Health
					Vol.11 No.02(2019), Article ID:90478,10 pages 
                    10.4236/health.2019.112013 
					
Effect of the Suppression of Cariesitic Bacterial Growth and Biofilm Formation Using Hydrogen/Free Chlorine Mixed Water Produced by an Electrolysis-Type Hydrogen Generator
Ryusuke Suzuki1,2*, Rin Kaneko1, Masaru Nakano1, Masato Kanda1, Yuji Sebata1, Shota Motegi1, Tomoko Abe1, Kazuaki Muramatsu1
1Division of Life Science and Engineering, School of Science and Engineering, Tokyo Denki University, Saitama, Japan
2SHEM Corporation, Tokyo, Japan

Copyright © 2019 by author(s) and Scientific Research Publishing Inc.
This work is licensed under the Creative Commons Attribution International License (CC BY 4.0).
http://creativecommons.org/licenses/by/4.0/



Received: January 13, 2019; Accepted: February 10, 2019; Published: February 13, 2019
ABSTRACT
OBJECTS: Hydrogen has been shown to possess antibacterial effects at high concentrations. In addition, chlorine has a strong bactericidal effect even at low concentrations. Electrolysis is a way to simultaneously generate these two components. However, the concentration of hydrogen/free chlorine mixed water generated through electrolysis decreases quickly. It is predicted that the concentration of hydrogen/free chlorine mixed water will vary depending on the quality of water used. After investigating the optimum generation conditions, the effects of the most stable concentration of hydrogen/free chlorine mixed water on carious tooth fungus were evaluated in vitro. Thus, in this experiment, our goal was to evaluate the effects of hydrogen/free chlorine mixed water on oral bacteria. MATERIALS AND METHODS: Using a device that generates hydrogen/free chlorine through electrolysis, the differences in the concentrations of hydrogen and free chlorine based on electrolysis time were evaluated using tap water. Additionally, various concentration changes due to electrolysis time on the hydrogen/free chlorine mixed water were evaluated. Distilled tap water as a control group, hydrogen/free chlorine mixed water, and commercially available mouthwash were added for 1 minute to cultured Streptococcus mutans and then rinsed out with the culture medium. Bacterial growth (600 nm) and biofilm formation (590 nm) were measured at 3 and 6 hours after the addition of the medium. RESULTS: The concentration of hydrogen/chlorine mixed water produced by electrolysis varied depending on electrolysis time and the water used. The inhibitory effect of bacterial growth was enhanced depending on the chlorine concentration. Regarding the inhibitory effect on biofilm formation, only the mixed water of hydrogen/free chlorine concentration (500 ppb - 1.0 mg/L) had a suppressing effect after 6 hours. CONCLUSION: It was suggested that hydrogen/chlorine mixed water can be easily produced by electrolysis and has the effect of suppressing the growth of dental caries; therefore, it could be used as a cleaning agent in oral care products.
Keywords:
Hydrogen, Chlorine, Bactericidal Capacity, Bacteria Effect

1. Introduction
Periodontal disease and dental caries are diseases caused by bacterial infections. Many bacteria stagnate at the boundary between the teeth and the gums, which are difficult to clean; thus, the margin of the gingiva becomes inflamed and red, causing swelling. A prevention method is the daily removal of bacteria using a toothbrush. A new preventive method is the application of a high concentration hydrogen water, which has verified antibacterial action [1] [2] .
Another substance with bactericidal activity, chlorine, has also long been a part of our daily lives [3] . It has been reported that chlorine has bactericidal activity in the oral cavity by making chlorine water soluble and using the hypochlorous acid electrolyzed water. It has been reported that it has high bactericidal action, and is sold as a cleaning solution for the oral cavity [4] .
Many items, such as toothbrushes and cups for oral care, are sold. Some products that have been researched and commercialized have antimicrobial properties [5] [6] . However, at the time of use, they are lightly rinsed with tap water. It is expected that the bacteria will be orally ingested via the care products. We propose that we need equipment that can easily clean these oral care items before and after use.
We suspect that the antimicrobial action of hydrogen water enables more effective prevention of bacterial growth. However, hydrogen gas and hydrogen water at concentrations exceeding 1000 ppb have been used for research to date [1] [2] . The generation of higher concentrations of hydrogen gas and hydrogen water tends to require large-scale equipment, and the hydrogen concentration tends to decrease. Electrolysis is effective for generation and such application. Water generated by electrolysis using tap water also includes free chlorine. Therefore, not only hydrogen but also the bacterial growth-suppressing effect of free chlorine is expected.
In this experiment, we used a device that generates hydrogen/free chlorine mixed water from water by non-diaphragm electrolysis using the same material for the anode and the cathode. The device was divided into a total of 5 parts: 1) a tank part for saving water, 2) the first and second electrodes provided in the container, and a power source to supply DC power to the first and second electrodes, 3) a DC power supply, and a switching mechanism that switches the plus (+) polarity and minus (−) polarity of the power supply, 4) a sensing mechanism, which measures impedance of water, and 5) a control mechanism that receives detection signals for water impedance and controls the electrolysis of water.
The stability and the bactericidal ability considered necessary for making a detergent for keeping oral care equipment clean are not clear. In this experiment, the stability and bactericidal activity of hydrogen/free chlorine mixed water were evaluated.
2. Materials and Methods
2.1. Hydrogen/Free Chlorine Mixed Water Generator
A hydrogen/free chlorine mixed water generator manufactured by Flax Co., Ltd. was used for all experiments (Figure 1).
2.2. Evaluation of Differences in Hydrogen/Free Chlorine Concentrations According to Electrolysis Time
Electrolysis was carried out for 0.5, 1, 3, and 5 minutes using tap water from Yokohama, Saitama and Tokyo in Japan. After electrolysis, the hydrogen concentration and the free chlorine concentration of the hydrogen/free chlorine mixed water were measured using a hydrogen concentration measuring instrument (KM2100 DH, Kyoei Denshi Kenkyuujo, Japan) and a chlorine concentration measuring instrument(Residual Chlorine Analyzer OR-54, Organo Corporation, Japan).
2.3. Evaluation of Concentration Changes of Generated Hydrogen/Free Chlorine Mixed Water Caused by Time
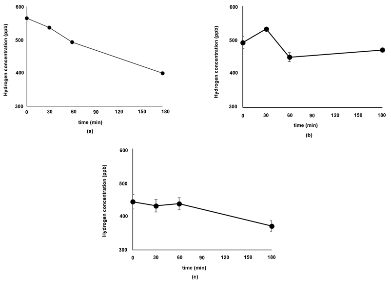
Electrolysis was conducted for 3 minutes using tap water from Yokohama, Saitama and Tokyo in Japan. After electrolysis, the hydrogen concentration and the free chlorine concentration of the hydrogen/free chlorine mixed water were measured using the aforementioned concentration measuring instruments. Hydrogen concentration and free chlorine concentration were measured immediately at 0, 30, 60, and 180 minutes after electrolysis.
2.4. Bacterial Growth and Biofilm Inhibition Tests
To adjust the concentration of free chlorine, 9 μL, 13 μL, and 16 μL 5% sodium hypochlorite were added to 200 mL of sterilized tap water to prepare test solutions for each evaluation group. Streptococcus mutans was inoculated and allowed to stand and culture overnight in the open air. Then, 500 μL of bacteria was removed, washed with 1 mL of PBS, and exposed to 1 mL of each test solution for 40 seconds. The test solution was removed, the bacteria were diluted
Figure 1. Hydrogen/free chlorine mixed water generator and power supply unit (DC stabilized power supply, A & D Co., Ltd., Japan) used for experiment.
10-fold with 1 × medium, the exposure was stopped, and the cells were centrifuged at 15000 rpm for 10 minutes. After harvesting, 4 × Trypticase Soy Yeast Extract Medium was added and stored at 37˚C under 5% CO2. For each evaluation group, 500 mL of 100% medium was placed in 1.5 mL tubes for 3 and 6 hours (n = 3). A 25 μL sample of the stored bacteria were plated in each tube and after vortexing, the absorbance at 600 nm was measured with a spectrophotometer. After washing the 1.5 mL tube twice with distilled water for each condition, 500 μL of Crystal Violet was placed in the tube and the contents were allowed to stain for 30 minutes. After staining, the samples were washed three times with distilled water and dried for several hours with the lid open. Two-hundred microliters of 33% acetic acid were added, vortexed for 15 minutes, and 180 μL of the staining solution was transferred to a 96-well plate. Absorbance at 600 nm was measured with a microplate reader to evaluate bacterial growth. Additionally, 100 μL was taken from each well and the absorbance at 590 nm was measured with a spectrophotometer to detect biofilm formation.
2.5. Statistical Analysis
Significant differences were determined using Student’s t-test for equi-dispersive data and the Welch t-test was used for data with unequal variance. A p value less than 0.05 was considered statistically significant.
3. Result
3.1. Evaluation of the Difference in Hydrogen/Free Chlorine Concentration According to Electrolysis Time
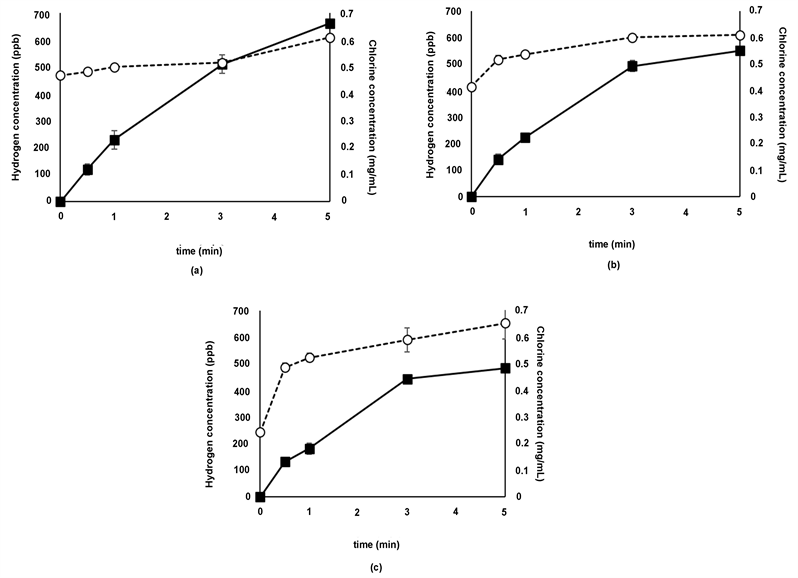
No hydrogen was detected in tap water. However, various concentrations of chlorine were detected from high to low concentrations. It was confirmed that chlorine concentration changed with each area. It was confirmed that the hydrogen concentration varied depending on the time of electrolysis. Free chlorine concentration showed an increasing trend according to electrolysis time (Figure 2).
3.2. Evaluation of Various Concentration Changes Because of the Time Following the Generation of Hydrogen/Free Chlorine Mixed Water
It was confirmed that the hydrogen concentration and free chlorine concentration decreased over time (Figure 3, Figure 4).
3.3. Bacterial Growth Test and Biofilm Inhibition Tests
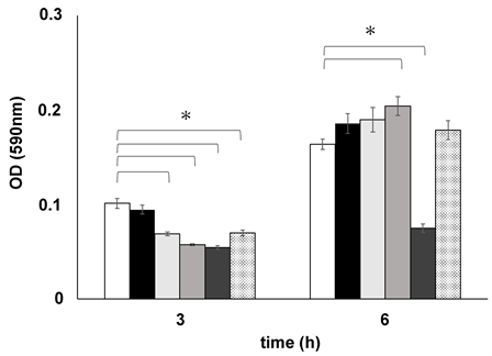
In the bacterial growth inhibition test, there was no significant difference in bacterial growth between the hydrogen/free chlorine mixed water (500 ppb - 0.08 mg/L) addition group and the distilled tap water (0 ppb - 0 mg/L) addition group. In the case of the hydrogen/chlorine mixed water (500 ppb - (0.3 - 1.0) mg/L) group with chlorine artificially added, suppression of bacterial growth was confirmed even 6 hours following the addition (Figure 5).
Figure 2. Change in hydrogen/free chlorine concentration due to change in electrolysis time (n = 3). Measurement place, (a) Yokohama, (b) Saitama, (c) Tokyo. ( ) hydrogen concentration, (
) hydrogen concentration, ( ) free chlorine concentration.
) free chlorine concentration.
Figure 3. Changes over time of hydrogen concentration generated (n = 3).
In the biofilm formation suppression test, there was no difference between the group with hydrogen/free chlorine mixed water (500 ppb - (0.08 - 0.6) mg/L) and the distilled tap water addition group 6 hours after the addition (Figure 6). In the group with the hydrogen/free chlorine mixed added (500 ppb - 1.0 mg/L), there was a significant difference compared with distilled tap water addition group in biofilm formation 6 hours following the addition.
4. Discussion
Physical plaque control by teeth brushing is an effective means of preventing the progression of oral diseases. In addition, teeth can be polished and mouth wash used daily [7] . However, cleaning the oral cavity with a toothbrush is the mainstream cleaning method used by most people. After brushing of teeth, the toothbrush is left in a wet state and is reused without washing. If the toothbrush is left in a situation where bacteria are likely to propagate, the bacteria will proliferate and the toothbrush itself will become a medium for carrying bacteria into the oral cavity [8] . It is known that the Streptococcus mutans used in this study may cause dental caries, and that this bacterium not only grows on but also forms a biofilm on teeth, which is difficult to remove.
Figure 4. Changes over time of free chlorine concentration generated (n = 3). Measurement place, (a) Yokohama, (b) Saitama, (c) Tokyo.
Figure 5. Effect of hydrogen/free chlorine mixed water on Streptococcus mutans. Bacterial growth inhibitory effect (n = 3) in each condition group. ( ) Distilled tap water, (
) Distilled tap water, ( ) hydrogen/free chlorine mixed water (500 ppb - 0.08 mg/L), (
) hydrogen/free chlorine mixed water (500 ppb - 0.08 mg/L), ( ) hydrogen/chlorine mixed water (500 ppb - 0.3 mg/L), (
) hydrogen/chlorine mixed water (500 ppb - 0.3 mg/L), ( ) hydrogen/chlorine mixed water (500 ppb - 0.6 mg/L), (
) hydrogen/chlorine mixed water (500 ppb - 0.6 mg/L), ( ) hydrogen/chlorine mixed water (500 ppb - 1.0 mg/L), (
) hydrogen/chlorine mixed water (500 ppb - 1.0 mg/L), ( ) 10% Listerine. *p < 0.05.
) 10% Listerine. *p < 0.05.
Figure 6. Effect of hydrogen/chlorine mixed water on biofilm formation of Streptococcus mutans. Biofilm formation inhibitory effect (n = 3) in each condition group. ( ) Distilled tap water, (
) Distilled tap water, ( ) hydrogen/free chlorine mixed water (500 ppb - 0.08 mg/L), (
) hydrogen/free chlorine mixed water (500 ppb - 0.08 mg/L), ( ) hydrogen/chlorine mixed water (500 ppb - 0.3 mg/L), (
) hydrogen/chlorine mixed water (500 ppb - 0.3 mg/L), ( ) hydrogen/chlorine mixed water (500 ppb - 0.6 mg/L), (
) hydrogen/chlorine mixed water (500 ppb - 0.6 mg/L), (

Hydrogen water exhibits antibacterial activity towards oral bacteria, such as Streptococcus mutans, Fusobacterium nucleatum, Porphyromonas gingivalis, and Tannerella forsythia, which are associated with oral diseases [9] . Although the effect of suppressing the growth of bacteria by hydrogen has been reported, it was caused by hydrogen at a concentration exceeding 1000 ppb. When electrolysis was conducted with the equipment used in this experiment, the hydrogen concentration of 1000 ppb or more did not occur. When water with a higher degree of electrolysis than tap water is used, higher concentrations of hydrogen can be achieved. However, we considered that tap water was most suitable for everyday use, and in this study, we conducted experiments using tap water in a more realistic usage environment. As a result, it achieved a value exceeding 500 ppb, 3 to 5 minutes after electrolysis. When water with a hydrogen concentration exceeding 500 ppb was prepared, the hydrogen concentration decreased to 500 ppb in approximately an hour. However, while producing water with high hydrogen concentration, electrolysis takes longer. Considering the time taken for electrolysis and the time taken for brushing teeth, 3 minutes of electrolysis was considered as being the most suitable. At the hydrogen concentration of 500 ppb determined in this experiment, the growth inhibitory effect on Streptococcus mutans and the biofilm formation inhibitory effect were not confirmed. These results suggested that the growth of Streptococcus mutans and the inhibition of biofilm formation were not demonstrated unless a high concentration of hydrogen was used.
There is generally a more effective bactericidal effect than that of hydrogen when chlorine is present in the substance [3] . Additionally, chlorine is used in Japan's tap water for the purpose of sterilization; according to the WHO (World Health Organization) drinking water quality guidelines, the value for chlorine is set at 5 mg/L [10] . This guideline value represents the concentration that does not affect human health even if the water is drunk for the lifetime. The tap water we used was managed such that the residual chlorine concentration was always 0.1 mg/L or more. As defined by the Waterworks Law, the target value of the water quality control setting of 1 mg/L or less can always be secured at the tap. When tap water is poured into the hydrogen generator used in this experiment to generate hydrogen, free chlorine is generated simultaneously. Because distilled water was used in this experiment, only a trace amount of free chlorine was generated. It was confirmed that 0.5 mg/L of free chlorine was generated for approximately 500 ppb of hydrogen when tap water was used with our equipment. The value of this free chlorine is within the regulation stipulated by the WHO. In this experiment, it was confirmed that each time the chlorine concentration was increased, increased effects of bacterial growth suppression and inhibition of biofilm formation were exhibited. When a high chlorine concentration was provided in the tap water, a bactericidal effect was expected, but it was desirable to use a device to provide a chlorine concentration that had a stable sterilizing effect. Using tap water is very convenient, but because it does not have a constant chlorine concentration, there will be a difference in the free chlorine concentration. To increase the concentration of chlorine, electrolysis is suggested as an effective and simple method.
5. Conclusion
From this experiment, the chlorine concentration in the hydrogen/free chlorine mixed water produced by electrolysis using tap water increased and decreased depending on the quality of tap water. It is suggested that if the chlorine concentration could be kept constant, it would have a bacterial growth suppression and biofilm formation inhibition effect. This suggests that hydrogen/free chlorine mixed water may be useful as a cleaning solution for oral care products.
Conflicts of Interest
The authors declare no conflicts of interest regarding the publication of this paper.
Cite this paper
Suzuki, R., Kaneko, R., Nakano, M., Kanda, M., Sebata, Y., Motegi, S., Abe, T. and Muramatsu, K. (2019) Effect of the Suppression of Cariesitic Bacterial Growth and Biofilm Formation Using Hydrogen/Free Chlorine Mixed Water Produced by an Electrolysis-Type Hydrogen Generator. Health, 11, 142-151. https://doi.org/10.4236/health.2019.112013
References
- 1. Kim, J., Lee, H.J. and Hong, S.H. (2017) Inhibition of Streptococcal Biofilm by Hydrogen Water. Journal of Dentistry, 58, 34-39. https://doi.org/10.1016/j.jdent.2017.01.004
- 2. Lee, S. and Choi, B.K. (2006) Antibacterial Activity of Hydrogen-Rich Water against Oral Bacteria. The Journal of Microbiology, 44, 417-422.
- 3. Shigemi, H., Shigeyoshi, B., Hisako, Y., Yuji M. and Satoshi, K. (1998) Antimicrobial Effects of Electrolytic Products of Sodium Chloride-Comparative Evaluation with Sodium Hypochlorite Solution and Efficacy in Handwashing. The Journal of the Japanese Association for Infectious Diseases, 72, 1176-1181.
- 4. Naoki, H., Kouiti, H., Takaya O., Tsutomu, Y., Kazuyoshi, S., Toru, M. and Hiroshi, N. (1999) Bactericidal Effect of Electrolyzed Neutral Water on Bacteria Isolated from Infected Root Canals. Oral Surgery Oral Medicine Oral Pathology Oral Radiology, 87, 83-87. https://doi.org/10.1016/S1079-2104(99)70300-8
- 5. Kazi, A.R., Michiko, N., Seishi, M., Omar, M.M.R. and Tsutomu, S. (2010) Inhibition of the Adhesive Ability of Streptococcus mutans on Hydroxyapatite Pellet Using a Toothbrush Equipped with TiO_2 Semiconductor and Solar Panel. Pediatric Dental Journal, 20, 16-21. https://doi.org/10.1016/S0917-2394(10)70187-7
- 6. Turner, L.A., Gayle, M., Wayne, L.H. and Susan, L.T. (2009) A Novel Approach to Controlling Bacterial Contamination on Toothbrushes: Chlorhexidine Coating. International Journal of Dental Hygiene, 7, 241-245. https://doi.org/10.1111/j.1601-5037.2008.00352.x
- 7. Mager, D.L., Ximenez-Fyvie, L.A., Haffajee, A.D. and Socransky, S.S. (2003) Distribution of Selected Bacterial Species on Intraoral Surfaces. Journal of Clinical Periodontology, 30, 644-654.
- 8. Rashmi, N., Ahmed Mujib, B.R., Neethu, T., Anil, B.S. and Spoorthi, B.R. (2015) Contaminated Tooth Brushes-Potential Threat to Oral and General Health. Journal of Family Medicine and Primary Care, 4, 444-448. https://doi.org/10.4103/2249-4863.161350
- 9. Lee, S.H. and Choi, B.K. (2006) Antibacterial Effect of Electrolyzed Water on Oral Bacteria. The Journal of Microbiology, 44, 417-422.
- 10. WHO (2011) Guidelines for Drinking-Water Quality. 4th Edition.







