Theoretical Economics Letters
Vol.07 No.04(2017), Article ID:77088,23 pages
10.4236/tel.2017.74071
Risks to Financial Stability and Monetary Policy: Rules or Discretion?
Charles Richard Barrett1, Ioanna T. Kokores2*, Somnath Sen3
1Centre for Urban and Regional Studies, The University of Birmingham, Birmingham, UK
2Department of Economics, The University of Piraeus, Piraeus, Greece
3Department of Economics, The University of Birmingham, Birmingham, UK

Copyright © 2017 by authors and Scientific Research Publishing Inc.
This work is licensed under the Creative Commons Attribution International License (CC BY 4.0).
http://creativecommons.org/licenses/by/4.0/



Received: May 22, 2017; Accepted: June 19, 2017; Published: June 22, 2017
ABSTRACT
We evaluate monetary policy which is conducted in a way that addresses financial stability as an explicit monetary policy objective using a simple game theoretic model analysing the strategic interaction between a central bank and a financial sector. The extant literature in favour of “lean-against-the-wind” (LATW) monetary policy calls for more flexibility and the use of longer policy-horizons. We, therefore, assess monetary policy under discretion and under commitment to an instrument rule. Our analysis supports that rule-based LATW monetary policy outperforms the discretionary equivalent, in terms of controlling inflation, anchoring inflation expectations to the central bank’s inflation target and enhancing financial sector profitability. Under substantial risks to financial stability, we conclude that rule-based LATW monetary policy induces the financial sector to impose more prudence on its operation.
Keywords:
Monetary Policy, Central Bank, Financial Stability, Strategic Behaviour

1. Introduction
During the severe financial crisis that initiated in August 2007, it has been questioned “how well central banks have discharged their twin duties as the guardians of financial stability and as defenders of price stability” (The Economist, 20th Oct. 2007, Special Report, p. 3). The debate, as articulated before the recent financial crisis, has been on whether price stability was sufficient to foster financial stability, or whether a trade-off existed (at least in the medium-run). If the latter were the case, it was questioned whether monetary policy should exercise its influence in order to address asset price bubbles when they grow (before forecasts to inflation were affected) or counter their effects after they unwind. The post-crisis alternative to the debate has been on “lean” versus “clean” monetary policy. The latter calls for waiting for the bubble to burst and then take remedial action by aggressive monetary policy easing, while the former advocates a discretionary gradual increase of the policy rate in order to prevent the accumulation of financial imbalances.
In line with the above debate and refraining from arguing for or against a certain stance of monetary policy or the opposite, we address the second view as a policy option and evaluate monetary policy when a central bank considers financial stability as an explicit policy objective, yet replacing the output gap. The analysis is counterfactual, in that it does not involve crisis management or crisis resolution elements1, and strives to give additional elements in the theoretical underpinnings of a “lean-against-the-wind” (LATW) monetary policy.
Following the tradition that started with Barro and Gordon [1] [2] , we repre- sent the central bank and the financial sector as playing a monetary policy game, yet in a context that accounts for the currently uncontested view (see e.g. Mishkin [3] , p. 68 and references therein; Bernanke [4] ; Jordan [5] ;) that price stability promotes economic stability in the medium to long-run and, thus, not giving rise to the presence of an inflation bias (at least not in the same fashion) and the particular case of time-inconsistent monetary policy that arises from it. We examine monetary policy both under commitment to an instrument rule and under discretion, motivated, principally, by the concluding remarks in Bordo and Jeanne [6] that “financial stability presents a direct challenge to the rule paradigm because it may require occasional deviations from simple rules, i.e. policies that are sometimes based in a complex way on discretionary judgment”.
Our analysis, to our knowledge, contrary to the research preceding and following the financial crisis, supports rule-based LATW monetary policy. This paper concludes that when a central bank addresses financial stability as a main and systematic component of its decision making process, namely as an explicit monetary policy objective, then policy yields better results in terms of controlling inflation, anchoring inflation expectations and imposing more prudence to the operation of the financial sector when conducted under commitment to a rule. We, therefore, contend that the contribution to policy analysis is twofold, namely, in terms of the method used and in terms of the results proposed.
The organization of the paper is as follows: the next Section 2 presents the method used in the analysis. Section 3 describes the model and section 4 the outcomes that arise in equilibrium which are followed by a discussion in Section 5. Section 6 states the implications of our analysis for monetary policy-making and Section 7 is the conclusion.
2. Literature Review
The pre-crisis conventional view accepted that asset price misalignments are difficult to recognize, the policy rate is an ineffective instrument to contain asset price movements and that central banks should act just against the adverse consequences of a bubble unwinding (see e.g. Greenspan [8] ; Bernanke and Gertler [9] ; Bean [10] ; for a review see Mishkin [3] ). The opposite view pinned down the asymmetric nature of the costs of policy errors and advocated the merits of the so-called “pre-emptive” monetary policy conducted as financial imbalances accumulate with the aim to forestall the potential adverse consequences in the aftermath of a crisis, especially since low and stable inflation is thought to mask threats to the economy that make the financial system more vulnerable and which cannot be captured by an output gap measure (as seems to have been the case during the Great Moderation years) (for early accounts see e.g. Goodhart [11] ; Kent and Lowe [12] ; Shiratsuka [13] , [14] ; Cecchetti et al. [15] ; Borio and Lowe [16] ; Bordo and Jeanne [6] ; White [17] ; and for a review of the debate see Kokores [18] )2.
For the debate to hold it is essential that the risks to financial stability inherent in the financial system and the perceived trade-offs are substantial. However, as Borio and Lowe [16] remark: “perceived trade-offs are themselves to a significant degree a function of what we think we know about the workings of the economy and the role of policy, … [this] determines views about the consequences of actions and of failures to act by the central bank, [and] such views change over time, in the light of evolving circumstances” (Borio and Lowe [16] , p. 26). The recent severe financial crisis and the consequent Great Recession are stark examples of such shift in attitude.
Recently, research has focused on the inclusion of financial frictions in New Keynesian Dynamic Stochastic General Equilibrium models (which constitute equilibrium macroeconomic models built on real-business-cycle foundations augmented with nominal rigidities) in order to integrate realistic characterizations of financial instability and evaluate monetary policy stances addressing systemic risk (see e.g. Cúrdia and Woodford [19] , [20] ; He and Krishnamurthy [21] ; Aoki and Nikolov [22] ; Goodhart et al. [23] ; Brunnermeier and Sannikov [24] ; Gambacorta and Signoretti [25] ).
Thus, the debate has recently been on “lean” versus “clean” monetary policy. The post-crisis alternative to the aforementioned conventional view calls for waiting for the bubble to burst and then take remedial action (“clean up”) in aggressive monetary policy easing in order to provide support to the financial sector and the economy. The drawback in such an approach to monetary policy is that it may create moral hazard and promote excessive risk-taking in the future (during financial boom phases), which in turn may stir a credit-driven bubble3. Proponents of this view tend to draw a clear distinction between the effectiveness and efficiency of monetary policy as a way to address financial instability and the respective merits of micro and especially macroprudential policies4.
The alternative approach draws upon the “speed and flexibility with which monetary policy can be employed [that] has made it the primary policy for macroeconomic stabilization” (Fawley and Neely [29] , p. 95) and it assesses whether a central bank should “lean against the wind”, by raising in a discretionary gradual manner the policy rate in order to prevent the accumulation of financial imbalances and, thus, maintain price stability over the medium to long term, accepting, though, possibly increased consumer price volatility in the short to medium term.
The literature in favour of monetary policy under risks to financial stability puts forward the conclusion that the monetary authorities should exercise their policy with more flexibility and over longer policy horizons. Kent and Lowe [12] give an early theoretical justification of the argument that such a policy should be executed over longer-policy horizons and Farooq Akram et al. [30] , in a context similar to Barrett et al. [31] in assuming that a central bank has an explicit financial stability objective in a flexible inflation-targeting regime, give empirical support of the view that financial stability concerns of the monetary policy authorities warrant a longer target horizon for inflation. Barrett et al. [32] demonstrate that a central bank which has an explicit financial stability concern, conducts discretionary monetary policy and interacts with a financial sector that has incomplete information over the central bank’s preferences, for large shocks to inflation (positive or negative) is willing to exercise more muted control to inflation in order to reinforce the safety of the financial sector.
Our analysis, to our knowledge contrary to the research preceding and following the financial crisis, concludes that rule based LATW monetary policy outperforms the discretionary equivalent. Our analysis suggests that LATW monetary policy yields better results in terms of controlling inflation, anchoring inflation expectations and imposing more prudence to the operation of the financial sector when conducted under commitment to a rule.
3. Methodology
A non-cooperative game is played between a central bank, B, and a financial sector, S. S chooses a level for the long-term nominal interest rate, R, perceived as the price of a main representative product offered by the financial sector (namely loans issued to the real sector). The financial sector is modelled as “one agent” that represents the consolidation of the financial intermediaries, which operate in purely competitive markets. Such a seemingly strong assumption is justified by the fact that strong competition between financial-market participants makes the “leaders” in the markets (for example financial firms with considerably high levels of capitalisation) not prone to maintain their identity as price-makers (with respect to the pricing of financial assets) over a long horizon (the collapse of Lehman Brothers in 2008 being the most blunt example). The increasingly rapid dissemination of information in addition to the speed characterising financial transactions makes it considerably difficult for financial firms to maintain competitive advantages (which are known to give the ability to a firm to act as a price-maker) at least without an incessant effort of differentiation in the product offered. A second reason is that financial markets have proven to act almost in unison at times of turbulence. Therefore, a crisis’ intensely rapid contamination of financial-market participants can give credence to our view of the financial sector as acting under pure competition5.
S aims at guaranteeing its survival and increasing profits. B controls inflation by choosing the degree of accommodation of the shocks to inflation, which is termed as x. Therefore, the choice variable of B is x. The central bank, B, is assumed to be independent and solely responsible for monetary policy. The instrument it uses is assumed to be a short-term nominal interest rate, which can be described in terms of x. In the interbank-funds market the central bank is essentially a price-maker, and while financial firms resort to this market in order to satisfy their demand for liquidity, the central bank’s policy choice influences the behaviour of the financial sector.
The information that each player faces is complete, in that the full description of the game is common knowledge and perfect, in that when each player has to make a move they know exactly what happened in previous moves. The game is sequential. S makes the first move, then, B moves second and ends the game. Play in a sequence of moves arises from the presence of a second-player advantage, namely B’s control over inflation.
Modelling the strategic interaction between the monetary policymaker and the financial sector, the initial disseminator of the monetary impulses to the real sector, is thought to encompass the non-linearity issues of financial fragility that are raised e.g. by Brunnermeier and Sannikov [35] and Mishkin [3] .
4. The Model
4.1. The Economy
A simplified structure of the economy is modelled through the following three equations:
(1)
(2)
(3)
Equation (1) describes inflation as a linear function of the financial sector’s inflation expectations, Eπ, an inflation shock, ε, that follows a white noise pro- cess and the level of inflation shock accommodation, x, that is achieved through monetary policy. In the absence of a shock (i.e. the absence of new information) and for a monetary stance that is “neutral”, prices are raised in line with inflation expectations. By taking expectations in Equation (1) we obtain:
(4)
where E is the expectations operator. This result shows that on average monetary policy is just neutral. Equation (2) captures the transmission of the effect of monetary policy to the real short-term interest rate, r, where r* can be thought of as the “natural” real rate of interest (as in e.g. Woodford [37] , pp. 49-55) and β as an inverse measure of how effectively the real short-term rate of interest, r, controls inflation. To specify how the short-term rate of interest, i, determines monetary stance, assume:
(5)
The restriction on means first, r and π are inversely related and second, in order to raise r and lower π, it is necessary to raise i. It is supposed that the transmission mechanism from i to π is via r and its effect on the real economy. Substituting (3) in (5) and (5) in (1) shows that, given F, Eπ and ε, the choice of i determines π, r and x. Therefore, in determining strategy, B could as equally set a target for r, or for x, as choose the level of its instrument, i. From (4), the central bank’s monetary stance is on average neutral. Let
(6)
If r > r*, monetary policy is restrictive and, if r < r*, it is expansionary. Then for simplicity we assume that x is as in (2). Equation (3) describes the (approximately) one-for-one adjustment of nominal interest rate, i, to the level of inflation (in a steady state).
4.2. The Game-Structure
The strategic interaction takes place between t = 0 and t = 1. At t = −1, B sets a target for inflation, π*, with the aim to anchor S’s inflation expectations around the target, and a target for the level of profitability of S, P*, which is the level of P that the central bank views as sufficient to guarantee S’s survival and proper functioning, in terms of channeling funds from savings to investments. B also defines and announces a positive level for α, the weight assigned on the financial stability objective, denoting the preferences of the central bank for the stability of the financial sector. The level of the short-term nominal interest rate that resulted from past policy, i.e. , and the level of the “neutral” real interest rate r*, are, also, predetermined and known to both players at t = −1, as well as the form of the monetary policy rule, which is set and announced at t = −1. A level of S’s profitability, Q, at which S finds the chances of bankruptcy of some firms in the sector just acceptable, is known to both players at t = −1. Since Q is modelled as a function of the monetary policy reaction x, it is its functional form that is known before the interaction takes place.
At t = 0, B is confronted with two alternatives, namely (i) to commit to the rule for monetary policy or (ii) to ignore the announced rule and, eventually, act with discretion after a shock to inflation has been realized and observed. If B commits to follow the rule, then it announces the corresponding x as a function of the distribution of shocks to inflation ε prior to S’s making a choice of R. Therefore, at t = 0, B, first, sets x with respect to the rule and the anticipated choice of R by S, S forms its expectations for inflation Eπ anticipating B’s behaviour and then at t = 0, S makes a choice of R. The crucial issue in the case of B’s commitment to a rule is that B makes the announcement before S makes its strategy-choice. At t = 1 after the realization of the shock to inflation ε, B applies x of the level determined by the rule.
If, at t = 0, B chooses not to follow the rule and act with discretion, then after the shock to inflation, ε, is realized (sometime between points in time t = 0 and t = 1) it defines x at t = 1 on a discretionary basis (i.e. by maximizing its objective function in actual rather than expected terms). Defining x is equivalent to defining r or i. Furthermore, Eπ are determined with respect to equilibrium behaviour in each case and at t = 1 the actual level for π is realized.
At t = 0, S determines R competitively by setting its expected profits EP to equal Q. Therefore, R is a function of Eπ and x. Under complete information, S is informed about B’s behaviour, being either commitment to the announced rule or not, when determining a level for R. Therefore, in essence we model two games of complete information, one for B committing to a rule and another for B acting with discretion. As both Eπ and x assume different levels under the two forms of policy, thus affecting R, at t = 0 S is actually confronted with the choice either to believe and anticipate the announced monetary policy rule, and choose the competitive level of R (Rr), in one game, or not and choose the pertinent competitive level of R (Rd), in the other game.
We, further distinguish between two cases for B’s target for financial stability, namely for P* = Q and for P* > Q. Since central banks care for the safety and smooth functioning of the financial sector they tend to be either more prudent than the financial system participants (the case for P* > Q) or willing to let the markets function at their own pace (the case for P* = Q). Therefore, we do not consider the case of B choosing P* < Q.
Figure 1 gives a graphic representation of the sequence of events in our model.
A point in time t = 2 is necessary for the definition of a long-rate that is earned after two periods. Throughout the analysis where the subscript “d” denotes the outcomes in the first game Γ1, when B is acting with discretion, and “r” the outcomes in the second game Γ2, when B is following a rule.
A compact description of game Γ1 is as follows:
1) B expresses the preference to conduct monetary policy with discretion upon receipt of new information at any time.
2) Eπ are formed rationally.
3) S chooses R with respect to Eπ and discretionary monetary policy.
Figure 1. The sequence of events. Notes: Box indicates actual strategic interaction in each game (either under a rule or under discretion) taking place between points in time t = 0 and t = 1. All variables realized at t = −1 are pre-determined and common knowledge. Each column indicates the variables realized in the respective point in time. Namely, io denotes the short-term nominal interest rate that resulted from past policy; r* the level of the “neutral’ real interest rate; π* and P* the central bank’s targets for inflation and financial sector’s sustainable level of profitability respectively; α is the central bank’s weight on the financial stability objective; Q is the level of S’s profitability at which S finds the chances of bankruptcy of some firms in the sector just acceptable; β is an inverse measure of how effectively the real short-term rate of interest, r, controls inflation; x captures the transmission of the effect of monetary policy to the real short-term interest rate and is the central bank’s choice variable; xrule and xdisc are the outcomes for x in the game under a rule and under discretion respectively; R is the level of the long rate that maximizes the financial sector’s profitability (Rr under a rule, and Rd under discretion); π, Eπ and ε denote the level of inflation, inflation expectations and the shock to inflation respectively. P is the financial sector’s profitability that is realized in the end a second period, i.e. after the long-rate is earned; U is the central bank’s utility function. Source: Adapted from Barrett, Kokores and Sen [32] .
4) B receives information about the choice made by S.
5) B observes the shock to inflation ε.
6) B chooses x with respect to R and Eπ.
In turn, a compact description of game Γ2 is as follows:
1) B commits to a certain kind of a rule for x.
2) Eπ are formed rationally.
3) S chooses R with respect to Eπ and the monetary policy rule.
4) B receives information about the choice made by S.
5) B observes the shock to inflation ε.
6) B chooses x with respect to R and Eπ.
4.3. Objective Functions
R is competitively determined. Through competition expected profits of S are driven down to a minimum level that makes the risk of non-survival just acceptable. The profitability of S is modelled in terms of a loan issued (to the real sector) over a two-period horizon. The rate charged on this loan, R, constitutes income earned on every period the loan is serviced. To finance the loan the financial sector needs funds so as to meet its liquidity needs (or operating costs) during each period of the loan. The charge on these funds each period, is the per-period level of nominal short-term interest rate, it. Competition among investment projects (affecting R), as well as in the interbank market (affecting it on every period) will determine the profit “margin”. Let i0 be the short-term rate of interest at t = 0, and i the short-term rate of interest at t = 16. Assume i0 (but not i) is known to S when S chooses the long-term rate of interest, R, at t = 0. At t = 2, S obtains profits per unit of currency as:
(7)
Equation (7) is constructed using a simple compounding-interest formula. It gives the spread between the income earned on 1 unit of currency after two periods and the income paid-out on 1 unit of currency over two consecutive periods. This margin is assumed to measure the operational profits of the financial sector.
For the sake of simplicity, and because nothing essential is involved, the following linear approximation is used:
. (8)
Taking expectations in (8), and using (1), (2), (3), (4) S’s expected profits can be described as:
(9)
We assume that competition drives the expected value of profits as in (9) to a minimum level, which we term Q, at which all the firms operating in S can only cover their operating costs. Q is the level of expected profits at which the market finds the chances of a number of firms operating in S going bankrupt just acceptable. It is illustrative to view Q as a safety-net to the financial sector. If expected profits fall below this level then the number of financial firms that may go bankrupt is high enough to create instability in the sector.
From (1), (2), and (3) we can describe (8) as follows:
(10)
As is evident from (10), P varies with x and ε. Therefore, it is appropriate to define a minimum level for expected profits in terms of the variability of P. Choosing from the measures of dispersion of a distribution of a random variable over its population mean we contend that the standard deviation is the most convenient one to use. The standard deviation in contrast especially to the variance is a useful measure of spread of a distribution in part because it is mathematically tractable.
Describing, thus, Q in terms of the variability of P, we model it as a function of the standard deviation of P. In detail, let denote the standard deviation of P, the profits obtained by S, then
(11)
Coefficient k in (11) describes any structural features of the financial sector affecting its competitive level of profits, like administrative costs, psychological factors, or the presence of economies of scale. Since by construction Q is positive, as well as , k is assumed to be positive.
As the variability in S’s profits in this model stems from the monetary policy reaction, x, and the shock to inflation, ε, letting “var” denote variance, we note, from (1), (2), (3), (4) and (8), that:
(12)
We assume competition drives the expected value of P to Q as in (11), so the assumption is for:
(13)
Therefore, (13) determines the optimal level of R under competition, as a function of i0, r*, Eπ, x, and ε.
Turning to the objective function of the central bank, B, we define B as choosing x7 by optimizing over the following utility function:
(14)
where π* and P* are targets for the rate of inflation and profits, respectively. The central bank has two concerns: (i) the value of the currency and (ii) the stability of the financial system.
The financial stability objective is defined in terms of the level of profits in the financial sector (as in (8)) and a corresponding target faced by the central bank. We take a low value for P (with reference to the target) to mean insolvency in the financial sector, and too high a value to imply a “bubble” in asset prices, namely the accommodation of speculative behaviour from certain financial sector participants in excess to the market fundamentals. As the financial sector is modelled in aggregate terms, the former is not desired as too low a value of P could even imply a collapse of the financial system, namely that a considerably high number of financial firms would seize operation. On the other hand, neither the latter is desired since the level of P that is justified by fundamentals is the one set as the target. The higher the level of P above its target the more a bubble would be accommodated causing strains in the economy and, thus, increasing the likelihood of acute economy-wide instability after the bubble collapses.
Replacing the traditional output gap objective by a financial stability objective is justified by the skepticism expressed about the inclusion of an output gap measure in a central bank’s objective function. Meltzer [38] , for example, claims that “using the output gap as an objective of the central bank is problematic” since, primarily it can “arise for reasons unrelated to monetary policy actions, for example, an oil shock, reductions in employment and output resulting from provisions of the welfare state, or other real events”. He also contends that the way to overcome this problem as proposed by McCallum [39] , namely to redefine the natural rate so as to take account of non-monetary effects, can be done in principle, but is difficult to do accurately in practice (Meltzer [38] , p. 122). The difficulty of the precise measurement and the lack of agreement on the value of the natural rate of output and the related problems posed to policymakers have been stressed, among others, by McCallum [39] , Orphanides [40] , Orphanides and Williams [41] and FRB of Cleveland ed. [42] .
In addition, while Jordan [5] claims that real rapid growth and low unemployment cannot cause inflation and that there is no trade-off between inflation and employment, Bernanke [4] and Poole [43] claim that price stability supports both strong growth and stability in output and employment not only in the long-run, but also in the short run. Meltzer [38] further points out that central banks aiming mainly and principally at price stability should not preclude concern for the cost of achieving the target rate of inflation and that this cost should appear in the objective function replacing the output gap. This implicit cost function should include the costs of maintaining or restoring financial safety or solvency, avoiding a credit crunch, or increasing unemployment. The above helps motivate the use of (14) as the objective function of B.
We also conjecture that a model of the strategic interaction between the monetary authorities and the financial sector incorporates per se elements of the nonlinearities exhibited in the dynamic behaviour of the economy and renders unnecessary the inclusion of ad hoc financial frictions from the borrowers’ or the lenders’ side of credit markets (see e.g. Gambacorta and Signoretti [25] that use a Dynamic Stochastic General Equilibrium model with both firms’ balance- sheet and bank-lending channels or Iacoviello [44] and Curdia and Woodford [19] , [20] for separate accounts of the above channels).
5. Equilibrium Outcomes
We derive Nash equilibria in that players are assumed to behave optimally with regard to their beliefs about their opponents’ behaviour, and in equilibrium these beliefs have to be correct. They are also sub-game perfect equilibria in that players carry out their planned strategies without error.
5.1. The Case of Monetary Policy under Discretion (Γ1)
Choice of x
It is convenient and inessential as stated above, to regard B as choosing x rather than i, on observing Eπ, ε, i0, r*, β and R. Substituting from (1), (2), (3) and (10) into (14):
(15)
Differentiating (15) with respect to x and equating to zero and, since in equilibrium EP = Q, using (9), we get:
(16)
Let
(17)
Then, from (9), (14) and (15):
(18)
This is the value B chooses for x under discretion. Note that x tends to Eπ + ε − π* as α tends to 0 or as β tends to 1, so in the limit, π = π*. The rate of inflation equals its target value when B does not care about the profitability of the financial sector (i.e. when α tends to 0), and also tends to this value as the power of the instrument, i, goes to infinity (i.e. when β tends to 1).
Taking expectations in (18), using (4):
(19)
(20)
Note that: (i) although inflationary expectations are given when B chooses i, they are in fact endogenous, formed, prior to B’s choice of i, on the basis of rational beliefs about future monetary policy. (ii) If, in particular, P* = Q, then, from (19):
(21)
Choice of R
Let σP denote the standard deviation of P, the profits obtained by S. We assume competition drives the expected value to Q = kσP, so
(22)
(23)
At this level for expected profits, the market finds the chances of bankruptcy just acceptable.
From (9), (19), (22) and (23), choice of R is governed by:
(24)
From (11) and (20):
(25)
From (20), (24) and (25) we get:
(26)
In choosing R under discretion, which we term as Rd, S takes into account the effect of B’s choice of x on Eπ and, through σP, on Q. Note that, because the financial sector is consolidated, the optimisation process is implicit rather than modelled. Informally, we suppose the choice of R is optimal for individual financial institutions. In other words, because of competition, they cannot do better than adopt this value for R.
In Γ1 the equilibrium is as in (26) and (20). As both represent unique solutions to the pertinent optimisation problems, both (26) and (20) are undominated, representing, thus, a sub-game perfect equilibrium.
5.2. The Case of Commitment to an Instrument Rule (Γ2)
Under rules, B pre-sets the way x will be determined at t = 1 and, in choosing the rule, takes account of the effect the rule will have on S’s choice of R. In choosing R, S takes the rule for x as fixed.
We define the rule8 as:
(27)
The rule aims at affecting inflation by controlling S’s expectations and by accommodating perceived shocks to inflation at a constant rate. The choice of a rule as in (27) is justified by (1) the equation driving inflation.
Taking expectations in (27), using (4):
(28)
Thus, inflationary expectations are again endogenous and controlled by the monetary policy rule. The constant term ω1 qualifies for a definition of a degree of smoothing in the adjustment of the monetary policy instrument. From (27) and (28):
(29)
Under the commitment of a rule B is actually making the first move by announcing and committing to a rule as in (28) and (29). Then S forms Eπ with respect to (28), anticipates x as in (29) and determines R accordingly. Then at t = 1 B applies x as in (29).
Choice of R
From (9), (11), (22), (23), (28) and (29), R is now, under rules, given by:
(30)
(31)
In supposing S’s choice of R is determined by (31), we take it that B is committed to the rule, and S is rational in believing the rule will be enforced.
Choice of x
B maximises expected utility, which from (14) is:
(32)
Suppose P* is fixed, i.e. does not, like Q, vary with ω. Substituting again from (28), (29) and (30) into (32):
(33)
Differentiating (33) with respect to ω0 and ω, and equating to zero:
(34)
(35)
Let
(36)
and define:
(37)
Substituting (36) and (37) into (35):
(38)
In Γ2 the equilibrium is as in (31) and (38). Similar to the reasoning in Γ1, since both equilibrium strategies show unique solutions to the pertinent optimisation problems in each sub-game, both (31) and (38) are undominated, representing, thus, a sub-game perfect equilibrium.
Under rules if P* = Q, substituting from (27), (28) and (29) into (32):
(39)
Differentiating (39) with respect to ω0 and ω, and equating to zero:
(40)
(41)
Comparing (40) and (41) with (19) and (20), noting (28) and (29), we see that, in this case, the results under rules are the same as under discretion.
The fact that B sets P* = Q indicates that it accepts the “safety net” S imposes on itself, i.e. the competitive outcome at which the levels of bankruptcy of firms in the financial sector are just acceptable. In this case, any perceived risks to financial stability are encountered almost solely by S, so long as B identifies and announces the presence of an explicit objective for financial stability (α > 0). The level of Q is a function of ω and, therefore, B’s concerns for financial stability are incorporated in the behaviour of S. As a consequence S’s expectations of inflation are anchored to B’s target π* even when B is acting with discretion. This is the case when B contends that S can impose a discipline on itself through pure competition. We contend that for the particular case of P* = Q our model yields similar results to the literature assessing monetary policy against financial imbalances.
If B finds the level of Q as too lax, it sets . Since we model B as conducting monetary policy in order to restrain the growth of imbalances in the financial sector that are perceived and have not yet been reflected in the relevant indicators used, which, nevertheless, carry the potential of large detrimental economy-wide effects, then by assumption B can view the discipline S imposes on itself through pure competition as insufficient. This can be interpreted as a level of Q that is lower than the level B views as more appropriate. We view this case as the presence of significant risks to financial stability that B is aware of and is trying to address. Therefore, B sets its target for S’s profitability P* at a level higher than Q.
6. Discussion
An initial evaluation of the two styles of policy determined by the equilibria as analysed in Γ1 and Γ2 is that commitment to a rule (Γ2) is better than discretionary monetary policy (Γ1) in terms of better control of inflation expectations and effectiveness of policy. Comparing Eπ from (19) and (34), and for P* > Q, it is evident that by following a rule as in (27) B can anchor inflation expectations to its target for inflation π*.
This result in favour of the commitment to a rule is reinforced by the fact that LATW monetary policy as described by our model is more effective in affecting inflation under commitment to a rule.
Definition 1: Monetary policy is more effective in controlling inflation when it results in a higher level for x.
From (29) Definition 1 can be expressed in terms of ω, the proportion of B’s offsetting ε.
Proposition 1: For α > 0 and β > 1, monetary policy is more effective in controlling inflation under commitment to a rule as in (27) than under discretion if and only if P* > Q.
Proof: On comparing ωr in (38), obtained under rules, to ωd in (20), which is optimal under discretion, and for Definition 1, ωr ³ ωd is equivalent to:
(42)
From (11), (25) and (36), the result in (42) is equivalent to P* ³ Q. Both cases give identical results, , when or equivalently when . The later can be expressed as , which is the level of Q
when ω is equal to ωd as in (20), or in other words when . Therefore, monetary policy is more effective under rules than under discretion if and only if P* > Q.
From the proof of Proposition 1, we can also show that under rules B can exercise more discipline to S by inducing a higher level for Q. Since Q is a function of ω and ω is higher under rules than under discretion, then the level of Q is higher in the former case driving, thus, expected profits EP to a higher level as well.
These results in favour of commitment to a rule in cases of monetary policy with risks to financial stability contrast the main result in the literature that calls for more flexibility in the conduct of monetary policy.
Finally, in order to evaluate the behaviour of S and B, namely whether they will actually play their equilibrium strategies when they are to take an action, we need to discuss their pay-offs in turn.
The expected pay-offs to B are computed using the following:
Substituting (29) into (32), using (9) and (22):
(43)
From (30) and (36):
(44)
Substituting (44) into (43) yields:
(45)
In addition, for (29), (36) and for ωd as in (20) and for the following result holds:
(46)
The expected pay-offs to S are computed using:
From (29) and (30), in both games:
(47)
Let
where .
We can cluster the expected pay-offs to each player, with respect to , for each of Γ1 and Γ2.
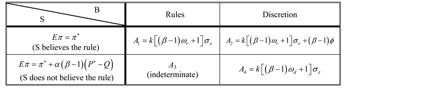
From (47), we can present the expected pay-offs to S in the four distinct cases under consideration in Figure 2.
From (47) and for ωr as in (38) we determine A1. Turning to A2, if S believes the rule and B acts with discretion, S perceives the pay-off to be Α1 but the true pay-off is A2. Q is determined at t = 0 by S’s beliefs about future policy (the choice of ω or x at t = 1). Since Eπ differs from the level defined in equilibrium under discretion [i.e. ] then x in this case differs from x = ωdε, for ωd as in (20) (the level of x defined in equilibrium under discretion). In particular, from (18), in this case . Moreover, this case
Figure 2. Financial sector (S) Pay-Offs.
does not constitute an equilibrium and, therefore, (4) does not hold, i.e. Ex ≠ 0. Thus, from (10) the expected profits to S are:
For and , EP in A2 takes the following level displayed in Figure 2:
A3 in Figure 2 is indeterminate because the rule is indeterminate in the case described. If S does not believe the rule, then it perceives A4 as the true pay-off. Since B wants to enforce the rule through the optimisation process it can only determine the ratio of ω1 to ω2. Finally, from (47) and for ωd as in (20) we determine A4.
For P* > Q, from Proposition 1 we have ωr > ωd and since ϕ > 0 and β > 1, then A2 > A1 > A4. Therefore, S will always believe the rule if a rule is announced and play as in the interaction described by game Γ2. In this model S would prefer B to commit to a rule of the style proposed than act with discretion.
Figure 3 gives the expected pay-offs to B in the four distinct cases9.
From (45), for and for ωr as in (38) we define A5 as:
From (43), for , and for ωd as in (20) we define A6 as:
From (46) the formula above becomes:
A7 is indeterminate for the same reason as A3 explained above.
Figure 3. Central bank (B) Pay-Offs.
From (45), for and for ωd as in (20) we define A8 as:
Comparing B’s expected pay-offs in Figure 3, we conclude that A6 > A5 > A8. This implies that even though B does better when facing the interaction described in game Γ2 as opposed to Γ1, it prefers at t = 1 to deviate from applying optimal x as determined in equilibrium by the rule but act instead with discretion applying x as in (20), the optimal outcome under discretion.
In game Γ2 the rule is always believed under the assumption of common knowledge (of rationality). Since the beliefs of S about B’s behaviour have to be consistent with B’s actual behaviour in equilibrium (as the second basic assumption for the definition of a Nash equilibrium postulates), B’s choice of ωd when S anticipates a rule does not constitute an equilibrium and, therefore, cannot be maintained in future periods.
In particular, for P* > Q and for play as in Γ2 (which is preferred to Γ1) the resulting policy is time inconsistent similar to the type of models of monetary policy that initiated with the work of Barro and Gordon [25] .
A policy is time consistent if an action planned at time t for time t + i remains optimal to implement when time t + i actually arrives. Irrespective of state contingency (namely that policy can depend on the realisations of events unknown at time t when policy is originally planned) a time consistent policy gives rise to a planned response to new information that remains the optimal response once the new information arrives. A policy is time inconsistent if at time t + i it will not be optimal to respond as originally planned (Walsh [45] , p. 321).
Our results show that when there is substantial threat of financial instability, the central bank has sensitivity over signs of financial fragility and it is believed by the central bank that the financial sector cannot guarantee stability (since a number of financial firms that should have exited the system are still under operation to the detriment of the sector itself and the economy as a whole), the optimal policy is time inconsistent. In Γ2, S will anticipate the announced rule for monetary policy, anchoring its expectations around the central bank’s target for inflation. Then for , S determines the competitive level for the long- term interest rate accordingly. If, however, B anticipates that and has an objective function that (under risks to financial stability) reveals the willingness to induce some prudence in S by setting the target for financial stability as P* > Q, B will not follow the rule and apply the optimal policy under discretion instead in order to yield a higher pay-off . If the same two-period game is played again (starting straight after t = 1), S, after learning from this experience of t = 1, will not believe the announced rule. If in game Γ2 B deviates from the equilibrium-path and chooses ωd instead, then when the game is repeated B cannot induce S to believe that the rule will be enforced in the next period irrespective of the fact that both players yield higher pay-offs in this case. S will expect discretionary monetary policy from B, i.e. play as in Γ1, and, therefore, give rise to a sub-optimal outcome, since in equilibrium both players receive lower pay-offs compared to the equilibrium outcomes in Γ2.
The main policy implication of our model is that this dynamic inconsistency of LATW monetary policy justifies the necessity of the commitment to a rule by the central bank in a similar fashion to the extant literature on time inconsistent monetary policy that initiated with the seminal contribution of Barro and Gordon [1] , [2] .
Nevertheless, our analysis is limited in that it addresses the rules versus discretion argument pertaining solely to LATW monetary policy. It does not include a choice of a central bank’s not containing a perceived financial imbalance and using monetary policy to “clean up” after the “bubble” bursts. The latter warrants further research.
7. Policy Implications
The analysis solely addresses monetary policy that is known to aim at restraining the growth of perceived financial imbalances, positive or negative (present in the financial sector), and the main policy implications generated refer both to the design and the conduct of such monetary policy.
Considering the design of monetary policy, we show that when the monetary policy-maker takes into account the effects of the strategic interaction and passes forward clear announcements of this concern, the resulting policy is optimal when it follows a rule contrary to the literature on LATW monetary policy which (to our knowledge) does not take into account the crucial effect of such interaction. A further implication of our work referring to the design of monetary policy is the proposition of a financial stability objective in terms of the profitability of the financial sector; the latter modelled with respect to the spread between the rate on long-term financial instruments and rate of the instrument of monetary policy. A robust definition of financial stability or the financial cycle has not yet been commonly accepted in the literature. Therefore, the above point demands further research.
Considering the conduct of monetary policy, we contend that discretionary monetary policy when the central bank aims to restrain perceived financial imbalances in the financial sector is not the optimal style of policy. A further policy implication of our model is that the chosen LATW monetary policy (deviation from the rule on the receipt of new information after the rule is believed) is time inconsistent, which justifies the necessity of the commitment to a rule by the central bank in a similar fashion to the extant literature on time inconsistent monetary policy that initiated with the seminal contribution of Kydland and Prescott [46] and Barro and Gordon [1] . The analysis highlights the well-articu- lated during previous decades need of a central bank to build credibility, yet in this context referring to the achievement and maintenance of financial stability, as an explicit monetary policy objective.
Diamond and Rajan [47] , Farhi and Tirole [48] , and Smets [49] formally treat certain additional aspects of time-inconsistent monetary policy addressing separate elements of the “financial cycle’. Borio [50] identifies the latter in that “... policies that are too timid in leaning against financial booms but are then too aggressive and persistent in leaning against financial busts, may end up leaving the authorities with no further ammunition over successive financial and business cycles”10 (Borio [50] , p. 16). The end-result of a downward trend in policy rates across cycles and the essential incessant resort to balance-sheet policies (yet with minor gains in terms of financial and macroeconomic stability) is reinforced in a global level as the stance of monetary policy is transmitted from core economies to the rest of the world.
8. Concluding Remarks
Following the debate on the inclusion or not of perceived financial imbalances in the conduct of monetary policy before the forecasts to inflation are affected, we evaluate monetary policy which is conducted in a way that explicitly addresses financial instability in a simple model analyzing the strategic interaction between a central bank and a financial sector.
We model the central bank as having the objectives of price stability and financial stability, where the latter is a function of the profitability of the financial sector against a benchmark. In line with the results proposed in the extant literature in favour of LATW monetary policy (for example as in Borio and Lowe [16] ; Bordo and Jeanne [6] ; Cecchetti et al. [15] ; White [17] ; Farooq-Akram et al. [30] ; Gambacorta and Signioretti [25] ; Smets [49] ) that (to our knowledge) calls for more flexibility and the use of longer time-horizons in the conduct of monetary policy, we assess monetary policy under discretion and under commitment to an instrument rule.
In contrast to the relevant literature, we conclude that when a central bank addresses financial stability as a main and systematic component of its decision making process, namely as an explicit monetary policy objective, then policy yields better results in terms of anchoring inflation expectations to the central bank’s inflation target and enhancing financial sector profitability when conducted under commitment to a rule. The latter stems from stronger monetary policy reaction, thus, forcing the financial sector to face a higher level of minimum expected profits that guarantee its sustainability. Therefore, a stimulus is provided to the latter in order to increase their profitability and avoid seizing operation. Under substantial threat of financial instability, the proposed policy induces the financial sector to impose more prudence on its operation.
Acknowledgements
The authors have benefited greatly from constructive comments by John H. Wood, Peter Sinclair, John Fender, Indrajit Ray, Taxiarchis Kokores, an anonymous reviewer, participants at the 75th International Atlantic Economic Society Conference, Vienna, April 2013 and at the Public Choice Society Annual Meeting, San Antonio, Texas, March 2008.
Cite this paper
Barrett, C.R., Kokores, I.T. and Sen, S. (2017) Risks to Financial Stability and Monetary Policy: Rules or Discretion? Theoretical Economics Letters, 7, 1043-1065. https://doi.org/10.4236/tel.2017.74071
References
- 1. Barro, R.J. and Gordon, D.B. (1983) A Positive Theory of Monetary Policy in a Natural Rate Model. Journal of Political Economy, 91, 589-610. https://doi.org/10.1086/261167
- 2. Barro, R.J. and Gordon, D.B. (1983) Rules, Discretion and Reputation in a Model of Monetary Policy. Journal of Monetary Economics, 12, 101-121. https://doi.org/10.1016/0304-3932(83)90051-X
- 3. Mishkin, F.S. (2011) Monetary Policy Strategy: Lessons from the Crisis. In: Jarociński, M., Smets, F. and Thimann, C., Eds., Approaches to Monetary Policy Revisited: Lessons from the Crisis, ECB, Frankfurt Am Main, 67-118. https://doi.org/10.3386/w16755
- 4. Bernanke, B.S. (2006) The Benefits of Price Stability. Remarks at the Centre for Economic Policy Studies, Woodrow Wilson School of Public and International Affairs, Princeton. http://www.bis.org/review/r060301b.pdf
- 5. Jordan, J.L. (2006) Money and Monetary Policy for the Twenty First Century. Federal Reserve Bank of St. Louis Review, 88, 485-510.
- 6. Bordo, M. and Jeanne, O. (2002) Monetary Policy and Asset Prices: Does “Benign Neglect” Make Sense? IMF Working Paper 225, 1-27. https://doi.org/10.1111/1468-2362.00092
- 7. Caruana, J. (2012) Central Banking in a Balance Sheet Recession. Panel Remarks Board of Governors of the Federal Reserve System. 2012 Conference on “Central Banking: Before, During and After the Crisis”, Washington DC, 23-24 March 2012. http://www.bis.org/speeches/sp120321.pdf
- 8. Greenspan, A. (2002) Opening Remarks. In: Federal Reserve Bank of Kansas City Ed., Rethinking Stabilization Policy, Federal Reserve Bank of Kansas City, Kansas City, MO, 1-10.
- 9. Bernanke, B.S. and Gertler, M. (2001) Should Central Banks Respond to Movements in Asset Prices? American Economic Review (Papers and Proceedings), 91, 253-257. https://doi.org/10.1257/aer.91.2.253
- 10. Bean, C. (2004) Asset Prices, Financial Instability, and Monetary Policy. American Economic Review (Papers and Proceedings), 94, 14-18. https://doi.org/10.1257/0002828041301795
- 11. Goodhart, C. (1995) Price Stability and Financial Fragility. In: Sawamoto, K., Nakajima, Z. and Taguchi, H., Eds., Financial Stability in a Changing Environment, Bank of Japan, St. Martin’s Press, London, 439-497. https://doi.org/10.1007/978-1-349-13352-9_11
- 12. Kent, C. and Lowe, P. (1997) Asset-Price Bubbles and Monetary Policy. Economic Research Department, Reserve Bank of Australia, Research Discussion Paper 9709.
- 13. Shiratsuka, S. (1999) Asset Price Fluctuation and Price Indices. Monetary and Economic Studies, Institute for Monetary and Economic Studies, Bank of Japan, 17, 103-128.
- 14. Shiratsuka, S. (2001) Asset Prices, Financial Stability, and Monetary Policy: Based on Japan’s Experience of the Asset Price Bubble. BIS Papers 1.
- 15. Cecchetti, S.G., Genberg, H., Lipsky, J. and Wadhwani, S. (2000) Asset Prices and Central Bank Policy. Geneva Reports on the World Economy, 2. International Centre for Monetary and Banking Studies and Centre for Economic Policy Research.
- 16. Borio, C. and Lowe, P. (2002) Asset Prices, Financial and Monetary Stability: Exploring the Nexus. BIS Working Papers 114.
- 17. White, W. (2006) Is Price Stability Enough? BIS Working Papers 205.
- 18. Kokores, I. (2015) Lean-Against-the-Wind Monetary Policy: The Post-Crisis Shift in the Literature. SPOUDAI Journal of Economics and Business, 65, 66-99.
- 19. Cúrdia, V. and Woodford, M. (2009) Credit Frictions and Optimal Monetary Policy. BIS Working Paper 278.
- 20. Cúrdia, V. and Woodford, M. (2010) Credit Spreads and Monetary Policy. Journal of Money, Credit and Banking, 42, 3-35. https://doi.org/10.1111/j.1538-4616.2010.00328.x
- 21. He, Z. and Krishnamurthy, A. (2010) A Model of Capital Crises. Northwestern University Working Paper.
- 22. Aoki, K. and Nikolov, K. (2012) Bubbles, Banks, and Financial Stability. ECB Working Paper 1495.
- 23. Goodhart, C., Kashyap, A., Tsomocos, D. and Vardoulakis, A. (2012) Financial Regulation in General Equilibrium. NBER Working Paper 17909. https://doi.org/10.3386/w17909
- 24. Brunnermeier, M.K. and Sannikov, Y. (2014) A Macroeconomic Model with a Financial Sector. American Economic Review, 104, 379-421. https://doi.org/10.1257/aer.104.2.379
- 25. Gambacorta, L. and Signoretti, F.M. (2014) Should Monetary Policy Lean Against the Wind? An Analysis Based on a DSGE Model with Banking. Journal of Economic Dynamics & Control, 43, 146-174. https://doi.org/10.1016/j.jedc.2014.01.016
- 26. Goodhart, C., Sunirand, P. and Tsomocos, D.P. (2005) A Risk-assessment Model for Banks. Annals of Finance, 1, 197-224. https://doi.org/10.1007/s10436-004-0006-3
- 27. Goodhart, C., Sunirand, P. and Tsomocos, D.P. (2006) A Model to Analyze Financial Fragility. Economic Theory, 27, 107-142. https://doi.org/10.1007/s00199-004-0572-7
- 28. Kasselaki, M.T. and Tagalakis, A.O. (2014) Financial Soundness Indicators and Financial Crisis Episodes. Annals of Finance, 10, 623-669. https://doi.org/10.1007/s10436-013-0233-6
- 29. Fawley, B.W. and Neely, C.J. (2014) The Evolution of Federal Reserve Policy and the Impact of Monetary Policy Surprises on Asset Prices. Federal Reserve Bank of St. Louis Review, 96, 73-109.
- 30. Farooq Akram, Q., Bardsen, G. and Lindquist, K.-G. (2007) Pursuing Financial Stability under an Inflation-Targeting Regime. Annals of Finance, 3, 131-153. https://doi.org/10.1007/s10436-006-0057-8
- 31. Barrett, C.R., Kokores, I. and Sen, S. (2008) Bubbles, Instability and Monetary Policy Games. Proceedings of the Public Choice Society Annual Meeting 2008, San Antonio, Texas.
- 32. Barrett, C.R., Kokores, I. and Sen, S. (2016) Monetary Policy Games, Financial Instability and Incomplete Information. Annals of Finance, 12, 161-178. https://doi.org/10.1007/s10436-016-0276-6
- 33. Borio, C. (2006) Monetary and Prudential Policies at a Crossroads? New Challenges in the New Century. BIS Working Paper 216. https://doi.org/10.2139/ssrn.948135
- 34. Angelini, P., Neri, S. and Panetta, F. (2011) Monetary and Macroprudential Policies. Bank of Italy Economic Working Papers 801. https://doi.org/10.2139/ssrn.1832349
- 35. Brunnermeier, M.K. and Sannikov, Y. (2014) Monetary Analysis: Price and Financial Stability. Proceedings ECB Forum on Central Banking, Sintra, 61-80.
- 36. Mester, L.J. (2014) The Nexus of Macroprudential Supervision, Monetary Policy, and Financial Stability. Speech. The 2014 Financial Stability Conference of the Federal Reserve Bank of Cleveland and the Office of Financial Research, Washington DC, 5 December 2014.
- 37. Woodford, M. (2003) Interest and Prices: Foundations of a Theory of Monetary Policy. Princeton University Press, Princeton.
- 38. Meltzer, A.H. (2001) The Transmission Process. In: Deutsche Bundesbank Ed., The Monetary Transmission Process: Recent Developments and Lessons for Europe, Palgrave, Basingstoke, 112-130. https://doi.org/10.1057/9780230595996_4
- 39. McCallum, B.T. (2001) Analysis of the Monetary Transmission Mechanism: Methodological Issues. In: Bundesbank, D., Ed., The Monetary Transmission Process: Recent Developments and Lessons for Europe, Palgrave, Basingstoke, 11-43. https://doi.org/10.1057/9780230595996_2
- 40. Orphanides, A. (2003) The Quest for Prosperity without Inflation. Journal of Monetary Economics, 50, 633-663. https://doi.org/10.1016/S0304-3932(03)00028-X
- 41. Orphanides, A. and Williams, J.C. (2004) The Decline of Activist Stabilisation Policy: Natural Rate Misperceptions, Learning, and Expectations. ECB Working Paper 337.
- 42. Federal Reserve Bank of Cleveland Ed. (2000) Theory Ahead of Rhetoric: Measurement and the New Economy. Federal Reserve Bank of Cleveland Annual Report, 7-18.
- 43. Poole, W. (2008) Thinking like a Central Banker. Federal Reserve Bank of St. Louis Review, 90, 1-7.
- 44. Iacoviello, M. (2005) House Prices, Borrowing Constraints and Monetary Policy in the Business Cycle. American Economic Review, 95, 739-764. https://doi.org/10.1257/0002828054201477
- 45. Walsh, C.E. (2000) Monetary Theory and Policy. 2nd Edition, MIT Press, Cambridge, Mass.
- 46. Kydland, F. and Prescott, E.C. (1977) Rules Rather Than Discretion: The Inconsistency of Optimal Plans. Journal of Political Economy, 85, 473-492. https://doi.org/10.1086/260580
- 47. Diamond, D. and Rajan, R. (2009) Illiquidity and Interest-Rate Policy. NBER Working Papers 15197. https://doi.org/10.3386/w15197
- 48. Fahri, E. and Tirole, J. (2009) Leverage and the Central Banker’s Put. American Economic Review, 99, 589-593. https://doi.org/10.1257/aer.99.2.589
- 49. Smets, F. (2014) Financial Stability and Monetary Policy: How Closely Interlinked? International Journal of Central Banking, 10, 263-300.
- 50. Borio, C. (2014) Monetary Policy and Financial Stability: What Role in Prevention and Recovery? BIS Working Paper 440.
- 51. Borio, C. (2012) The Financial Cycle and Macroeconomics: What Have We Learnt? BIS Working Paper 395.
- 52. Borio, C. (2013) On Time, Stocks and Flows: Understanding the Global Macroeconomic Challenges. National Institute Economic Review, August.
NOTES
1See e.g. Caruana [7] for an elaboration on the challenges posed to monetary policymakers during these two distinct phases after the financial bust.
2See also e.g. Goodhart et al. [26] [27] for an early account of models of financial fragility and its effect on monetary policy and Kasselaki and Tagalakis [28] for an evaluation of the degree of financial fragility and policymakers’ risks to financial stability calling for proactive action and cooperation between all relevant authorities.
3See e.g. Mishkin [3] 96-98, for a distinction between two types of bubbles and their relevance for monetary policy with respect to the threats they pose to the economy.
4For an analysis on the importance of co-operation between the central bank and the macroprudential authorities see e.g. Borio [33] , Angelini et al. [34] .
5Federal Reserve Bank of Cleveland President and CEO Loretta J. Mester in recent remarks reinforces the argument of our modelling the financial sector as purely competitive by stating: “... Ironically, we will have a more stable financial system if we build a system that allows insolvent institutions to fail, and less regulatory intervention to prevent closure of these firms. An effective resolution method will give managers and creditors the incentive to monitor the risks that their institution is taking to avoid losses” (Mester [36] , p. 3).
6For simplicity we exclude subscript 1 throughout the analysis.
7We work through the model using x as B’s choice variable. Even though the use of r or i instead could have been equivalent, it is deemed rather inappropriate because the actual strategic action of a central bank is the “level” of control over inflation, while changes in the policy rate as a lever on an array of interest rates are the workings of the instrument employed.
8This is an instrument rule since from (3), Equation (27) can be written as a rule for the short-term nominal rate, i.
9It is important to stress that Figure 2 and Figure 3 are not “pay-off matrices” of a game, since each displays expected pay-offs for each player in two different games. We only use the two tables to present our main results in a compact, illustrative way. We contend that since the two games (Γ1 and Γ2), different though they may be, possess several fundamental similarities; we can make comparisons in the resulting behaviour for each player created from the distinct forms of interaction.
10Borio [51] , [52] stress that the adverse outcome of that form of inconsistency applies also to prudential, as well as fiscal policies, while Smets [49] formally addresses the concept with respect to the macroprudential authority’s setting its policy taking the monetary policy reaction into account in a context similar to certain extent to the analysis in this paper.




