Journal of Applied Mathematics and Physics
Vol.05 No.12(2017), Article ID:81041,6 pages
10.4236/jamp.2017.512189
Three-Qutrit Topological SWAP Logic Gate for ISK (I = 1, S = 1, K = 1) Spin System
Özge Şahin, Azmi Gençten*
Department of Physics, Faculty of Arts and Sciences, Ondokuz Mayıs University, Samsun, Turkey

Copyright © 2017 by authors and Scientific Research Publishing Inc.
This work is licensed under the Creative Commons Attribution International License (CC BY 4.0).
http://creativecommons.org/licenses/by/4.0/



Received: October 26, 2017; Accepted: December 11, 2017; Published: December 14, 2017
ABSTRACT
Three Zeeman levels of spin-1 electron or nucleus are called as qutrits in quantum computation. Then, ISK (I = 1, S = 1, K = 1) spin system can be represented as three-qutrit states. Quantum circuits and algorithms consist of quantum logic gates. By using SWAP logic gate, two quantum states are exchanged. Topological quantum computing can be applied in quantum error correction. In this study, first, Yang-Baxter equation is modified for ISK (I = 1, S = 1, K = 1) spin system. Then three-qutrit topological SWAP logic gate is obtained. This SWAP logic gate is applied for three-qutrit states of ISK (I = 1, S = 1, K = 1) spin system. Three-qutrit SWAP logic gate is also applied to the product operators of ISK (I = 1, S = 1, K = 1) spin system. For these two applications, expected exchange results are found.
Keywords:
Qutrits, SWAP Logic Gate, Yang-Baxter Equation, Product Operators

1. Introduction
A unit of information in quantum information processing is called qubit [1] . Qubits can be represented by two states of any quantum system such as magnetic quantum numbers of spin-1/2 [2] . For spin-1, magnetic quantum levels are called as qutrits [3] [4] [5] . Then, three-qutrit states can be obtained from ISK (I = 1, S = 1, K = 1) spin system. Quantum circuits and algorithms are consisting of quantum logic gates. In order to exchange two quantum states, SWAP logic gate is used for two qubit and two qutrit states [6] - [12] . Some studies on quantum logic gates of qutrits can be found elsewhere (e.g. [13] [14] ). In topological quantum computation, anyons are used for storing and manipulating quantum information [15] [16] [17] . Topological quantum computation can be useful in quantum error correction [15] . The Yang-Baxter equation is used to exchange two quantum states in topological quantum computing [16] . As a quantum mechanical method, product operator theory can be useful in NMR quantum computing [6] [7] [18] . For example, SWAP pulse sequence can be applied to the product operators of related spin system (e.g. [19] ).
In this study, by using two-qutrit SWAP logic gate, a three-qutrit topological SWAP logic gate is obtained. Then this logic gate is applied for three-qutrit states by using modified Yang-Baxter equation for spin-1. Obtained three-qutrit topological SWAP logic gate is also applied to the product operators of ISK (I = 1, S = 1, K = 1) spin system.
2. Theory
Zeeman levels of spin-1 electron or nucleus are referred as qutrit. For I = 1 nucleus, there are three magnetic quantum numbers of 1, 0 and −1. For these magnetic quantum numbers, corresponding qutrit states can be represented as , and respectively. In Hilbert space, matrix representations of these qutrit states are given as
, , . (1)
For two spin-1 system such as IS (I = 1, S = 1) spin system, nine two-qutrit states of , , , , , , , and are obtained by direct products of single qutrit states [9] . For example is 9 × 1 matrix. Two-qutrit CNOT gates can be found by using the ternary addition of qutrit states:
, (2a)
. (2b)
Here T is used for ternary. These two-qutrit CNOT gates are 9 × 9 matrices and they can be written in Dirac notation as following:
, (3a)
. (3b)
By using the SWAP logic gate two quantum states are exchanged as following:
. (4)
For two-qubit states of , SWAP quantum logic gate can be obtained by using two qubit CNOTa and CNOTb logic gates as following [1] [2] :
. (5)
This is not valid for two qudit states. Different implementations of SWAP logic gate for two qudit states are suggested in the literature (e.g. [8] [20] ). By using one of these implementations, two qudit SWAP logic gate can be written as [8]
. (6)
where, I is 3 × 3 unity matrix for two-qutrit states. By using this equation together with the Equations (3a) and (3b), two-qutrit SWAP logic gate in Dirac notation can be easily obtained:
. (7)
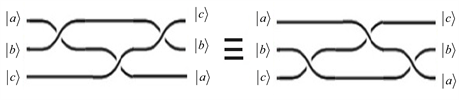
Diagrammatical representation of Yang-Baxter equation for a three-qutrit state is shown in Figure 1. Yang-Baxter equation is [13]
. (8)
In this equation, we can use R = SWAP(T). In this case input is and then output is . When we use three-qutrit states, this figure can be used as three-qutrit topological SWAP logic gate. Also this logic gate can be used for the reversal of the qubits or qudits.
3. Results and Discussion
For ISK (I = 1, S = 1, K = 1) spin system, 27 three-qutrit states of , , , , , , , , , are obtained by direct products of single qutrit states. In Yang-Baxter Equation for three-qutrit (Equation (8)), R is two-qutrit SWAP logic gate as given in Equation (7). Then, the result of Yang-Baxter Equation for three-qutrit, U is obtained as 27 × 27 matrix. So, this can be called as three-qutrit topological SWAP logic gate. The matrix representation of this three-qutrit SWAP logic gate in Dirac notation is
(9)
When the U matrix is applied to three-qutrit states, three-qutrit topological SWAP is performed as given in Table 1.
Nine Cartesian spin angular momentum operators for I = 1 are , , , , , , , and [21] . Similarly, there are
Figure 1. Diagrammatical representations of Yang-Baxter equation for a three-qutrit state. In both sides, there are three two-qutrit SWAP logic gate in different order.
also nine Cartesian spin angular momentum operators for both S = 1 and K = 1 spins. So, product operators are obtained with direct products of these spin angular momentum operators for ISK (I = 1, S = 1, K = 1) spin system. These product operators for ISK (I = 1, S = 1, K = 1) spin system are matrices. A Hamiltonian, H can be applied to a product operator as following:
. (10)
where, . In this study U will be three-qutrit SWAP logic gate as given in Equation (9). The SWAP operation can be applied to any product operator for ISK (I = 1, S = 1, K = 1) spin system. For example, when the SWAP operation applied to product operator, is obtained:
. (11)
Similar effects of the SWAP operation for the remaining product operators can be found. The effects of the SWAP operation for some product operators are presented in Table 2. As shown in Table 2, the expected SWAP operation is performed for the product operators of ISK (I = 1, S = 1, K = 1) spin system.
Table 1. Application of three-qutrit topological SWAP logic gate.
Table 2. Some product operators P and Q for ISK (I = 1, S = 1, K = 1) spin system before and after the SWAP operation, respectively.
4. Conclusion
Three magnetic quantum numbers of spin-1 are called as qutrits. Then ISK (I = 1, S = 1, K = 1) spin system can be used as three-qutrit states. In this study, first, Yang-Baxter equation is modified for qutrits. Then, three-qutrit topological SWAP logic gate is suggested and applied by using this modified equation. Three-qutrit SWAP logic gate is also applied to the product operators for ISK (I = 1, S = 1, K = 1) spin system. Expected exchange results are obtained for three-qutrit states and for the product operators of ISK (I = 1, S = 1, K = 1) spin system.
Cite this paper
Şahin, Ö. and Gençten, A. (2017) Three-Qutrit Topological SWAP Logic Gate for ISK (I = 1, S = 1, K = 1) Spin System. Journal of Applied Mathematics and Physics, 5, 2320-2325. https://doi.org/10.4236/jamp.2017.512189
References
- 1. Williams, C.P. (2011) Explorations in Quantum Computing. Springer, Lon-don.https://doi.org/10.1007/978-1-84628-887-6
- 2. Oliveira, I.S., Bonagamba, T.J., Sarthour, R.S., Freitas, J.C.C. and De Azevede, E.R. (2007) NMR Quantum Information Processing. Elsevier, Netherlands.
- 3. Das, R., Mitra, A., Kumar, S.V. and Kumar, A. (2003) Quantum Information Processing by NMR: Preparation of Pseudopurestates and Implementation of Unitary Operations in a Single-Qutrit System. International Journal of Quantum Information, 1, 387-394. https://doi.org/10.1142/S0219749903000292
- 4. Anwar, H., Campbell, E.T. and Browne, D.E. (2012) Qutrit Magic State Distillation. New Journal of Physics, 14, Article ID: 063006. https://doi.org/10.1088/1367-2630/14/6/063006
- 5. Çorbaci, S., Karakas, M.D. and Gençten, A. (2016) Construction of Two Qutrit Entanglement by Using Magnetic Resonance Selective Pulse Sequences. Journal of Physics: Conference Series, 766, Article ID: 012014.https://doi.org/10.1088/1742-6596/766/1/012014
- 6. Jones, J.A., Hansen, R.E. and Mosca, M. (1998) Quantum Logic Gates and Nuclear Magnetic Resonance Pulse Sequences. Journal of Magnetic Resonance, 136, 353-360. https://doi.org/10.1006/jmre.1998.1606
- 7. Linden, N., Barjat, H., Kupce, E. and Freeman, R. (1999) How to Exchange Information between Two Coupled Nuclear Spins: The Universal SWAP Operation. Chemical Physics Letters, 307, 198-204. https://doi.org/10.1016/S0009-2614(99)00516-3
- 8. Garcia-Escartin, J.C. and Chamorro-Posada, P. (2013) A SWAP Gate for Qudits. Quantum Information Processing, 12, 3625-3631.https://doi.org/10.1007/s11128-013-0621-x
- 9. Zhang, J., Di, Y.M. and Wei, H.R. (2009) Realization of two Qutrit Quantum Gates with Control Pulses. Communications in Theoretical Physics, 51, 653-658.https://doi.org/10.1088/0253-6102/51/4/15
- 10. Zhou, Y, Zhang, G.F., Yang, F.H. and Feng, S.L. (2007) SWAP Operation in the Two-Qubit Heisenberg XXZ Model Effect of Anisotropy and Magnetic Fields. Physical Review A, 75, Article ID: 062304. https://doi.org/10.1103/PhysRevA.75.062304
- 11. Zhang, G.F. (2007) Mutual Information and Swap Operation in the Two-Qubit Heisenberg Model with Dzyaloshinskii-Moriya Anisotropic Antisymmetric Interaction. Journal of Physics: Condensed Matter, 19, Article ID: 456205. https://doi.org/10.1088/0953-8984/19/45/456205
- 12. Zhang, G.F. and Zhou, Y. (2007) Interplay between the Dzyaloshinskii-Moriya Anisotropic Antisymmetric Interaction and the SWAP Operation in a Two-Qubit Heisenberg Model. Physics Letters A, 370, 136-138. https://doi.org/10.1016/j.physleta.2007.05.051
- 13. Lou, M.X., Ma, S.Y., Chen, X.B. and Yang, Y.X. (2013) The Power of Qutrit Logic for Quantum Computation. International Journal of Theoretical Physics, 52, 2959-2965. https://doi.org/10.1007/s10773-013-1586-3
- 14. Fan, F.Y., Yang, G.W., Yang, G. and Hung, W.N.N. (2015) A Synthesis Method of Quantum Reversible Logic Circuit Based On elementary Qutrit Quantum Logic Gates. Journal of Circuits, Systems and Computers, 24, Article ID: 1550121.https://doi.org/10.1142/S0218126615501212
- 15. Freedman, M.H., Kitaev, A., Larsen, M.J. and Wang, Z.H. (2003) Topological Quantum Computation. Bulletin of the American Mathematical Society, 40, 31-38.https://doi.org/10.1090/S0273-0979-02-00964-3
- 16. Kauffman, L.H. and Lomonaco, S.J. (2004) Braiding Operators Are Universal Quantum Gates. New Journal of Physics, 6, 134. https://doi.org/10.1088/1367-2630/6/1/134
- 17. Lahtinen, V. and Pachos, J.K. (2017) A Short Introduction to Topological Quantum Computation. SciPost Physics, 3, 021.
- 18. Golze, D., Icker, M. and Berger, S. (2012) Implementation of Two-Qubit and Three-Qubit Quantum Computers using Liquid-State Nuclear Magnetic Resonance. Concepts in Magnetic Resonance Part A, 40, 25-37. https://doi.org/10.1002/cmr.a.21222
- 19. Gün, A., Saka, I. and Gençten, A. (2011) Construction and Application of Four-Qubit SWAP Logic Gate in NMR Quantum Computing. International Journal of Quantum Information, 9, 779-790. https://doi.org/10.1142/S0219749911007721
- 20. Wilmott, C.M. (2011) On Swapping the States of Two Qudits. International Journal of Quantum Information, 9, 1511-1517. https://doi.org/10.1142/S0219749911008143
- 21. Chandrakumar, N. (1996) Spin-1 NMR. Springer, Berlin. https://doi.org/10.1007/978-3-642-61089-9



