American Journal of Plant Sciences
Vol.10 No.02(2019), Article ID:90746,9 pages
10.4236/ajps.2019.102021
Changes in Water Soluble Carbohydrates Content of Timothy (Phleum pratense L.) in Pastures of TMR Centers over 4 Years
Michiko Okubo1, Daisuke Takahashi1, Fumiya Abe1, Hideshi Shinoda2, Kenzaburo Deguchi3, Norie Shio4, Takayoshi Masuko5, Kousaku Souma1*
1Faculty of Bioindustry, Tokyo University of Agriculture, Hokkaido, Japan
2Snow Brand Seed Co. Ltd., Technical Research Institute, Hokkaido, Japan
3Animal Research Center, Hokkaido Research Organization, Hokkaido, Japan
4Souya Agriculture Extension Office, Hokkaido Agricultural Administration, Hokkaido, Japan
5Uvas Co. Ltd., Hokkaido, Japan

Copyright © 2019 by author(s) and Scientific Research Publishing Inc.
This work is licensed under the Creative Commons Attribution International License (CC BY 4.0).
http://creativecommons.org/licenses/by/4.0/



Received: November 19, 2018; Accepted: February 23, 2019; Published: February 26, 2019
ABSTRACT
Timothy (Phleum pratense L.) pastures of 3 Total mixed ration (TMR) centers in Hokkaido were selected, the first cutting grasses were continuously collected from the same pastures on different harvest days over 4 years (2011-2014), and changes in the water soluble carbohydrates (WSC) content were analyzed to investigate the relationship with weather conditions. The harvest days in the 4-year period were June 17-22, June 24-26, June 27-30, and July 2-5, and grasses on these dates were designated as the harvest date groups. The weather data during the cutting period in each year were utilized. The WSC content tended to change yearly and it was significantly lower in the 4 groups (67.3 - 82.1 g/kg DM) in 2011 than in the groups (101.5 - 130.3 g/kg DM) in 2013 excluding the June 24-26 group (P < 0.05, P < 0.01). The WSC content tended to increase as the harvest date progressed in 2011-2013 and it significantly increased even though the harvest date was delayed only in 2013 (P < 0.01). It was suggested that differences in the WSC content among the years were related to the weather condition and dry matter yield of the grass.
Keywords:
Grass Harvest Dates, Hokkaido, Timothy, TMR Center, Water Soluble Carbohydrates

1. Introduction
In Japan, various measures are taken to increase the management efficiency of dairy farms. In Hokkaido, centralized management of the main self-supplied feed, silage, has been performed and markedly increased systems to distribute silage/formula feed-mixed TMR. These organizations are termed TMR centers and dairy farms participate in units of more than several farms.
TMR centers maintain and manage pastures of the participating dairy farms and are closely involved in the process from cutting grasses to filling silos. Since silage is prepared in many large bunker silos, it takes several weeks and completes in early July even though grass cutting starts in the middle of June.
Timothy is the basic grass in Hokkaido. It is mostly prepared into silage and given to milk cows. WSC of timothy strongly affect fermentation in silages because it is a source of nutrients of lactic acid bacteria during storage in silages [1] . The WSC content of timothy changes due to various factors and many of these have been clarified by experimental factorial analysis by Masuko et al. [2] [3] [4] , Souma et al. [5] , and Wang et al. [6] .
Factors previously analyzed experimentally can be applied to grass production sites of dairy farms, but the most necessary factors for production sites may be the growth stage (harvest time) and yearly changes. Although changes associated with the harvest time may be patternized, the WSC content may change at the harvest time within the season or among seasons. In either case, it may depend on the weather condition. To investigate it, it is necessary to measure the WSC content in the cutting period for several years.
In this study, timothy pastures of 3 TMR centers in Hokkaido were selected and grasses cut from the same pasture on different harvest dates were collected for 4 years. Changes in the WSC content were analyzed and the relationship with the weather condition collected from the AMeDAS data was investigated.
2. Materials and Methods
2.1. Material Grass Collection
The first cutting grasses of timothy harvested on different harvest dates were collected from pastures of 3 TMR centers: Kaiyo DAI and Nakashibetsu Farm Service in Nakashibetsu-cho and Dairy Support Betsukai in Betsukai-cho in Nemuro subprefecture, Hokkaido. The pastures from which timothy was collected were A-7, E-2, and G-1 of Kaiyo DAI, F-16, G-17, and O-11 of Nakashibetsu Farm Service, and Nos. 23, 27, 29, and 32 of Dairy Support Betsukai; 10 pastures in total. Grass was collected at one site each from the 10 pastures and collected at the same site as much as possible. Grass sampling was continued for 4 years from 2011 to 2014. The variety of timothy, harvest dates, and growth stages in each pasture of each TMR center are shown in Table 1. The harvest dates were set within the actual cutting period of the TMR centers in 2011-2014. The harvest dates in the 4-year period were June 17-22, June 24-26, June 27-30, and July 2-5 (grasses on these harvest dates were designated as the harvest date groups).
In 2011, the timothy variety was medium maturing Kiritappu in all 3 pastures
Table 1. The variety of timothy, harvest dates, and growth stages in each pasture of each TMR center.
*K: Kiritappu (medium maturing variety), N: Nosappu (early maturing variety), H: Horizon (early maturing variety).
of Kaiyo DAI. The grass was mainly in the boot stage on June 20 and at the heading time after June 29-30 in all 3 pastures. The variety was also Kiritappu in Nakashibetsu Farm Service, and the stage was mainly at the beginning of heading on June 20 and the heading date after June 29-30 in all 3 pastures. In Dairy Support Betsukai, the variety was early maturing Nosappu in one of the 4 pastures and early maturing Horizon in the other 3 pastures. The stage was the beginning of heading on June 20 and the heading time after June 24. In 2012, the stage was the heading time on June 27-29 in all pastures similar to in 2011. The stage was the heading date in all pastures on June 28, 2013, and June 25, 2014. The harvest time could not be uniformed and the grasses were mostly cut between 9:00 and 14:00.
2.2. Weather Conditions
For the weather conditions, weather data collected at 2 observation stations [7] in Nakashibetsu-cho and Betsukai-cho were utilized. The daily precipitation (mm), daily average temperature (˚C), and daily hours of sunlight (h) on June 17-July 5 in the 4-year period from 2011 to 2014 were extracted.
2.3. Analytical Methods
The grass materials of the pastures from each TMR center were kept in a cooler box, brought back to the laboratory, and frozen immediately arriving at the university. In 2011 and 2012, the grass materials were dried in an electric drying oven (FS-620: Advantec Co. Ltd., Tokyo, Japan) at 90˚C for 1 hour to inactivate enzymes in the grasses then 60˚C for 48 hours. In 2013 and 2014, the grass materials were dried in a freez-dryer (DRC-1000, FDU-2100 EYELA: Tokyorikakikai Co. Ltd., Tokyo, Japan). After drying, the grass materials were air-dried and ground to prepare analytical materials using a cutting mill (1029-13: Yoshida Co. Ltd., Tokyo, Japan). The dry matter (DM) contents of the grass materials were measured using the 135˚C/2 hours drying method [8] , and the WSC contents were measured using the procedures in Deriaz (anthron method) in 2011 and 2012 [9] and a modified method in 2013 and 2014 [10] . The modified method was as follows: Using the sample without treatment of drying and diethyl-ether extraction. 0.2 g sample was taken into the test tube and 30 ml of distilled water was added. The time of extraction of WSC was during 10 minutes in boiling water. Warming time for color development was changed to 25 minutes. Other than these conditions, the conventional method was used. Since the WSC content determined using the modified method is higher than that using the conventional method, correction was necessary. Since the following relationship between the WSC contents measured using the conventional and modified methods has been clarified, the values were corrected using the regression equation below: Y = 0.9942X + 26.21, R2 = 0.85, N = 62 (Y: WSC content (g/kg DM) measured by the modified method, X: WSC content (g/kg DM) measured by the conventional method).
2.4. Statistical Analysis
The WSC content was measured in grasses collected from the 10 sites of pastures of the 3 TMR centers. The values on each harvest date (4 groups) were treated in each year. For analysis by the variety, since the number of varieties was small, the yearly WSC content was pooled and divided into the 4 groups. The treated values were subjected to one-way layout analysis of variance followed by multiple comparison among the years or the harvest dates (groups). For multiple comparison, Fisher’s least significant method test was used. Statistical analysis was performed using Excel statistics 2010 (Social Survey Research Information Co. Ltd., Tokyo, Japan).
3. Results and Discussion
3.1. Weather Conditions
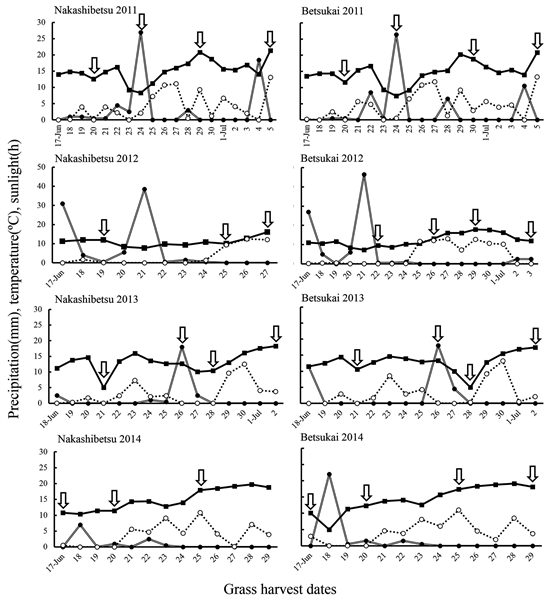
The weather conditions in Nakashibetsu-cho and Betsukai-cho are shown in Figure 1. Arrows indicate the grass harvest dates. In Nakashibetsu-cho, the average temperature on June 17-July 5 was 15.1˚C in 2011, 10.9˚C in 2012, 13.2˚C in 2013, and 14.9˚C in 2014, showing that the temperature was high in 2011 and 2014. The precipitation exceeded 18 mm on June 24 and July 4, 2011. In 2012, it exceeded 31 mm on June 17 and June 21. In 2013, there was no precipitation on 10 of the 15 days and 18 mm precipitation was noted on June 26. In 2014, there was no precipitation on 8 of the 13 days and 7 mm precipitation was noted on June 18. The hours of sunlight exceeded 4 hours on 9 days in 2011. In 2012, it increased from June 25 and exceeded 9 hours. In 2013, it exceeded 7 hours on June 23 and June 29-30. In 2014, it exceeded 4 hours on June 21-29 excluding June 27. In 2011, the temperature was high, the hours of sunlight were long, and the precipitation was the second highest.
Betsukai-cho is only about 20 km apart from Nakashibetsu-cho and the weather conditions were similar. Only the precipitation differed. The precipitation in Betsukai-cho was 8, 9, and 15 mm greater than those in Nakashibetsu-cho on June 21, 2012, June 18, 2013, and June 18, 2014, respectively.
3.2. Changes in WSC Content on Each Harvest Date among the Years and Each Variety among Harvest Dates
The WSC contents on each harvest date are shown by the year in Figure 2. The WSC content changed yearly. The WSC contents of the 4 harvest date groups (67.3 - 82.1 g/kg DM) in 2011 were lower than those (101.5 - 130.3 g/kg DM) in 2013 excluding the June 24-26 group, showing significant differences (P < 0.05, P < 0.01). On comparison between 2012 and 2014, no significant difference was noted in any of the groups. The WSC content tended to increase as the harvest date progressed in 2011-2013. In 2013, the WSC content was the lowest (77.0 g/kg DM) on June 24-26 and highest (124.0 - 130.3 g/kg DM) on June 27-30 and July 2-5 and the difference between the lowest and highest was significant (P < 0.01). The content significantly increased even though the harvest date was delayed in 2013 (P < 0.01). In 2013, the WSC content was significantly lower on June 24-26 than on June 17-22 (P < 0.01). Such tendency was not seen in the other years.
Ryumae et al. [11] reported that the WSC content of timothy decreased from June 12 over June 20, increased on June 30, and reached the maximum on July 13. Masuko et al. [2] also reported that the content was similarly high on June 6 and July 6 and low on June 21, and Souma et al. [5] reported that the content was the lowest on June 20, increased on June 30, and only slightly decreased even on July 10.
Based on these findings, the WSC content of timothy is considered to change in the following pattern: It is high before June 20 and once decreases around June 20 but re-increases thereafter. The WSC content varied in each year and a significant difference among the groups within the same season was noted in some years but it was not noted in others. Only in 2013, the WSC content was lower on June 24-26, probably because the lower values usually seen on around June 20 appeared later on around June 24 for some reasons. Further investigation is needed.
Considering that there is a close relationship between the variation of the WSC content in each year and dry matter yield, the dry matter yields of the first cutting grasses from Betsukai-cho in 2011-2014 were investigated from the yield data published by Nemuro Agricultural Development and Extension Center, Industry Promotion Section, Nemuro Subprefectural Bureau [12] . The dry matter yield was 4.52 t/ha in 2011, being the highest among the 4 years and 4.17 t/ha in 2012, being the lowest. The dry matter yield of the first cutting grass was high and the WSC content was low in 2011. In 2012, the dry matter yield was low and the WSC content was higher than that in 2011. Since the temperature was high with precipitation and long hours of sunlight in 2011, grass growth may have been favorable and WSC may have been actively produced by photosynthesis [5] . The low WSC content may have been due to an increase in consumption with grass growth [13] [14] .
The WSC content was high in grass harvested on a later date and this may have been due to the glucose and fructose requirements with an increase in cell wall polysaccharides, such as hemicellulose and cellulose, and synthesis of reserve carbohydrates, such as fructosan and starch [13] [14] [15] . Fructosan of Italian ryegrass increases with progression of the growth stage [16] , being consistent with the finding of this study.
The WSC contents on each variety are shown by the harvest dates in Figure 3. The WSC content of Nosappu (early maturing variety) was higher than those of Horizon (early maturing variety) and Kiritappu (medium maturing variety) in the 3 groups: June 17-22, June 24-26, and June 27-30, but lower in the July 2-5 group. However, the differences were not significant. Since the number of Nosappu repetition was small, comparison in an increased number of repetition may be necessary.
Figure 1. The weather conditions in Nakashibetsu-cho and Betsukai-cho. Arrows indicate the grass harvest dates. precipitation, temperature, sunlight.
Figure 2. The WSC contents on each harvest date among the years. Vertical bars represent standard deviation. Value with a different letter are significantly different (a, b: P < 0.05, A, B: P < 0.01) among the years or the harvest dates (groups). 6/17-22, 6/24-26, 6/27-30, 7/2-5.
Figure 3. The WSC contents on each variety among the harvest dates. Vertical bars represent standard deviation. Nosappu (early maturing variety), Horizon (early maturing variety), Kiritappu (medium maturing variety).
4. Conclusion
In Hokkaido, preparation of silage of the first cutting grass of timothy starts in the middle of June and completes at the beginning of July in many cases. The harvest dates correspond to the active growth period over the period with increases in reserve carbohydrates and cell wall polysaccharides of the growth process of the grass. This experiment clarified that the WSC contents in the 4-year period were in the range of 67.3 - 130.3 g/kg DM, and the WSC content was low on June 17-22. The WSC content is maintained at a high level even though the harvest date is delayed but cell wall polysaccharides increase, which may reduce the nutritive value. The WSC content varied yearly, suggesting its relationships with the weather condition and dry matter yield of the grass.
Acknowledgements
We are grateful to the TMR centers: Kaiyo DAI, Nakashibetsu Farm Service, and Dairy Support Betsukai, for great cooperation in the collection of grasses and the Kitanemuro branch of the Nemuro Agricultural Development and Extension Center for support for the collection of grasses.
Conflicts of Interest
The authors declare no conflicts of interest regarding the publication of this paper.
Cite this paper
Okubo, M., Takahashi, D., Abe, F., Shinoda, H., Deguchi, K., Shio, N., Masuko, T. and Souma, K. (2019) Changes in Water Soluble Carbohydrates Content of Timothy (Phleum pratense L.) in Pastures of TMR Centers over 4 Years. American Journal of Plant Sciences, 10, 276-284. https://doi.org/10.4236/ajps.2019.102021
References
- 1. Ohyama, Y. (1971) Problems in Silage Fermentation. Japan Journal Zootechnics Science, 42, 301-317.
- 2. Masuko, T., Ono, A., Furukawa, N. and Otani, T. (1994) Changes in Crude Protein, ADF and Water Soluble Carbohydrate (WSC) Contents of Temperate Grass Cut at Three Stages of Growth in Hokkaido. Journal of Japanese Society of Grassland Science, 40, 227-229.
- 3. Masuko, T., Kodama, I., Uematsu, H., Kuboi, S., Maeda, Y. and Yamanaka, Y. (1994b) Changes in Mono and Disaccharide Contents of Temperate Grass Cut at Three Stages of Growth in Hokkaido. Journal of Japanese Society of Grassland Science, 40, 230-233.
- 4. Masuko, T., Souma, K., Wang, P., Yamada, K., Yamada, S., Cai, Y. and Nibe, A. (2008) Water Soluble Carbohydrate and Mono- and Oligosaccharides Content of Wilted Timithy (Phleum pratense L.) Harvested in the Moring and Evening and Fermentation Quality of Wilted Silage. Nihon Chikusan Gakkaiho, 79, 37-44.
- 5. Souma, K., Masuko, T., Shimizu, C., Yamada, K. and Cai, Y. (2006) Factors Affecting Water Soluble Carbohydrates Content and Sugar Composition of Timothy (Phleum pretense L.) the Leading Grass Species in Hokkaido. Nihon Chikusan Gakkaiho, 77, 495-500. https://doi.org//19.2508/chikusan.77.495
- 6. Wang, P., Souma, K., Okamoto, H., Kin, S., Sugita, A., Furudate, A., Sato, C., Nibe, A., Cai, Y. and Masuko, T. (2014) Effects of Potassium Fertilizer on Water-Soluble Carbohydrate Content of Timothy (Phleum pratense L.), Silage Fermentation, Nutritive Values, and Nutrient Intake. American Journal of Plant Sciences, 5, 1030-1038. https://doi.org/10.4236/ajps.2014.57115
- 7. Japan Meteorological Agency, Ministry of Land, Infrastructure, Transport and Tourism (2018) Retrieval of Past Weather Data.http://www.data.jma.go.jp/obd/stats/etrn/index.php?prec_no=18&block_no=1489&year=&month=&day=&view=
- 8. AOAC (2000) Official Methods of Analysis. 17th Edition, Association of Official Chemists, Gaithersburg.
- 9. Deriaz, R.E. (1961) Routine Analysis of Carbohydrates and Lignin in Herbage. Journal of the Science of Food and Agriculture, 12, 152-160. https://doi.org/10.1002/jsfa.2740120210
- 10. Shinoda, H., Deguchi, K., Iida, K., Ashikaga, K. and Masuko, T. (2016) Modification of Anthrone Method to Measure Water Soluble Carbohydrates Content in Grass and Mixed Sward. Japan Journal of Grassland Science, 62, 1-7.
- 11. Ryumae, N., Kitamura, T., Yatsu, H., Iki, S., Shinoda, H., Miwa, T. and Takayama, M. (2010) Research and Extension about the Improvement of Grass Silage Quality through the Improvement of Grassland Management Techniques. Journal of Hokkaido Society of Grassland Science, 44, 6-11.
- 12. Hokkaido Government Nemuro Subprefectural Bureau, Nemuro Agricultural Extension Center (2018) The Yield Data. http://www.nemuro.pref.hokkaido.lg.jp/ss/nkc/toukei/glassdata_index.htm
- 13. Sakurai, H., Shibaoka, H., Ashihara, T. and Takahashi, Y. (2001) Introduction to Plant Physiology. Baifukan, Tokyo, 172-190.
- 14. Masuda, Y. (2003) Plant Physiology. Baifukan, Tokyo, 199-207.
- 15. Murata, Y. (1978) Changes in Photosynthetic Products. Agronomy Dictionary (Noguchi, Y), Yokendo Publication, Tokyo, 804-808.
- 16. Masaki, S. and Ohyama, Y. (1976) Nonstructural Carbohydrates in Italian Ryegrass Determined by Liquid Chromatography. Japan Journal Zootechnics Science, 47, 205-211.





