holographic Gratings Containing Light Responsive Liquid Crystals for Visible Bichromatic Switching. Advanced Materials, 22, 2316-2319. http://dx.doi.org/10.1002/adma.200903838
  7. Fuh, A.Y.-G. and Cheng, K.T. (2006) Partially Erasable Photoalignment Layer Formed in Dye-Doped Liquid Crystal Films. Japanese Journal of Applied Physics, 45, 8778-8781. http://dx.doi.org/10.1143/JJAP.45.8778
  8. Yaroshchuk, O. and Reznikov, Y. (2012) Photoalignment of Liquid Crystals: Basics and Current Trends. Journal of Materials Chemistry, 22, 286-300. http://dx.doi.org/10.1039/c1jm13485j
  9. Fuh, A.Y.-G., Wu, Z.-H., Cheng, K.-T., Liu, C.-K. and Chen, Y.-D. (2013) Direct Optical Switching of Bistable Cholesteric Textures in Chiral Azobenzene-Doped Liquid Crystals. Optics Express, 21, 21840-21846. http://dx.doi.org/10.1364/OE.21.021840
  10. Li, M.S., Fuh, A.Y.-G. and Wu, S.T. (2011) Optical Switch of Diffractive Light from a BCT Photonic Crystal Based on HPDLC Doped with Azo Component. Optics Letters, 36, 3864-3866. http://dx.doi.org/10.1364/OL.36.003864
  11. Li, M.S., Fuh, A.Y.-G., Liu, J.-H. and Wu, S.-T. (2012) Bichromatic Optical Switch of Diffractive Light from a BCT Photonic Crystal Based on an Azo Component-Doped HPDLC. Optics Express, 20, 25545-25553. http://dx.doi.org/10.1364/OE.20.025545
  12. Wang, C.T., Tseng, C.W., Yu, J.H., Li, Y.C., Lee, C.H., Jau, H.C., Lee, M.C., Chen, Y.J. and Lin, T.H. (2013) Optical Bistability in a Silicon Nitride Microring Resonator with Azo Dye-Doped Liquid Crystal as Cladding Material. Optics Express, 21, 10989-10994. http://dx.doi.org/10.1364/OE.21.010989
  13. Lin , J.-D. , Hsieh, M.-H., Wei , G.-J., Mo, T.-S., Huang, S.-Y. and Lee , C.-R. (2013) Optical Tunable/Switchable Omnidirectionally Spherical Microlaser Based on Dye-Doped Cholesteric Liquid Crystal Microdroplet with an Azo-Chiral Dopant. Optics Express, 21, 15765-15776. http://dx.doi.org/10.1364/OE.21.015765
  14. Liu, Y.J. , Dai, H.T. and Sun, X.W. (2011) Holographic Fabrication of Azo-Dye-Functionalized Photonic Structures. Journal of Materials Chemistry, 21, 2982-2986. http://dx.doi.org/10.1039/c0jm03368e
  15. Liu, Y.J. , Dai, H.T. , Leong, E.S.P., Teng, J.H. and Sun, X.W. (2012) Azo-Dye-Doped Absorbing Photonic Crystals with Purely Imaginary Refractive Index Contrast and All-Optically Switchable Diffraction Properties. Optical Materials Express, 2, 55-61. http://dx.doi.org/10.1364/OME.2.000055
  16. Liu, J.H. , Chou , Y.L. , Balamurugan, R., Tien, K.H. , Chuang, W.T. and Wu, M.Z. (2011) Optical Properties of Chiral Nematic Side-Chain Copolymers Bearing Cholesteryl and Azobenzene Building Blocks. Journal of Polymer Science, Part A: Polymer Chemistry, 49, 770-780. http://dx.doi.org/10.1002/pola.24490
  17. Li, M.S., Wu, S.T. and Fuh, A.Y.-G. (2010) Sensor for Monitoring the Vibration of a Laser Beam Based on Hologra- phic Polymer Dispersed Liquid Crystal Films. Optics Express, 18, 26300-26306. http://dx.doi.org/10.1364/OE.18.026300
  18. Li, M.S., Wu, S.T. and Fuh, A.Y.-G. (2011) Transverse Wave Propagation in Photonic Crystal Based on Holographic Polymer Dispersed Liquid Crystal. Optics Express, 19, 13428-13435. http://dx.doi.org/10.1364/OE.19.013428
  19. Statman, D. and Jánossy, I. (2003) Study of Photoisomerization of Azo Dyes in Liquid Crystals. Journal of Chemical Physics, 118, 3222-3232. http://dx.doi.org/10.1063/1.1538598

NOTES

*#Corresponding authors.