Journal of Cosmetics, Dermatological Sciences and Applications
Vol.07 No.02(2017), Article ID:77089,9 pages
10.4236/jcdsa.2017.72014
The Effects of Regional Climate and Aging on Seasonal Variations in Chinese Women’s Skin Characteristics
Eunjoo Kim1, Jiyeon Han1, Hyeokgon Park1, Minah Kim1, Beomjoon Kim2, Jaeho Yeon3, Liu Wei4, Lai Wei5, Haekwang Lee1*
1Skin Care Research Institute, Amorepacific R&D Center, Yongin, Korea
2Department of Dermatology, Chung-Ang University College of Medicine, Seoul, Korea
3Amore Pacific Shanghai R&I Center, Shanghai, China
4Department of Dermatology, the General Hospital of Air Force, Beijing, China
5Department of Dermatology, the Third Affiliated Hospital of Sun Yat-Sen University, Guangzhou, China

Copyright © 2017 by authors and Scientific Research Publishing Inc.
This work is licensed under the Creative Commons Attribution International License (CC BY 4.0).
http://creativecommons.org/licenses/by/4.0/



Received: April 4, 2017; Accepted: June 19, 2017; Published: June 22, 2017
ABSTRACT
OBJECTIVES: Skin characteristics change depending on the external environment such as UV, temperature and humidity. But the research how to affect the regional climate, age and seasonal variation on the skin conditions was not well studied. Therefore, we investigated the seasonal variation in the skin by comparing Beijing women and Guangzhou women by age groups. METHODS: 440 healthy Chinese women participated in this study. The skin hydration, sebum secretion, TEWL and skin pH were measured on the cheek front. All the parameters were analyzed in terms of the age, season and region. RESULTS: The skin hydration in Beijing was lower than that in Guangzhou and significantly decreased during winter than summer. The sebum secretion in their 20s and 30s was significantly high in summer in both regions, and this phenomenon was more remarkable in Guangzhou (p < 0.05). The skin pH increased with age during winter, but it decreased in the old age groups in Beijing during summer. TEWL increased during winter, and differences in TEWL between summer and winter were greater in the old age groups. CON- CLUSIONS: Skin hydration and barrier function decreased more during a cold, dry winter than summer. The barrier dysfunctions such as an increase in TEWL and pH occurred more commonly in old age groups. The greater the differences between summer and winter climates, the greater damage to skin barrier and skin hydration. The sebum secretion was more affected by hot, humid summers. Further, the aged skin was influenced by seasonal variation except for sebum secretion.
Keywords:
Seasonal Variation, Regional Climate, Age, Chinese Skin, Skin Barrier

1. Introduction
As an organ on the outermost layer of the human body, the skin plays various roles such as protecting the internal tissue from external factors, regulating body temperature, excreting waste from the body, and responding to external stimuli [1] . Skin varies in color, structure, and characteristics by race [2] , and it may change under the influence of external environmental factors such as ultraviolet light, temperature, and humidity [3] . Skin conductance significantly decreases, whereas the transepidermal water loss (TEWL) and skin roughness significantly increases even when the skin is exposed to an extremely dry condition of less than or equal to 10% relative humidity (RH) or only a few hours (3 to 6 hours) [4] . In addition, a study of Japanese women confirmed that fine wrinkles and an uneven skin texture increase when the skin is exposed to a low humidity and then a high humidity [5] . In a previous study, we reported that exposure to a dry environment can cause premature aging by inducing fine wrinkles in the eye rims of young women [6] . Since temperature also affects skin, TEWL increases when the ambient temperature increases, whereas it decreases when RH increases. It has been reported that temperature has greater effects on TEWL than RH. Skin hydration also increases when temperature and humidity increase [7] . Galzote et al. compared the skin characteristics of Asian women from China, Japan, Korea, and India between summer and winter climates; in general, skin surface moisture and sebum secretion increased, whereas the TEWL and pH decreased in summer [8] .
We hypothesized that the varying effect of summer and winter climates on skin may differ in two regions with completely different climates as age increases. Therefore, we compared and assessed the skin characteristics of women living in Guangzhou and Beijing in China during the seasonal change of winter and summer.
2. Materials and Methods
2.1. Subjects
440 healthy Chinese women (Beijing 224, Guangzhou 216) aged between 20 and 65 years participated in this study from 2011 to 2012 (Table 1). The temperature and RH of the two seasons in each region are presented in Table 2. The women were Han Chinese and had lived in their regions for at least 5 years. Exclusion criteria were women with skin diseases and those who were pregnant or breastfeeding and so on. Formal informed consents were obtained in all volunteers.
2.2. Physical Assessment
All physical assessments were performed on the subject’s cheek front. The test
Table 1. Demographic characteristics of the study population. SD, standard deviation.
Table 2. Climates of the two regions. Source: 2005-2012 China meteorological administration.
sites were acclimated to the environment (22˚C ± 2˚C, 40% ± 10% RH) for 20 minutes, after they were washed with soap before the assessment was performed.
The skin surface pH and skin hydration were measured with a pH meter PH905 and Corneometerâ CM825 in MPA 580 (Courage + Khazaka Electronic GmbH Cologne, Germany). The Sebumeterâ SM815 in MPA 580 (Courage + Khazaka Electronic GmbHCologne, Germany) was used to quantify the amount (µg/cm2) of sebum on the test sites. We measured the TEWL of the stratum corneum with a Vapometer (Delfin Technologies, Ltd. Kuopio, Finland), which had a closed chamber system.
2.3. Statistical Analysis
SPSSâ version 22.0 (SPSS Inc. Chicago, USA)) was used to perform the statistical analysis. Normally distributed data were analyzed using the Kolmogorov-Smir- nov test. Differences among the physical parameters of the skin in the two regions were analyzed by age groups with the analysis of variance test. P-values less than 0.05 were considered statistically significant.
3. Results
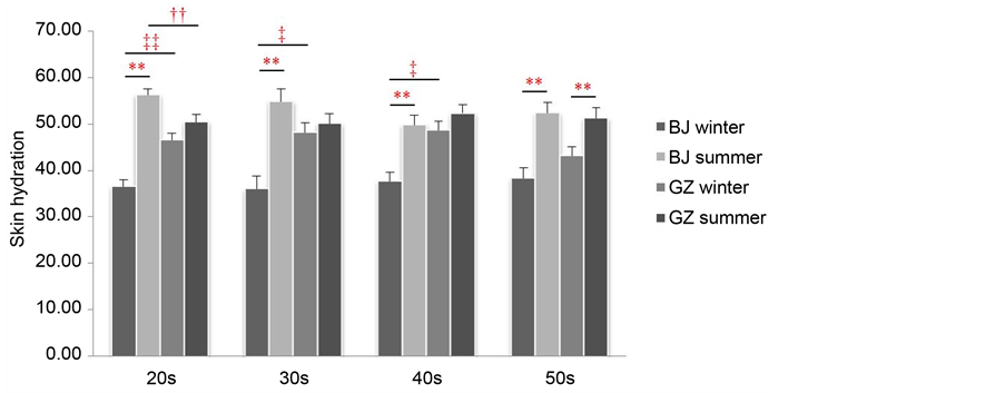
3.1. A Difference in Skin Hydration during Summer and Winter Was Greater in Beijing Women than in Guangzhou Women
The skin hydration of women in Beijing and Guangzhou did not correlate with age. Although the skin hydration of Beijing women significantly increased in all age groups during summer compared to winter, only the skin hydration of Guangzhou women in their 50s was significantly low during the winter (Figure 1). Among the other age groups, there was no difference in the skin hydration between winter and summer.
Skin hydration in winter was significantly lower in Beijing women than in Guangzhou women, except for women in their 50s. Although the skin hydration
Figure 1. The skin hydration during winter and summer in Beijing and Guangzhou women (mean± SE). BJ and GZ respectively indicate Beijing and Guangzhou. *, **; Significant differences between winter and summer, P < 0.05, <0.01. ‡, ‡‡; Significant differences between Beijing and Guangzhou in winter, P < 0.05, <0.01. †, ††; Significant differences between Beijing and Guangzhou in summer, P < 0.05, <0.01.
of women in their 20s during summer was significantly higher in Beijing women than in Guangzhou women, there was no significant difference among the other age groups.
3.2. Guangzhou Women Had Significantly More Sebum Secretion than Beijing Women, and the Amount Decreased Sharply during Summer after 40 Years Old in Both Regions
Among Beijing and Guangzhou women, those in their 20s and 30s had a significant difference in the amount of sebum secretion during summer and winter (Figure 2). In Beijing and Guangzhou women, the amount of sebum secretion significantly decreased in summer as the subjects’ age increased; in particular, the amount of sebum secretion tended to decrease sharply for those in their 20s and 30s. During winter in Beijing women, the amount of sebum secretion was slightly decreased as age increased; however, there was no correlation between sebum secretion and age in Guangzhou women.
3.3. Beijing Women’s Skin pH Was Higher in Winter, but Guangzhou Women’s Skin pH Had No Seasonal Variation
The skin pH during summer and winter had completely different patterns in Beijing and Guangzhou women (Figure 3). Although the skin pH increased with age during the winter in Beijing women, it significantly decreased in those in their 40s and 50s compared to those in their 20s and 30s during summer. Thus, the gap in the skin pH of women in their 40s and 50s between summer and winter significantly increased.
In Guangzhou women, the skin pH increased in proportion to age during summer and winter. Only women in their 20s had a significantly lower skin pH during the winter than in summer. The skin pH was not different between summer and winter in the other age groups. The skin pH during the winter was
Figure 2. The sebum secretion during winter and summer in Beijing and Guangzhou women (mean ± SE). BJ and GZ respectively indicate Beijing and Guangzhou. *, **; Significant differences between winter and summer, P < 0.05, <0.01. ‡, ‡‡; Significant differences between Beijing and Guangzhou in winter, P < 0.05, <0.01. †, ††; Significant differences between Beijing and Guangzhou in summer, P < 0.05, <0.01.
Figure 3. The skin pH during winter and summer in Beijing and Guangzhou women (mean ± SE). BJ and GZ respectively indicate Beijing and Guangzhou. *, **; Significant differences between winter and summer, P < 0.05, <0.01. ‡, ‡‡; Significant differences between Beijing and Guangzhou in winter, P < 0.05, <0.01. †, ††; Significant differences between Beijing and Guangzhou in summer, P < 0.05, <0.01.
significantly higher in Beijing women than in Guangzhou women. During summer, the skin pH of women in their 20s and 30s was significantly higher in Beijing women than in Guangzhou women, whereas the skin pH of women in their 40s and 50s was significantly higher in Guangzhou women than in Beijing women.
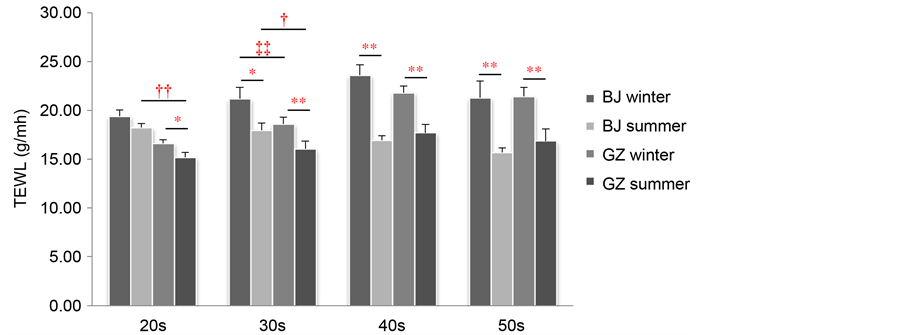
3.4. The TEWL Increased in Winter, and the Difference during Summer and Winter Was Greater in the Old Age Groups
TEWL increased more significantly in Beijing and Guangzhou women during winter than during summer, except for Beijing women in their 20s (Figure 4).
Figure 4. TEWL during winter and summer in Beijing and Guangzhou women (mean ± SE). BJ and GZ respectively indicate Beijing and Guangzhou. *, **; Significant differences between winter and summer, P < 0.05, <0.01. ‡, ‡‡; Significant differences between Beijing and Guangzhou in winter, P < 0.05, <0.01. †, ††; Significant differences between Beijing and Guangzhou in summer, P < 0.05, <0.01.
Women in their 40s and 50s had a greater difference in the TEWL between summer and winter than women in their 20s and 30s. The TEWL of women in their 20s during winter was significantly higher in Beijing women than in Guangzhou women. The TEWL of women in their 20s and 30s during summer was significantly higher in Beijing women than in Guangzhou women. There was no significant difference in the TEWL between Beijing and Guangzhou women in the other age groups.
4. Discussion & Conclusions
Beijing is very cold and dry with an average temperature of −1.60˚C ± 1.21˚C and humidity of 42.58% ± 4.17% during winter. In summer, it has a hot, humid climate with an average temperature of 26.31˚C ± 0.39˚C and humidity of 64.92% ± 2.60%. Thus, there is a greater difference in the temperature and humidity between winter and summer. Guangzhou is located on the southern coast in China, and even in winter, the climate is mild, not dry, with an average temperature of 14.82˚C ± 1.60˚C and humidity of 68.38% ± 5.81%. In summer, it has a hot, humid climate with an average temperature of 28.73˚C ± 0.47˚C and humidity of 76.75% ± 3.23%. Thus, there are significant climatic differences in winter and summer between these two regions. Because of these climatic differences, the skin of women in Beijing and Guangzhou was very different in terms of the skin hydration, skin pH, sebum secretion, and TEWL.
Although the skin hydration did not correlate with an increasing age [9] , skin dryness increased in those 60 - 70 years or older, resulting in xerosis [10] . In the present study, the skin hydration of Beijing and Guangzhou women aged 20 - 65 year did not correlate with age. As a result, we found that skin hydration significantly decreased during winter in Beijing where there are greater climatic differences between summer and winter. Since skin hydration reduces the water holding capacity of the stratum corneum at a cold temperature and low humidity, it causes skin dryness in Beijing women, as the humidity in winter is low in this region (around 40%). In addition, the indoor humidity is estimated to be lower in Beijing than in Guangzhou due to the use of indoor heating.
As the skin physiological parameters are greatly affected by seasonal variation, sebum is secreted more in a hot climate during summer, thereby causing very oily skin [11] . In summer, the amount of sebum secretion in women aged 20 - 30 year in the hot, humid city of Guangzhou was high, but the amount of sebum secretion of women aged more than 40 years decreased sharply. The difference in the amount of sebum secretion between summer and winter was greater only in women aged 20 - 30 years, and after 40 years old, there was a small difference in the amount of sebum secretion. In winter, the amount of sebum secretion negatively correlated with age, but the effect on age was smaller in winter than in summer. During winter, there was no correlation between age and sebum secretion in Guangzhou women.
The skin pH is the main factor that affects skin barrier functions, skin integrity, and skin microbial ecology. The stratum corneum forms the acid mantle by exogenous and endogenous mechanisms such as the Na+/H+ antiporter, secretory phospholipase, sebum, and sweat [12] . Therefore, when sweat secretion is higher in summer, the skin pH is low [13] .
As the skin ages, the skin pH increases [14] [15] . In the present study, the skin pH of older age groups increased during winter in Beijing women, and during summer and winter in Guangzhou women. However, in Beijing women during summer, the skin pH of those in their 40s and 50s significantly decreased. In addition, in Beijing women, the difference in the skin pH between summer and winter was greater for those in their 30s to 50s, except for those in their 20s. This phenomenon was more noticeable for those in their 40s and 50s. In Beijing, the climate is hot in the summer, which is very different from winter, so this may affect the sweat secretion of women in their 40s and 50s and thereby decrease the skin pH. In addition, in Guangzhou where the climatic difference between summer and winter is minimal, a difference in the skin pH between summer and winter only occurred in women in their 20s, whereas there was no large difference in the other age groups. Therefore, an abrupt climatic difference between summer and winter may affect one’s skin pH, and it may have more effects on the skin of elderly women than younger women.
The TEWL generally tends to increase during the cold, dry season [13] [16] . In the current study, it significantly increased during winter in Guangzhou and Beijing women; the TEWL was higher in cold, dry Beijing than in Guangzhou. In addition, the TEWL increased in winter with an increasing age. Since the recovery of skin barrier is delayed in elderly groups compared to young groups when damage occurs due to external stress such as temperature and humidity [17] , it is estimated that the TEWL in winter increases more in old age groups.
In conclusion, in Beijing where the winter is cold and dry, and the climatic difference between summer and winter is greater, Chinese women experienced decreased skin hydration and increased skin pH and TEWL in winter than in summer. In particular, barrier dysfunction such as an increased TEWL and pH occurred more significantly in the old age groups. In Guangzhou where the climatic difference between summer and winter is minimal since the winter is warm and very humid, the amount of sebum secretion of young women in their 20s to 30s decreased sharply in winter, but there was no significant difference in the other skin characteristics. Thus, the damage to skin barrier function caused by the climatic difference between summer and winter increases as the climatic variation and age increase.
Conflict of Interest
The authors state no conflict of interest.
Cite this paper
Kim, E., Han, J., Park, H., Kim, M., Kim, B., Yeon, J., Wei, L., Wei, L. and Lee, H. (2017) The Effects of Regional Climate and Aging on Seasonal Variations in Chinese Women’s Skin Characteristics. Journal of Cosmetics, Dermatological Sciences and Applications, 7, 164-172. https://doi.org/10.4236/jcdsa.2017.72014
References
- 1. Darlenski, R. Kazandjieva, J. and Tsankov, N. (2011) Skin Barrier Function: Morphological Basis and Regulatory Mechanisms. Journal of Clinical Medicine, 4, 36-45.
- 2. Wesley, N. and Maibach, H. (2003) Racial (Ethnic) Differences in Skin Properties. American Journal of Clinical Dermatology, 4, 843-860.
https://doi.org/10.2165/00128071-200304120-00004 - 3. Singh, B. and Maibach, H. (2013) Climate and Skin Function: An Overview. Skin Research and Technology., 19, 207-212.
https://doi.org/10.1111/srt.12043 - 4. Egawa, M., Oguri, M., Kuwahara, T. and Takahashi, M. (2002) Effect of Exposure of Human Skin to a Dry Environment. Skin Research and Technology., 8, 212-218.
https://doi.org/10.1034/j.1600-0846.2002.00351.x - 5. Tsukahara, K., Hotta, M., Fujimura, T., Haketa, K. and Kitahara, T. (2007) Effect of Room Humidity on the Formation of Fine Wrinkles in the Facial Skin of Japanese. Skin Research and Technology., 13, 184-188.
https://doi.org/10.1111/j.1600-0846.2007.00209.x - 6. Kim, E.J., Han, J.Y., Lee, H.K., et al. (2014) Effect of the Regional Environment on the Skin Properties and the Early Wrinkles in Young Chinese Women. Skin Research and Technology., 20, 498-502.
https://doi.org/10.1111/srt.12144 - 7. Cravello, B. and Ferri, A. (2008) Relationships between Skin Properties and Environmental Parameters. Skin Research and Technology., 14, 180-186.
https://doi.org/10.1111/j.1600-0846.2007.00275.x - 8. beradesca, E., Leveque, J.-L. and Maibach, H.I. (2007) Ethnic Skin and Hair. Informa Healthcare USA Inc., New York, 113-115.
- 9. Galzote, C., Estanislao, R., Suero, M.O., et al. (2014) Characterization of Facial Skin of Various Asian Populations through Visual and Non-Invasive Instrumental Evaluations: Influence of Seasons. Skin Research and Technology., 20, 453-462.
https://doi.org/10.1111/srt.12140 - 10. Diridollou, S., De Rigal, J., Querleux, B., Leroy, F. and Holloway Barbosa, V. (2007) Comparative Study of the Hydration of the Stratum Corneum between Four Ethnic Groups: Influence of Age. International Journal of dermatology, 46, 11-14.
https://doi.org/10.1111/j.1365-4632.2007.03455.x - 11. Youn, S.W., Na, J.I., Choi, S.Y., Huh, C.H. and Park, K.C. (2005) Regional and Seasonal Variations in Facial Sebum Secretions: A Proposal for the Definition of Combination Skin Type. Skin Research and Technology, 11, 189-195.
https://doi.org/10.1111/j.1600-0846.2005.00119.x - 12. Fluhr, J.W., Behne, M.J., Brown, B.E., et al. (2004) Stratum Corneum Acidification in Neonatal Skin: Secretory Phospholipase A2 and the Sodium/Hydrogen Antiporter-1 Acidify Neonatal Rat Stratum Corneum. Journal of Investigative Dermatology, 122, 320-329.
https://doi.org/10.1046/j.0022-202X.2003.00204.x - 13. Wan, M.J., Su, X.Y., Zheng, Y., et al. (2015) Seasonal Variability in the Biophysical Properties of Forehead Skin in Women in Guangzhou City, China. International Journal of Dermatology, 54, 1319-1324.
https://doi.org/10.1111/ijd.12741 - 14. Schreml, S., Zeller, V., Meier, R.J., et al. (2012) Impact of Age and Body Site on Adult Female Skin Surface pH. Dermatology, 224, 66-71.
https://doi.org/10.1159/000337029 - 15. Choi, E.-H., Man, M.-Q., Xu, P., et al. (2007) Stratum Corneum Acidification Is Impaired in Moderately Aged Human and Murine Skin. Journal of Investigative Dermatology, 127, 2847-2856.
https://doi.org/10.1038/sj.jid.5700913 - 16. Engebretsen, K.A., Johansen, J.D., Kezic, S., Linneberg, A. and Thyssen, J.P. (2016) The Effect of Environmental Humidity and Temperature on Skin Barrier Function and Dermatitis. Journal of the European Academy of Dermatology and Venereology, 30, 223-249.
https://doi.org/10.1111/jdv.13301 - 17. Denda, M. (2002) New Strategies to Improve Skin Barrier Homeostasis. Advanced Drug Delivery Reviews, 54, S123-S130.
https://doi.org/10.1016/s0169-409x(02)00115-1






