American Journal of Plant Sciences
Vol.05 No.22(2014), Article ID:51500,11 pages
10.4236/ajps.2014.522355
Exogenous Vitamin K3 and Peroxides Can Alleviate Hypoxia in Bean Seedlings (Phaseolus vulgaris L.)
C. B. Rajashekar1*, Jinmin Fu2, Anju Giri1
1Department of Horticulture, Forestry and Recreation Resource, Kansas State University, Manhattan, USA
2Key Laboratory of Plant Germplasm Enhancement and Specialty Agriculture, Wuhan Botanical Garden, Chinese Academy of Sciences, Wuhan, China
Email: *crajashe@ksu.edu
Academic Editor: Thomas M K Elmore-Meegan, Dept Public Health Research, International Community for Relief of Starvation and Suffering; Dept International Health, College of Medicine, Tampere University, Finland
Copyright © 2014 by authors and Scientific Research Publishing Inc.
This work is licensed under the Creative Commons Attribution International License (CC BY).
http://creativecommons.org/licenses/by/4.0/



Received 3 October 2014; revised 17 October 2014; accepted 6 November 2014
ABSTRACT
Oxygen limiting conditions are a common occurrence in root zones of most crop plants and can adversely affect nearly all aspects of plant growth and development including its survival. The objective of this study was to determine the effectiveness of a novel redox cycling agent, vitamin K3, and various peroxides including hydrogen peroxide, calcium peroxide and magnesium peroxide in alleviating the effects of hypoxia in bean seedlings grown in nutrient culture. All the anti-hypoxic agents including vitamin K3 had a positive impact on the overall growth of bean seedlings under hypoxic conditions, but their responses were variable depending on the concentration. With regard to shoot growth, vitamin K3 (5 μM) increased the leaf area significantly, by more than 58% over the hypoxic control plants and produced the highest stem fresh weight similar to calcium peroxide (20 μM) and magnesium peroxide (10 μM). In addition, the use of vitamin K3 resulted in the highest accumulation of chlorophyll (chla + chlb) in the leaves, an increase of nearly two-fold over the hypoxic control plants. Furthermore under hypoxia, calcium peroxide (20 μM) and magnesium peroxide (10 μM) produced the highest leaf biomass (FW) followed by vitamin K3. Vitamin K3 (1 μM) also favored root growth in bean seedlings under hypoxia; it produced the largest increase in root length and root biomass (DW) similar to calcium peroxide and magnesium peroxide. Based on the overall shoot and root growth response of bean seedlings to various anti-hypoxic substances under hypoxic conditions, calcium peroxide, magnesium peroxide and vitamin K3 performed better than hydrogen peroxide. These findings show that vitamin K3 and peroxide salts are effective in alleviating hypoxic stress in bean seedlings and also, further highlight their potential for dealing with hypoxia in wide ranging situations.
Keywords:
Hypoxia, Vitamin K3, Menadione, Peroxides, Beans

1. Introduction
Oxygen limitation to the plants especially to the roots is a common occurrence in crop plants. It is a chronic problem in heavy, poorly drained soils but it can occur in most regions, regardless of soil type, during a transient flooding after a heavy rainfall or prolonged flooding in river basins and coastal areas. Furthermore, in recent decades with the growing threat of global climate change, the risk of more severe and frequent flooding has been dramatically increasing, affecting food production and food security [1] . In the US among all the abiotic stresses, too much or too little water is by far the major reason for crop losses [2] .
Flooding can adversely affect seed germination, seedling establishment, impair growth and development of plants leading to serious reduction in crop productivity and even crop losses (see review by [3] -[7] ). Severity of these effects however depends on crop species and the length of their exposure to hypoxia. However, most crop plants including beans are typically sensitive to hypoxia [8] [9] . Moreover, roots are especially sensitive to oxygen deficiency which can accrue rapidly in waterlogged soils as diffusion of air in saturated soils is relatively low.
The major metabolic consequence of hypoxia is a shift in respiration from a high-energy yielding aerobic pathway to low-energy yielding fermentative glycolysis. Low-energy status in plants is expected to have a broad range of negative consequences on just about all the plant functions including diminished photosynthetic activity leading to reduced growth and biomass accumulation [10] . In addition, in response to hypoxia, plants exhibit a number of physiological and morphological changes which may help plants to deal with oxygen deficiency and are thought to promote plant adaptation to hypoxia. These include changes in carbohydrate metabolism [4] , induction of ethylene, lowering of cellular pH, development of aerenchyma [11] and activation of a number of hypoxia-responsive genes [1] [12] .
Although there have been a number of efforts to reclaim land affected by long-term flooding or polluted by harmful toxic substances by using oxidizing agents, very little attention has been focused on alleviating the adverse effects of oxygen limitation in crop plants. For soil bioremediation, many oxygen-rich peroxides which have a strong oxidizing capacity, including hydrogen peroxide, calcium peroxide and magnesium peroxide, have been studied extensively for their potential use in reclaiming these soils [13] [14] . In the case of crop plants, oxygen-rich peroxides have been used, mainly as a seed treatment, to provide oxygen and to improve crop performance in wetland rice, and to improve germination of seeds [15] -[18] . In addition, use of hydrogen peroxide has been found to improve crop performance of avocado in poorly drained soils [19] . However, very little is known as to the relative effectiveness of these oxygen-rich compounds used in improving germination or plant performance under hypoxic conditions.
In addition to evaluating the relative effectiveness of some of the commonly used peroxides, we report here a novel redox cycling agent, vitamin K3, as an anti-hypoxic substance that can alleviate hypoxia in bean seedlings. Vitamin K consists of many structural analogs and belongs to a family of napthaquinones which not only play an important role in human health but also in maintaining redox homeostasis in plants and microbes. The two well-known naturally occurring forms of this vitamin are vitamin K1, also known as phylloquinone, found in green plants and involved in electron transport in photosystem I of photosynthesis, and the other is the vitamin K2, also known as menaquinone, produced by certain bacteria including the anaerobic bacteria in human gut. The synthetic and commonly used water soluble analog of this vitamin is vitamin K3 (menadione) which is used as redox mediator or to generate reactive oxygen species [20] [21] . Menadione plays a complex role in plants; it is known, in addition to its ability to produce reactive oxygen species, to induce resistance against biotic stresses in plants [22] , to induce chilling tolerance in plants [23] and to overcome the adverse effects of hypoxia in animal tissues [24] .
Potentially, these anti-hypoxic compounds can be used in poorly drained heavy soils which are prone to oxygen deficiency and during transient flooding following heavy rains to mitigate oxygen deficiency in root zone of crop plants. In addition, these compounds would be a valuable tool in the emerging hydroponic industry, bioreactors and liquid cell cultures where these additives can substitute the current cumbersome and expensive approaches used to provide aeration. The main objective of this study was to compare the effectiveness vitamin K3 with oxygen-rich peroxides including hydrogen peroxide, calcium peroxide and magnesium peroxide in alleviating the adverse effects of hypoxia on the growth and development of bean seedlings.
2. Materials and Methods
2.1. Plant Culture and Treatments
Bean seeds (Phaselous vulagris L. cv. Tendergreen) were purchased from Chesmore seed company (St. Joseph, MO) and were planted in wet calcareous sand contained in plastic pots (9 cm × 9 cm) and germinated at 30˚C/ 25˚C (day/night) in a growth chamber. After emergence of true leaves, the seedlings were transplanted into 200-mL glass bottles, each containing 200 mL of Hoagland solution. The seedling was held in upright position by a rubber stopper in such a way that the roots were completely submerged in Hoagland solution while the shoots were exposed to the air with the seedling stem passing through an 8 mm hole in the center of the rubber stopper. The stopper was cut across radially from the hole so that the stem can be placed in the hole. Each bottle contained one seedling and the stopper was sealed using Parafilm so as to prevent air leaking into the bottles. The bottles were tightly wrapped with aluminum foil to keep the roots in the dark.
Seedlings were grown in a growth chamber with day/night temperature of 30˚C/25˚C, and a 8-h photoperiod under a light intensity (photo synthetically active radiation) of 400 μmol∙m−2∙s−1. Bean seedlings were grown in nutrient medium for 15 d to induce hypoxia. This was confirmed by measuring dissolved oxygen in the medium before transferring the seedlings to the medium and after 15 d of plant growth by using a YSI ProODO oxygen meter (YSI Inc., Yellow Springs, OH). After calibrating the instrument, the probe was immersed the nutrient solution to record the dissolved in oxygen levels in triplicate samples. The dissolved oxygen level dropped from 7.57 ± 0.02 to 1.86 ± 0.59 mg/L after 15 d of plant growth indicating the hypoxic conditions in the nutrient medium. The treatments included Hoagland solution containing freshly prepared hydrogen peroxide at 10 and 20 mM, calcium peroxide at 10 and 20 μM, magnesium peroxide at 10 and 20 μM or vitamin K3 (menadione sodium bisulfate) at 1 and 5 μM (Sigma Chemical Co., St. Louis) while the control consisted of Hoagland solution. The experiments were conducted on a completely randomized design with 4 replications.
2.2. Plant Growth Measurements
After 15 d of plant growth in nutrient culture, plants were harvested and leaves, stem and roots were separated. Fresh weights of leaves and stem were measured immediately. To determine dry weights, samples were initially subjected to 105˚C for 30 min and subsequently dried in an oven at 85˚C until constant weight. Roots were washed thoroughly with tap water and blotted gently with paper towels. Leaf area, root surface area and root length were determined by using a digital image analyzer (Monochrome AgVision System, Decagon Devices, Inc., Pullman) following the procedure of Harris and Campbell [25] . Leaf chlorophyll content was determined by extracting leaf samples (0.05 g) with dimethyl sulfoxide for 48 h and the absorbance of the extract was measured at 635 and 645 nm using a spectrophotometer (Spectronic Instruments, Inc., New York).
2.3. Statistical Analyses
Data on plant growth were analyzed by analysis of variance using the General Linear Models (GLM) Procedure of Statistical Analysis System (SAS Institute, Cary, NC). Treatment means were separated using the Least Significant Difference (LSD) test at a 0.05 probability level.
3. Results
Growth characteristics of bean seedlings were analyzed in response to various anti-hypoxic agents in seedlings grown in the liquid medium for 15 d. Bean plants were sensitive to hypoxia, and growing plants for 15 days in the nutrient medium reduced its dissolved oxygen level by more than 75%. The seedlings subjected to hypoxia showed reduced overall growth compared to those grown in the nutrient medium containing oxygen-rich peroxides and vitamin K3. All the major shoot and root growth characteristics measured in control plants were significantly lower than those in plants grown in the medium containing anti-hypoxic agents. Although all the anti- hypoxic agents had a positive impact on overall growth of been seedlings, the responses were variable and varied depending on the anti-hypoxic agents and their concentrations in the nutrient medium.
Total leaf area of bean seedlings treated with all the peroxides and vitamin K3 increased significantly with the exception calcium peroxide at 10 μM (Figure 1). However, the largest increase in leaf area was with calcium peroxide at 20 μM, magnesium peroxide at 10 μM and vitamin K3 at 5 μM, producing a leaf area more than 58% of that in the control plants. Similarly, the specific leaf area/plant was higher in plants treated with anti-hypoxic agents than in the control, reflecting an overall positive relationship between leaf area and leaf fresh weight (Table 1). Leaf fresh weight of seedlings increased with all the anti-hypoxic treatments except hydrogen peroxide and magnesium peroxide both at 20 μM. However, the largest increase in leaf fresh weight resulted from the treatment of seedlings with calcium peroxide (20 μM) and magnesium peroxide (10 μM) followed by vitamin K3 (5 μM) which, respectively, produced 37% and 35% more leaf fresh weight than the control plants. Furthermore, treating bean seedlings with vitamin K3 (5 μM) produced the highest stem fresh weight similar to calcium peroxide (20 μM) and magnesium peroxide (10 μM, Table 1). Overall, these three treatments consistently showed better shoot growth responses in bean seedlings than did other anti-hypoxic treatments as evidenced by their similar responses in relation to their stem fresh weight, leaf expansion, leaf fresh weight and shoot biomass (FW) (Table 1, Figure 1, Figure 2 and Figure 3). However, it should be noted that these changes in shoot growth characteristics were more pronounced on the fresh weight basis than on the dry weight basis. It is interesting to note that hydrogen peroxide applied at both concentrations (10 and 20 mM) showed the least positive impact on many of the shoot growth characteristics compared to other anti-hypoxic agents (at concentrations evoking the best response). These shoot growth characteristics of bean plants included leaf area, leaf fresh weight, stem fresh weight and shoot biomass.
Leaf chlorophyll content (chla + chlb) increased significantly in bean seedlings grown in the nutrient medium containing anti-hypoxic agents compared to the hypoxic control (Table 2). Largest increase in leaf chlorophyll (chla) content was observed in plants grown in the medium containing vitamin K3 (5 μM), which was more than 80% over that in the hypoxic control plants. Similar pattern was also noted in the chlorophyll (chla + chlb) content. Bean seedlings treated with vitamin K3 (5 μM) produced the highest amount of chlorophyll (chla + chlb), representing a 96% increase over the control seedlings. The sharp increase in chlorophyll content is consistent with better overall shoot growth observed in seedlings treated with vitamin K3.
After growing bean seedlings in nutrient solutions under hypoxic conditions and with anti-hypoxic treatments for 15 d, their root growth characteristics were also analyzed. The total root length of bean seedlings grown in
Figure 1. Leaf area of bean seedlings after growing them for 15 d in nutrient solution containing oxygen-rich peroxides and vitamin K3 at various concentrations. Control consisted of seedlings grown in the nutrient solution with hypoxic conditions. Bars with same letters are not significantly different. Data represent means (n = 4) separated by LSD at p < 0.05.
Figure 2. Shoot biomass (FW basis) accumulation in bean seedlings after growing them for 15 d in nutrient solution containing oxygen-rich peroxides and vitamin K3 at various concentrations. Control consisted of seedlings grown in the nutrient solution with hypoxic conditions. Bars with same letters are not significantly different. Data represent means (n = 4) separated by LSD at p < 0.05.
Figure 3. Photos showing bean seedling growth in nutrient solution with hypoxic conditions (control) and in nutrient solution containing hydrogen peroxide (10 mM), calcium peroxide (20 μM), magnesium peroxide (10 μM) and vitamin K3 (5 μM).
Table 1. Leaf and stem growth characteristics of bean seedlings after growing them for 15 d in nutrient solution containing oxygen-rich peroxides and vitamin K3. Control consisted of seedlings grown in the nutrient solution with hypoxic conditions. Increase in shoot biomass accumulation (FW, %) due to treatments was calculated over that of the control. Data represent means (n = 4) and the means were separated by LSD at p < 0.05.
Table 2. Chlorophyll a and chlorophyll b content of leaves of bean seedlings after growing them for 15 d in nutrient solution containing oxygen-rich peroxides and vitamin K3. Control consisted of seedlings grown in the nutrient solution with hypoxic conditions. Increase (%) in chlorophyll (chla + chlb) due to treatments was calculated over that of the control. Data represent means (n = 4) and the means were separated by LSD at p < 0.05.
the nutrient medium containing peroxides and vitamin K3 was significantly larger than the control (Figure 4). Among the treated plants, calcium peroxide (10 μM), magnesium peroxide (10 μM) and vitamin K3 (1 μM) produced the largest root length followed by other anti-hypoxic treatments whose responses were very similar.
Similarly, all the anti-hypoxic agents had a positive impact on root surface area with calcium peroxide (20 μM) and magnesium peroxide (10 μM) showing the largest increase followed by vitamin K3 (1 μM). However, root dry matter accumulation was not affected by most of the anti-hypoxic treatments except calcium peroxide (20 μM) and magnesium peroxide (10 μM) which produced about 81% and 76% more root dry matter (on the DW basis), respectively, than did the hypoxic control. The results show that, by and large, calcium peroxide and
Figure 4. Root growth characteristics including root length, root surface area and root biomass (DW) in bean seedlings after growing them for 15 d in nutrient solution containing oxygen-rich peroxides and vitamin K3 at various concentrations. Control consisted of seedlings grown in the nutrient solution with hypoxic conditions. Bars with same letters are not significantly different. Data represent means (n = 4) separated by LSD at p < 0.05.
magnesium peroxide had a overall positive impact on root growth parameters including root length, root surface area and root biomass. This was followed by vitamin K3 which produced significant increase both in root length and root surface area but not in the root biomass (Figure 4).
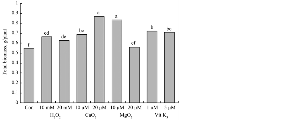
The total biomass accumulation of bean seedlings (DW basis) in response to various treatments followed the same trend as their shoot biomass accumulation (Figure 5). The highest biomass accumulation was observed in seedlings that were treated with calcium peroxide (20 μM) and the lowest with magnesium peroxide (20 μM). Seedlings treated with vitamin K3 at both concentrations (1 and 5 μM) produced higher biomass accumulation than did the control plants.
The results on root-shoot ratio was variable with regard to the various hypoxic treatments. Bean seedlings treated with calcium peroxide (10 μM) had no effect on root-shoot ratio compared to the hypoxic control (Figure 6).
Figure 5. Total biomass (DW basis) accumulation in bean seedlings after growing them for 15 d in nutrient solution containing oxygen-rich peroxides and vitamin K3 at various concentrations. Control consisted of seedlings grown in the nutrient solution with hypoxic conditions. Bars with same letters are not significantly different. Data represent means (n = 4) separated by LSD at p < 0.05.
Figure 6. Root-shoot ratio (DW basis) of bean seedlings after growing them for 15 d in nutrient solution containing oxygen-rich peroxides and vitamin K3 at various concentrations. Control consisted of seedlings grown in the nutrient solution with hypoxic conditions. Bars with same letters are not significantly different. Data represent means (n = 4) separated by LSD at p < 0.05.
Other treatments increased the root-shoot ratio, and the only exception being vitamin K3 (5 μM) which had a lower ratio than the control. Although hydrogen peroxide treatment (20 mM) did not increase the root growth as much as the other treatments, it did produce the highest root-shoot ratio. This may be due to the fact that hydrogen peroxide (20 mM) was not able to produce as much as shoot biomass as other anti-hypoxic agents.
Although vitamin K3 has a positive impact both on shoot and root growth characteristics of bean seedlings grown under hypoxic conditions, its concentration seems to play a key role in their responses. Table 3 summarizes the positive impact of vitamin K3 at 2 different concentrations on a number of shoot and root growth parameters of bean seedlings grown in non-aerated nutrient medium. The shoot growth was favored at higher concentration of vitamin K3 (5 μM) while lower concentration (1 μM) had a strong positive impact on the root growth in seedlings.
4. Discussion
All the anti-hypoxic agents showed a positive effect on both shoot and root growth in bean seedlings compared to the hypoxic control. Compared to the anti-hypoxic treatments, bean seedlings under hypoxia produced lowest shoot and root biomass accumulation, leaf area, chlorophyll content, root length and root surface area. Many studies have characterized the adverse impact of hypoxia on plant growth and development. Consistent with our observations in bean seedlings, hypoxia typically has been shown to reduce biomass of shoots and roots [26] . Gravatt and Kirby [27] compared the growth responses of hypoxia intolerant and tolerant seedlings of hardwood woody species to flooding and found that oxygen deficiency resulted in reduced net photosynthesis, total chlorophyll contents, and relative growth rates of stems, roots and the whole plants in all the species. When bean seedlings were subjected to hypoxia, vitamin K3 and the peroxides, especially calcium peroxide and magnesium peroxide showed positive results on the growth. Based on both shoot and root growth analyses, vitamin K3 promotes growth in bean seedlings under oxygen limiting conditions. Vitamin K3 (5 μM) produced the largest leaf area and stem fresh weight in bean seedling relative to other anti-hypoxic agents. Also largest increases were also observed with vitamin K3 treatment (depending on the concentration) in stem dry weight, root length and root biomass (DW), similar to the traditional oxygen-rich peroxide salts. Furthermore, bean seedlings under hypoxic conditions accumulated more chlorophyll (chla + chlb) in the presence of vitamin K3 than any other anti- hypoxic agents tested in this study. Previous studies have shown that vitamin K3 (menadione) improved growth (biomass accumulation) of maize seedlings and increased their survival of during chilling stress [23] , induced resistance in plants against pathogens [22] and reduced the effects of hypoxia in animal tissues [24] .
It is interesting note that shoot and root growth responses were consistently very different based on the concentration of vitamin K3. Typically, shoot growth, characterized by almost all the leaf and stem growth characteristics measured [leaf area, specific leaf area, stem biomass (FW), shoot biomass (FW) and leaf chlorophyll content], were favored at higher concentration of vitamin K3 (5 μM) while in contrast, root growth [characterized by root length, root surface area and root biomass (DW) and root-shoot ratio (DW)] was promoted at lower concentration of vitamin K3 (1 μM). It is worth noting that suppression of root growth at higher concentration of vitamin K3 is striking, for example, the root biomass decreased drastically by more than 2.5 fold by increasing its concentration from 1 to 5 μM. However, this reduction in root growth was perhaps compensated by increase in shoot growth, as evidenced by the nearly identical total biomass accumulations when plants were treated with
Table 3. Increase (%) in shoot and root growth parameters in bean seedlings over control caused by different concentrations of vitamin K3. The seedlings were grown in nutrient solution containing vitamin K3 for 15 d. Control consisted of seedlings grown in nutrient solution without aeration.
either concentrations of vitamin K3. This may suggest a reallocation of biomass in bean seedlings to shoots and roots with the variable vitamin K3 concentrations. Nevertheless, it should be recognized that vitamin K3 at much higher concentration can produce adverse effects on plant growth because of its ability to generate reactive oxygen species [21] . However on the other hand, it should also be noted that plant tissues can prevent the oxidative stress by inducing a number of antioxidants enzymes [23] . For example, vitamin K3 is known to produce superoxide anion which, in the presence of superoxide dismutase, undergoes dismutation to form hydrogen peroxide and molecular oxygen [20] . Further, hydrogen peroxide can be decomposed to molecular oxygen and water by catalase in the cells. Thus, vitamin K3 can facilitate the availability of oxygen within the cells that naturally contain these antioxidant enzymes, producing very little changes in the dissolved oxygen levels in the external medium. The assumption is that vitamin K3 can generate oxygen in the tissue containing these antioxidant enzymes, thus uptake of vitamin K3 by roots appears to be critical. However, it is not known as to how rapidly this anti- hypoxic agent is taken up by the roots of bean seedlings.
There was also a concentration-dependent response of bean seedlings to calcium peroxide and magnesium peroxide under hypoxic conditions. However, the concentration dependence in this case was different from that observed with vitamin K3 in that calcium peroxide at 20 μM and magnesium peroxide peroxide at 10 μM produced better overall growth of bean seedlings including both shoot and root growth in bean seedlings grown under hypoxic conditions than other peroxides tested. These treatments consistently produced higher shoot biomass and favorable various other shoot growth parameters such as leaf fresh weight, leaf area, leaf dry weight, stem fresh weight and stem dry weight. Similarly, root growth was also favored by this treatment, including root biomass, root area and root length. However, higher concentration of magnesium peroxide (20 μM) had the least favorable effect on various shoot and root growth parameters of bean seedlings except for the leaf chlorophyll content. It had markedly more negative impact on root growth compared to shoot growth. For example, at higher concentration of magnesium peroxide (20 μM), the reduction in shoot biomass (FW) was about 25% while it was about 76% for root biomass (DW) compared to that at a lower concentration of magnesium peroxide (10 μM).
Results also show that calcium and magnesium peroxides tend to alleviate hypoxia better than hydrogen peroxide based on the plant responses with regard to the various growth parameters in bean seedlings. Based on the average responses (average of two concentrations for each peroxide treatment), hydrogen peroxide treatment produced less shoot growth, characterized by leaf fresh weight, leaf area, leaf dry weight, stem fresh and dry weights, shoot biomass (both on dry and fresh weight basis), and total biomass (on dry weight basis) than did either calcium peroxide or magnesium peroxide. Similar response was also observed with regard to various root growth characteristics. However, hydrogen peroxide has been traditionally used as a seed treatment to reduce the adverse effects of hypoxia in plants and in soil bioremediation [14] [15] [19] . Previous studies have shown that peroxide salts are more stable and may release oxygen more slowly than hydrogen peroxide [14] [28] . Thus, these peroxide salts may be more suitable to sustain plants against hypoxia over longer periods of time and for bioremediation because of their ability to release oxygen more slowly than hydrogen peroxide [14] [29] .
5. Conclusion
In summary, vitamin K3, a redox cycling agent, was able to offset the adverse effects of hypoxia in bean seedlings. It produced better shoot and root growth in bean seedlings under hypoxia than hydrogen peroxide did, but was comparable to traditional calcium peroxide or magnesium peroxide. The shoot and root growth characteristics included leaf area, shoot biomass, root length and root biomass. The largest increase in leaf chlorophyll content in bean seedlings was due to vitamin K3; the chlorophyll (chla + chlb) concentration nearly doubled under hypoxic conditions compared to the control. Thus, the peroxide salts and vitamin K3 produced better overall growth in bean seedlings under hypoxic condition than hydrogen peroxide did. The results suggest that these anti-hypoxic agents including vitamin K3 have a potential use in addressing the problems associated with hypoxia in a wide ranging situations such as poorly drained soils, flooded soils, bodies of water, aquaculture, bioreactors and liquid tissue culture.
Acknowledgements
We thank Kansas Agricultural Experiment Station for supporting this study and this is a contribution by the KAES.
References
- Voesenek, L.A.C.J. and Bailey-Serres, J. (2013) Flooding Tolerance: O2 Sensing and Survival Strategies. Current Opinion in Plant Biology, 16, 647-653. http://dx.doi.org/10.1016/j.pbi.2013.06.008
- Bailey-Serres, J., Lee, S.C. and Brinton, E. (2012) Waterproofing Crops: Effective Flooding Survival Strategies. Plant Physiology, 160, 1698-1709. http://dx.doi.org/10.1104/pp.112.208173
- Fukao, T. and Bailey-Serres, J. (2004) Plant Responses to Hypoxia—Is Survival a Balancing Act? Trends in Plant Science, 9, 449-456. http://dx.doi.org/10.1016/j.tplants.2004.07.005
- Dennis, E.S., Dolferus, R., Ellis, M., Rahman, M., Wu, Y., Hoeren, F.U., Grover, A., Ismond, K.P., Good, A.G. and Peacock, W.J. (2000) Molecular Strategies for Improving Waterlogging Tolerance in Plants. Journal of Experimental Botany, 51, 89-97. http://dx.doi.org/10.1093/jexbot/51.342.89
- Parent, C., Capelli, N., Berger, A., Crevecoeur, M. and Dat, J. (2008) An Overview of Plant Responses to Soil Waterlogging. Plant Stress, 2, 20-27.
- Araki, H., Hossain, M.A. and Takahashi T. (2012) Waterlogging and Hypoxia Have Permanent Effects on Wheat Growth and Respiration. Journal of Agronomy and Crop Science, 198, 264-275. http://dx.doi.org/10.1111/j.1439-037X.2012.00510.x
- Boonlertnirun, S., Suvannasara, R. and Boonlertnirum, K. (2013) Effects of Hypoxic Duration at Different Growth Stages on Yield Potential of Waxy Corn (Zea mays L.). International Journal Biological, Veterinary, Agricultural and Food Engineering, 7.
- Orphanos, P.I. and Heydecker, W. (1968) On the Nature of the Soaking Injury of Phaseolus vulgaris Seeds. Journal of Experimental Botany, 19, 770-784. http://dx.doi.org/10.1093/jxb/19.4.770
- Schravendijk, H.W. and Van Andel, H. (1985) Interdependence of Growth, Water Relations and Abscisic Acid Level in Phaseolus vulgaris during Waterlogging. Physiologia Plantarum, 63, 215-220. http://dx.doi.org/10.1111/j.1399-3054.1985.tb01905.x
- Oosterhuis, D.M., Scott, H.D., Hampton, R.E. and Wullschleger, S.D. (1990) Physiological Responses of Two Soyabeans [Glycine max (L.) Merr] Cultivars to Short-Term Flooding. Environmental and Experimental Botany, 30, 85-92. http://dx.doi.org/10.1016/0098-8472(90)90012-S
- Drew, M.C. (1997) Oxygen Deficiency and Root Metabolism: Injury and Acclimation under Hypoxia and Anoxia. Annual Review of Plant Physiology and Plant Molecular Biology, 48, 223-250. http://dx.doi.org/10.1146/annurev.arplant.48.1.223
- Sashidharn, R. and Mustroph, A. (2011) Plant Oxygen Sensing Is Mediated by the N-End Rule Pathway: A Milestone in Plant Anaerobiosis. The Plant Cell, 23, 4173-4183. http://dx.doi.org/10.1105/tpc.111.093880
- Cassidy, D.P. and Irvine, R.L. (1999) Use of Calcium Peroxide to Provide Oxygen for Contaminant Biodegradation in a Saturated Soil. Journal of Hazardous Materials, 69, 25-39. http://dx.doi.org/10.1016/S0304-3894(99)00051-5
- Waite, A.J., Bonner, J.S. and Autenrieth, R. (1999) Kinetics and Stoichiometry of Oxygen Release from Solid Peroxides. Environmental Engineering Science, 16, 187-199. http://dx.doi.org/10.1089/ees.1999.16.187
- Wescott, M.P. and Mikklesen, D.S. (1983) The Response of Rice Seedlings to O2 Released from CaO2 in Flooded Soils. Plant and Soil, 74, 31-39. http://dx.doi.org/10.1007/BF02178737
- Baker, A.M. and Hatton, W. (1987) Calcium Peroxide as a Seed Coating Material for Padi Rice. Plant and Soil, 99, 379-386. http://dx.doi.org/10.1007/BF02370883
- Biswas, J.K., Ando, H., Kakuda, K. and Purwanto, B.H. (2001) Effect of Calcium Peroxide Coating, Soil Source, and Genotype on Rice (Oryza sativa L.) Seedling Establishment under Hypoxic Conditions. Soil Science and Plant Nutrition, 47, 477-488. http://dx.doi.org/10.1080/00380768.2001.10408412
- Liu, G., Porterfield, D.M., Li, Y. and Klassen, W. (2012) Increased Oxygen Bioavailability Improved Vigor and Germination of Aged Vegetable Seeds. HortScience, 47, 1714-1721.
- Gil, P.M., Ferreyra, R., Barrera, C., Zungia, Z. and Gurovich, L.A. (2011) Improving Soil Oxygenation with Hydrogen Peroxide Injection into Heavy Clay Loam Soil: Effect on Plant Water Status, CO2 Assimilation and Biomass of Avocado Trees. Acta Horticulturae, 889, 557-564.
- Soballe, B. and Poole, R.K. (1999) Microbial Ubiquinones: Multiple Roles in Respiration, Gene Regulation and Oxidative Stress Management. Microbiology, 145, 1817-1830. http://dx.doi.org/10.1099/13500872-145-8-1817
- Lehmannn, M., Schwarzlander, M., Obata, T., Sirikantaramas, S., Burow, M., Olsen, C.E., Tohge, T., Fricker, M.D., Moller, B.L., Fernie, A.R., Sweetlove, L.J. and Laxa, M. (2009) The Metabolic Response of Arabidopsis Roots to Oxidative Stress Is Distinct from That of Heterotrophic Cells in Culture and Highlights a Complex Relationship between the Levels of Transcripts, Metabolites, and Flux. Molecular Plant, 2, 390-406. http://dx.doi.org/10.1093/mp/ssn080
- Borges, A., Dobon, A., Exposito-Rodriguez, M., Jimenez-Arias, D., Borges-Perez, A., Casanas-Sanchez, V., Perez, J.A., Luis, J.C. and Tornero, P. (2009) Molecular Analysis of Menadione-Induced Resistance against Biotic Stress in Arabidopsis. Plant Biotechnology Journal, 7, 744-762. http://dx.doi.org/10.1111/j.1467-7652.2009.00439.x
- Prasad, T.K., Anderson, M.D., Martin, B.A. and Stewart, C.R. (1994) Evidence for Chilling-Induced Oxidative Stress in Maize Seedlings and a Regulatory Role for Hydrogen Peroxide. The Plant Cell, 6, 65-74. http://dx.doi.org/10.1105/tpc.6.1.65
- Tirapelli, C.R., Mingatto, F.E. and De Oliveria, A.M. (2002) Vitamin K1 Prevents the Effect of Hypoxia on Phenylephrine-Induced Contraction in the Carotid Artery. Pharmacology, 66, 36-43. http://dx.doi.org/10.1159/000063255
- Harris, G.A. and Campbell, G.S. (1989) Automated Quantification of Roots Using a Simple Image Analyzer. Agronomy Journal, 81, 935-938. http://dx.doi.org/10.2134/agronj1989.00021962008100060017x
- Sena Gomes, A.R. and Kozlowski, T. (1980) Growth Responses and Adaptations of Fraxinus pennsylvanica Seedlings to Flooding. Plant Physiology, 66, 267-271. http://dx.doi.org/10.1104/pp.66.2.267
- Gravatt, D.A. and Kirby, C.J. (1998) Patterns of Photosynthesis and Starch Allocation in Seedlings of Four Bottomland Hardwood Tress Species Subjected to Flooding. Tree Physiology, 18, 411-417. http://dx.doi.org/10.1093/treephys/18.6.411
- Liu, G. and Porterfield, D.M. (2014) Oxygen Enrichment with Magnesium Peroxide for Minimizing Hypoxic Stress of Flooded Corn. Journal of Plant Nutrition and Soil Science, 177, 733-740. http://dx.doi.org/10.1002/jpln.201300424
- Northup, A. and Cassidy, D. (2008) Calcium Peroxide (CaO2) for Use in Modified Fenton Chemistry. Journal of Hazardous Materials, 152, 1164-1170. http://dx.doi.org/10.1016/j.jhazmat.2007.07.096
NOTES

*Corresponding author.








