International Journal of Organic Chemistry
Vol.08 No.03(2018), Article ID:86498,11 pages
10.4236/ijoc.2018.83022
Synthesis, Characterization and Antimicrobial Studies of Co(II), Ni(II), Cu(II) and Zn(II) Complexes of (E)-2-(4-Dimethylbenzydimino)-Glycylglycine, (Glygly-DAB) a Schiff Base Derived from 4-Dimethylaminobenzaldehyde and Glycylglycine
Maurice Kuate1,2, Mariam Asseng Conde2*, Katia N. Nchimi1, Awawou G. Paboudam1, Sally-Judith E. Ntum1, Peter T. Ndifon1
1Department of Inorganic Chemistry, Faculty of Science, University of Yaounde 1, Yaoundé, Cameroon
2Department of Chemistry, Faculty of Science, University of Douala, Douala, Cameroon

Copyright © 2018 by authors and Scientific Research Publishing Inc.
This work is licensed under the Creative Commons Attribution International License (CC BY 4.0).
http://creativecommons.org/licenses/by/4.0/



Received: March 28, 2018; Accepted: August 4, 2018; Published: August 7, 2018
ABSTRACT
A tridentate Schiff base ligand, (E)-2-(4-dimethylbenzydimino) glycylglycine (glygly-DAB), derived from the condensation of 4-Dimethylaminobenzaldehyde (DAB) and glycylglycine (glygly) together with its Co(II), Ni(II), Cu(II) and Zn(II) complexes have been synthesized and characterized using various physico-chemical methods including C,H,N elemental analysis, melting point determination, molar conductivity measurement, IR, 1H NMR and UV-Vis. The ligand and metal complexes were screened in vitro for antimicrobial and antifungal activities on four bacterial strains (Staphylococcus aureus, Escherichia coli, Salmonella thyphi and Pseudomonas aeruginosa) and two fungal strains (Candida albicans and Cryptococcus neoformans). glygly-DAB showed remarkable antifungal activities on all the fungal strains and antibacterial activities on one bacterial strain.
Keywords:
Schiff Base Ligand, Glycylglycine, Complexes, Antimicrobial Activities, Spectroscopy

1. Introduction
Schiff bases are an important class of ligands due to their synthetic flexibility, their selectivity, their ability to act as multidentate N- and O-donor ligands and their structural resemblance to natural biological substances [1] [2] . Schiff bases have been shown to exhibit a broad range of potential applications because of the diversity observed in their structures [1] - [6] . They are good chelators forming stable coordination compounds with transition metal ions using mostly the imine linkage, characteristic of the Schiff bases [1] [2] [3] [4] . The azomethine (N=CH-) linkage is essential for biological activity [6] [7] [8] .
The emergence of drug-resistant bacterial strains has become a world-wide cause for concern [4] - [9] . The increasing resistance of microbes to antibacterial and antifungal drugs has necessitated the search for new compounds to target pathogenic microbes. The incorporation of metal-based systems into antibacterial molecules is expected to enhance the bactericidal or fungicidal properties of these drugs. Complexes of Schiff bases derived from amino acids have been extensively studied as potential antibacterial, antifungal and anticancer agents [4] [10] [11] [12] . Considerable effort has been devoted to the synthesis, characterization, and antimicrobial properties of metal complexes of Schiff bases derived from amino acids [4] [12] but little attention has been paid to systems involving simple peptides [13] . We report here the synthesis, characterization and antimicrobial activity of a Schiff base derived from the peptide, glycylglycine and 4-Dimethylaminobenzaldehyde and its Co(II), Ni(II), Cu(II) and Zn(II) complexes.
2. Experimental
2.1. Materials and Methods
All reagents were analytical grade, obtained from commercial sources and were used without further purification. The metal contents in the complexes were estimated by complexometric titrations. C, H and N elemental analyses were performed using a PE 2400 CHN/O/S Elemental Analyser. IR spectra were recorded using a KBr disc on an ALPHA-P spectrometer obtained from BRUKER in the 3800 ~ 400 cm−1 region. Electronic spectra were recorded on a HACH DR-3900 UV/VIS spectrometer. Molar conductance measurements of aqueous solutions of the complexes (10−3 M) were measured using a CD810 Solea Tacussel conductivity meter. The melting points of the compounds were determined using a KOFLER bench from LEICA VMHB. The micro-organisms were obtained from the Phytobiochemistry Laboratory of the University of Yaoundé 1.
2.2. Synthesis
2.2.1. Synthesis of Schiff Base Ligand, Glygly-DAB
The Schiff base ligand, glygly-DAB was synthesized according to the general synthetic procedure [7] [8] by the condensation of glycylglycine with 4-Dimethylaminobenzaldehyde.
An ethanolic solution of 4-Dimethylaminobenzaldehyde (5 mmol) was added drop wise to a solution of glycylglycine (5 mmol) and KOH (5 mmol) in ethanol and the mixture heated under reflux for 3 hours. After concentrating the solution, a yellowish precipitate was obtained which was filtered, washed several times with ethanol and air-dried at room temperature. Yield: 72%, m.p 56˚C; Anal. Calc. (Found): C: 51.81 (51.93); H: 5.35 (5.57); N: 13.94 (13.84). 1H NMR (DMSO; ppm): δ 9.85 (s, 1H; -CH=N); 8.40 (s, 1H; N-H); 7.1 - 7.9 (m, 4H; phenyl ring H); δ 3.2 - 3.4 (s, 4H; -CH2); 2.75 (m, 6H; -CH3).
2.2.2. Synthesis of Metal Complexes
A methanoic solution of the metal Chloride (1 mmol) was added drop wise to a solution of (E)-2-(4-dimethylbenzydimino) glycylglycine (1mmol) in ethanol. The mixture was heated under reflux for 3hours and the coloured precipitates obtained were filtered, washed several times with methanol and air-dried at room temperature.
2.3. Antimicrobial Screening
In vitro Antimicrobial activity of the ligands and corresponding complexes were done in the Laboratory unit of Yaoundé Central Hospital and the phytobiochemistry laboratory of the University of Yaounde 1, and tested against four bacterial species: Staphylococcus aureus, Escherichia coli, Salmonella thyphi and Pseudomonas aeruginosa and two fungal species: Candida albicans and Cryptococcus neoformans.
2.3.1. Screening Method
The antimicrobial and antifungal screening were performed by the disc diffusion method [14] . This technique is based on the antimicrobial and antifungal agent's capacity to distribute to the surfaces of the inoculated nutrient agar, creating a zone of inhibition on the disc of which one can measure the diameter. Gentamycin was used as the standard antibacterial agent while Nystatin was used as the standard antifungal agent.
2.3.2. Preparation of the Discs and Incubation
40 mg of each compound was dissolved in 1 ml of 10% DMSO to obtain a final concentration of 40 mg/ml. A wattman N˚3 filter paper, 5mm diameter was placed on the surface of the sowed medium. 10µl of the compound was then added to every corresponding disc and allowed to stand for 15 minutes for pre-diffusion at room temperature before being hatched at 37˚C for 24 hours for the bacteria and 48 hours for the fungi. Every test was repeated three times. The antimicrobial and antifungal activities of each compound were determined by measuring its inhibition zone diameter in mm and the compounds with an inhibition zone diameter ≥ 13 mm are kept for the determination of their inhibitory minimal concentration [14] [15] .
3. Results and Discussions
3.1. Synthesis and Characterization
The physical characterization and analytical data of the ligands and their complexes are given in Table 1. The synthesis of the Schiff base ligand was carried out according to the equation in Figure 1. The ligands had the characteristic yellow colour of Schiff base ligands and its complexes were all coloured. The Ligand, glygly-DAB melted at melted at 56˚C as shown on Table 1 whereas the melting points of all its complexes were above 196˚C - 360˚C. glygly-DAB ligand and all its Complexes were soluble in distilled water. The high molar conductance values of all the metal complexes of glygly-DAB indicate that they behave as 1:1 electrolyte [13] as evidenced for the non-involvement of the counter ion group in coordination thus, showing the ionic character of the complexes.
Table 1. Physical properties and analytical data of the ligand and its complexes.
Figure 1. Equation for the synthesis of glygly-DAB.
3.2. 1H-NMR of Glygly-DAB
The 1H-NMR spectrum of glygly-DAB was recorded on an AC 250 NMR spectrometer using DMSO as internal standard in the 3 - 10 ppm region.1H-NMR spectrum of glygly-DAB shows the azomethine proton (H-C=N) signal at 9.8 ppm and amide proton (-CONH-) signal at 8.4 ppm. The aromatic protons show the multiplet (aromatic-CH‚ CH-) at 6.8 - 7.5 ppm. The two aliphatic protons (-CH2-) in the chain show the multiplet signal at 3.2 - 3.7 ppm and the methyl group signal (-CH3) appear at 2.75 ppm. Based on the above analysis, the 1H-NMR spectrum and proposed structure of glygly-DAB is given in Figure 2.
Figure 2. The 1H-NMR spectrum and proposed structure of glygly-DAB ligand (L).
3.3. Infrared Spectral Studies
The IR spectra of glygly-DAB and its complexes are given in Figure 3 and the characteristic IR spectral bands are shown in Table 2. The Schiff base ligand glygly-DAB show ν(C=N) azomethine band at 1625 cm−1. Upon complexation, this band is shifted to a lower frequency, indicating that the azomethine nitrogen is coordinated to the metal ions [16] [17] . The peptide (N-H) band appears at 3412 cm−1 on the spectrum of the ligand glygly-DAB; which is red shifted on the spectra of the complexes thus confirming the involvement of the peptide nitrogen in bonding to the metal ions [18] . The spectrum of the ligand glygly-DAB also shows a band at 1382 cm−1, attributed to the ν(C-O) of the carboxyl group which is shifted to a lower frequency on the spectra of the complexes, indicating the coordination of the carboxyl oxygen to the metal ion [18] . The spectra of the complexes present broad bands in the range 3417 - 3301 cm−1, attributed to O-H stretching vibration of coordinated water molecules [2] . The bands at 649 - 465 and 399 - 415 cm−1 in the spectra of the complexes absent in the spectrum of the ligand thus suggesting then ν(M-O) and ν(M-N) vibrations respectively [2] [19] [20] . The IR spectra indicate that the Schiff base ligand glygly-DAB in all the complexes is tridentate with the azomethine nitrogen, peptide nitrogen and carboxylato oxygen atoms as binding sites.
Figure 3. IR spectra of glygly-DAB(L) and its complexes.
Table 2. IR spectral data (cm−1) of Schiff base ligand and its complexes.
3.4. Electronic Spectral Measurements
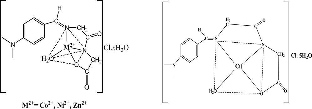
The UV-Visible spectrum of the ligand and its complexes were measured in distilled water at room temperature and the obtained spectra of the complexes are given in Figure 4. The UV/Vis spectrum of glygly-DAB exhibits an absorption band at 363 nm which can be attributed to a π-π* transition of the azomethine chromophore. Upon complexation, this band was shifted to lower wavelength regions, in the spectra of the complexes suggesting the involvement of azomethine nitrogen in the complexation [7] [8] . The spectrum of Co(II) complex shows a peak with a λmax value of 519 nm attributed to 4A2(F) → 4T1(P) transition; which is indicative of a tetrahedral environment around the metal ion. In general, due to Jahn-Teller distortion, square planar Cu(II) complexes give a broad absorption band between 600 and 700 nm [19] [20] . This is observed in the spectrum of the Cu(II) complex which shows a maximum at 635 nm. The spectrum of Ni(II) complex shows an absorption band at 646 nm. This peak corresponds to the transition 3T1(F) → 3T1(P) which indicates the tetrahedral environment of the ligand surrounding Ni(II) in the complex. The four-coordinate Zn(II) complexes would have a tetrahedral geometry. Based on the above characterization, proposed structure of glygly-DAB metal complexes are given in Figure 5.
Figure 4. UV-vis spectra of glygly-DAB metal complexes.
Figure 5. Proposed structures for glygly-DAB metal complexes.
3.5. Antimicrobial Studies
The antibacterial and antifungal activities of glygly-DAB and its metal complexes were tested against E. coli, S. thyphi, C. albicans, P. aeruginosa, S. aureus and C. néoformans. The susceptibility of these strains of bacteria and fungi towards these compounds was judged from the measurement of the size of the inhibition diameter growth. The results obtained are presented in Table 3.
The Schiff base ligand, glygly-DAB was more active against E. coli, S. thyphi, C. albicans, C. néoformans and no activity against P. aeruginosa, S. aureus. The Co(II) complex show greater activity on E. coli and C. néoformans than the free ligand glygly-DAB. In the same way, the Cu(II) complex shows greater activity on E. coli; P. aeruginosa; C. albicans and C. néoformans compared to the free ligands while the Ni(II) complex shows greater activities on S. thyphi; S. aureus and C. néoformans compared to the free ligands. This increase in activity on chelation might be due to the delocalization of charge on the metal in the chelated complex thus increase in the lipophilic character of the metal chelate. Cu(II) and Ni(II) complexes show better activity on C. néoformans than the standard antibiotic, fluconazole. Compounds with a diameter of zone of inhibition ≥ 13 mm were used for the determination of their inhibitory minimal concentration.
Table 3. Diameter of inhibition zone (mm).
3.6. Determination of Minimal Inhibitory Concentration (MIC)
The minimal concentration at which the compound inhibits 100% visible growth of microorganism, (MIC) was further determined using the compounds with a diameter of inhibition zone greater than 13 mm [14] . MIC was determined using the Micro Dilution method in liquid environment. The microorganism was placed in the presence of the antimicrobials (glygly-DAB, Zn-glygly-DAB, Ni-glygly-DAB), in a decreasing order of concentration, in the wells of the micro plates. After incubation, the lowest concentrations of the antimicrobials in which there are no visible growth of the microorganism represent their minimal inhibition concentration. The results given in Table 4 show that glygly-DAB, Zn-glygly-DAB and Ni-glygly-DAB are the most active against C. néoformans, S. aureus and S. thyphi respectively. Figure 6 depicts a histogram of the zone of diameter of inhibition.
Table 4. Minimum inhibitory concentration (mg/ml).
Figure 6. Histogram representing the zone of diameter of inhibition (ZDI) in mm of compounds.
4. Conclusion
The (E)-2-(4-dimethylbenzydimino) glycylglycine Schiff base ligands and their Co(II), Ni(II), Cu(II) and Zn(II) complexes have been synthesized and characterized. The Schiff base ligand glygly-DAB is tridentate, bonding using the azomethine nitrogen, peptide nitrogen and carboxyl oxygen, forming Tetrahedral complexes except Cu(II) complex which is square planar. Antimicrobial tests show that some of the complexes are more active as compared to the free ligand.
Acknowledgements
We thank Pr. Aminou Mohamadou (University of Reims, France) for the 1H-NMR spectra.
Conflicts of Interest
The authors declare no conflicts of interest regarding the publication of this paper.
Cite this paper
Kuate, M., Conde, M.A., Nchimi, K.N., Paboudam, A.G., Ntum, S.-J.E. and Ndifon, P.T. (2018) Synthesis, Characterization and Antimicrobial Studies of Co(II), Ni(II), Cu(II) and Zn(II) Complexes of (E)-2-(4-Dimethylbenzydimi- no)-Glycylglycine, (Glygly-DAB) a Schiff Base Derived from 4-Dimethylaminobenzalde- hyde and Glycylglycine. International Journal of Organic Chemistry, 8, 298-308. https://doi.org/10.4236/ijoc.2018.83022
References
- 1. Boghaei, M. and Mohebi, S. (2002) Non-Symmetrical TetradentateVanadyl Schiff Base Complexes Derived from 1, 2-Phenylene Diamine and 1,3-Naphthalenediamine as Catalyst for the Oxidation of Cyclohexene. Tetrahedron, 58, 5357-5366. https://doi.org/10.1016/S0040-4020(02)00481-7
- 2. Ndifon, P., Agwara, M., Njapha, J., Yufenyi, D., Paboudam, A. and Nyamen, L. (2010) Synthesis, Characterization and Antimicrobial Activity of Cu(II) and Zn(II) Complexes of Schiff Bases Derived from Amino Acids and 1,10-Phenanthroline Mixed Ligands. Research Journal of Chemistry and Environment, 14, 50-54.
- 3. Eman, A., Khaled, H., Safaa, K. and Nabil, S. (2008) Synthesis, Characterization and Biological Activity of Some Transition Metal Complexes with Schiff Bases Derived from 2-Formylindole, Salicyladehyde, and N-Amino Rhodanine. Australian Journal of Basic and Applied Sciences, 2, 210-220.
- 4. Berkesi, O., Kortvélyesi, T., Hetényi, C., Németh, T. and Pálinkó, I. (2003) Hydrogen Bonding Interaction of Benzylidene Type Schiff Bases Studied by Vibrational Spectroscopic and Computational Methods. Physical Chemistry Chemical Physics, 5, 2009-2014. https://doi.org/10.1039/B301107K
- 5. Mounika, K., Anupama, B., Pragathi, J. and Gyanakumari, C. (2010) Synthesis, Characterization and Biological Activity of a Schiff Base Derived from 3-Ethoxy Salicylaldehyde and 2-Amino Benzoic Acid and Its Transition Metal Complexes. Journal of Scientific Research, 2, 513-524.
- 6. Pier, G., (2004) Metal-Salen Schiff Base Complexes in Catalysis: Practical Aspects, Chemical Society Reviews, 33, 410-421. https://doi.org/10.1039/B307853C
- 7. Prakasha, C., Raghavendra, M., Harisha, R. and Gowda, C. (2011) Design, Synthesis and Antimicrobial Screening of Amino Acids Conjugated 2-Amino-4-arylthiazole Derivatives. International Journal of Pharmacy and Pharmaceutical Sciences, 3, 120-122.
- 8. Gajendra, K., Dharmendra, K., Shoma, D., Amit, K. and Rajeev, J. (2010) Synthesis, Physical Characterization and Biological Evaluation of Schiff Base Cr(III), Mn(III) and Fe(III) Complexes. E-Journal of Chemistry, 7, 813-820. https://doi.org/10.1155/2010/623915
- 9. Sharma, K.K., Singh, R., Fahmi, N. and Singh, R.V. (2010) Synthesis, Coordination Behavior, and Investigations of Pharmacological Effects of Some Transition Metal Complexes with Isoniazid Schiff Bases. Journal of Coordination Chemistry, 60, 3071-3082. https://doi.org/10.1080/00958972.2010.504986
- 10. Nguyen, N., To, M., Carles, M., Tripodi, A. and Bodin, G. (2000) Etude de 91 souches d’Escherichia coli responsables de la maladie de l’ædème. Revue de Médecine, 151, 23-32.
- 11. Jian, L., Tingting, L., Sulan, C., Xin, W., Lei, L. and Yongmei, W. (2006) Synthesis, Structure and Biological Activity of Cobalt (II) and Copper (II) Complexes of valine-Derived Schiff Bases. Journal of Inorganic Biochemistry, 100, 1888-1896. https://doi.org/10.1016/j.jinorgbio.2006.07.014
- 12. Zahid, H., Arif, M., Muhammad, A. and Supuran, T. (2006) Metal-Based Antibacterial and Antifungal Agents: Synthesis, Characterization, and In Vitro Biological Evaluation of Co(II), Cu(II), Ni(II), and Zn(II) Complexes with Amino Acid-Derived Compounds. Hindawi Publishing Corporation Bioinorg. Chemistry Apps, 1-11.
- 13. Arish, D. and Nair, M. (2010) Synthesis of Some Schiff Base Metal Complexes Involving Para Substituted Aromatic Aldehydes and Glycylglycine: Spectral, Electrochemical, Thermal and Surface Morphology Studies. Journal of Molecular Structure, 983, 112-121. https://doi.org/10.1016/j.molstruc.2010.08.040
- 14. Berghe, V.A. and Vlietinck, A.J. (1991) Screening Methods for Antibacterial and Antiviral Agents from Higher Plants. Methods for Biochemistry, 6, 47-68.
- 15. Lee, S., Lee, J., Lunde, C. and Kubo, I. (1999) In Vitro Antifungal Susceptibilities of Candida Albicans and Other Fungal Pathogens to Polygodial, A Sesquiterpene Dialdehyde. Planta Medica, 65, 204-212. https://doi.org/10.1055/s-1999-13981
- 16. Agarwal, R.K., Singh, L., Sharma, D.K. and Singh, R. (2005) Synthesis, Spectral and Thermal Investigations of Some Oxovanadium (IV) Complexes of Hydrazones of Isonicotinic Acid Hydrazide. Turkish Journal of Chemistry, 29, 309-316.
- 17. Iran, S. (2008) Synthesis and Characterization of Two Novel Salen Type Symmetrical Schiff base Ligands. Arabian Journal of Chemistry, 1, 217-218.
- 18. Josephus, R. and Nair, M. (2010) Synthesis, Characterization and Biological Studies of Some Co(II), Ni(II) and Cu(II) Complexes Derived from Indole-3-Carboxaldehyde and Glycylglycine as Schiff Base Ligand. Arabian Journal of Chemistry, 3, 195-204. https://doi.org/10.1016/j.arabjc.2010.05.001
- 19. Salman, M. (2010) Synthesis, Characterization and Biological Properties of Co(II), Ni(II), Cu(II) and Zn(II) Complexes with an SNO Functionalized Ligand. Arabian Journal of Chemistry, 30, 1-5.
- 20. Chandra, S., Jain, D., Sharma, A.K. and Sharma, P. (2009) Coordination Modes of a Schiff Base Pentadentate Derivative of 4-Aminoantipyrine with Cobalt(II), Nickel(II) and Copper(II) Metal Ions: Synthesis, Spectroscopic and Antibacterial Studies. Molecules, 14, 174-190. https://doi.org/10.3390/molecules14010174








