Open Journal of Ecology Vol.05 No.04(2015), Article ID:55279,9
pages
10.4236/oje.2015.54010
Optimal Control of a Threatened Wildebeest-Lion Prey-Predator System in the Serengeti Ecosystem
T. D. Sagamiko1, N. Shaban1, C. L. Nahonyo2, O. D. Makinde3
1Department of Mathematics, University of Dar es Salaam, Dar es Salaam, Tanzania
2Department of Zoology and Wildlife Conservation, University of Dar es Salaam, Dar es Salaam, Tanzania
3Faculty of Military Science, Stellenbosch University, Stellenbosch, South Africa
Email: tsagamiko@gmail.com, shabanmbare@gmail.com, nahonyo@udsm.ac.tz, makinded@gmail.com
Copyright © 2015 by authors and Scientific Research Publishing Inc.
This work is licensed under the Creative Commons Attribution International License (CC BY).
http://creativecommons.org/licenses/by/4.0/



Received 7 February 2015; accepted 26 March 2015; published 1 April 2015
ABSTRACT
We develop a two-species prey-predator model in which prey is wildebeest and predator is lion. The threats to wildebeest are poaching and drought while to lion are retaliatory killing and drought. The system is found in the Serengeti ecosystem. Optimal control theory is applied to investigate optimal strategies for controlling the threats in the system where anti-poaching patrols are used for poaching, construction of strong bomas for retaliatory killing and construction of dams for drought control. The possible impact of using a combination of the three controls either one at a time or two at a time on the threats facing the system is also examined. We observe that the best result is achieved by using all controls at the same time, where a combined approach in tackling threats to yield optimal results is a good approach in the management of wildlife populations.
Keywords:
Optimal Control, Prey-Predator System, Threat, Poaching, Serengeti

1. Introduction
Population dynamics is the dominant branch of mathematical biology that deals with forces affecting changes in population densities or affecting the form of population growth. It is clear that predator population depends on their prey species for survival and affects the survival and fecundity rate of prey species. Therefore, predator population is affected by changes in prey population in a complex and cyclic predator-prey relationship [1] .
Many biological species have been driven to extinction and many others are at the verge of extinction due to several external forces such as over exploitation, predation, environmental pollution and mismanagement of the habitat [2] . Thus problems affecting wild animals and their habitats should be evaluated to ensure sustainable conservation of wildlife populations [3] .
Environmental pollution, catastrophes and mismanagement of the habitat may cause reduction of species population and probably lead to extinction due to perturbation of the system. Hazards such as fire and drought can also cause the decline of species in an ecosystem [4] . For example, the dry season drought of 1993 in the Serengeti ecosystem is a strong and well studied pertubation. Rainfall during the dry season was only 25% of the lowest previously recorded level, and directly led to the death of about 30% of the wildebeest and perhaps 40% to 50% of the total park population of the large mammals [5] . However, according to Holling, Serengeti is highly resilient system as it has historically absorbed a wide range of pertubations. Despite being resilient, the time interval for the system to return to its equilibrium seems to be long hence the need of control arises. For example, it took seven years for the wildebeest population to recover from 1993 severe drought and about six years for the lion population from 1994 Canine distemper virus [5] .
Kideghesho [6] , mentions poaching of wildelife to be among the main threats facing the Serengeti ecosystem. Poaching has become a threat to many migratory populations, particularly as human populations around protected areas increase [7] [8] . It has been reported that local consumption of bushmeat from the Serengeti National Park and surrounding areas is responsible for approximately 70,000 - 129,000 wildebeest deaths per year [9] and any further increase in the amount of poaching could lead to decline in the wildebeest population in the Serengeti-Mara ecosystem [10] . However, lion killing not only in the Serengeti ecosystem but for the entire East Africa is mainly due to Maasai retaliation as lions prey their livestock [11] . In his 19 months study, Kissui [12] , recorded 85 lions killings in 12 villages by Maasai retaliation. This happens because many parts of Maasai land have been preserved as wildelife protected areas (e.g. Serengeti, Tarangire and Amboseli) and Game reserves (e.g. Mkomazi and Loliondo) but none of these protected areas are fenced and lions are reported to frequently kill Maasai cattle in adjacent rangelands [13] .
Few studies on optimal control of Prey-Predator system such as those by Chakraborty et al., [1] , Kar and Ghosh [14] have determined various optimal control strategies. In particular, Kar and Ghosh [14] controlled alternative food to predator to an exploited prey-predator system. However, none of these studies have considered the aspect of drought, poaching and retaliatory killing as threats to be controlled for survival of prey-predator system particularly wildebeest and lions in the Serengeti ecosystem. Therefore, this study intends to apply optimal control theory to maximize Wildebeest-Lion prey-predator population in the Serengeti Ecosytem under threat of drought, poaching and retaliatory killings and ensuring the cost of applying these controls is minimum.
This paper is organized as follows: In Section 2, a threatened prey-predator model is developed. In Section 3, time-dependent controls are introduced and analysis of optimal control is carried out. In Section 4, scenarios for different control strategies are considered and the results are discussed. Lastly, Section 5 presents conclusions about the proposed control strategies suggested for this threatened system. The outcome tends to display a significant increase in the number of individuals due to control strategies employed.
2. The Model with Threats
Consider two populations of different species:
a prey population,
and
, a predator
population. The prey species is wildebeest and predator species is lion. Drought
affect both species, while wildebeest is threatened by poaching lion is threatened
by retaliatory killing. Prey species are assumed to grow logistically to the carrying
capacity in the absence of the predator, poaching and drought, hence these are only
causes of prey mortality. The rate of increase of the predator population depends
on the amount of prey biomass it converts as food. Thus according to Hollying type
II functional response [15] the two populations are modeled as follows:
(1)
where x is the prey density at time t, y is the predator density at time t, r is
the intrinsic prey growth rate, k is the prey carrying capacity, w is the maximum
per capita predation rate,
is the predator
biomass to the prey (conversion rate), p is the wildebeest poaching rate in Serengeti,
c is lion death rate due to retaliatory killing, f is the percentage of wildebeest
resilient to drought, hence
is the wildebeest death rate due to drought, e is the percentage of lion resilient
to drought, hence
is the lion death rate due to drought, a is the predator half saturation and
is the lion mortality rate.
3. The Model with Time Dependent Control Effort
We introduce into model (1), time dependent control efforts on anti-poaching patrols
, construction
of strong bomas
,
and construction of dams
as controls to curtail the threats to the prey-predator system. The prey-predator
model (1) thus becomes:
(2)
3.1. Analysis of Optimal Control
The objective is to maximize the species population size at the final time of control
while minimizing the cost. These costs are due to control strategies applied such
as cost of antipoaching, construction of strong bomas and conservation cost for
drought control. We assume the total population
is to be maximized to the final time, with different relative weights applied to
prey and predator populations. For simplicity we take
as
,
as
and



where











where






3.2. Characterization of the Optimal Control
Pontryagin’s maximum principle which provides necessary condition, converts Equations
(2) and (3) into a problem of maximizing point-wise a Hamiltonian




where


Theorem 1. For the optimal control tripple








and with transversality condition as


By optimality condition, we have


That is






but:

Hence

Hence

Hence
Equivalently, we can represent the optimal control as


and
The optimal control can be numerically calculated under various parameter sets using a forward-backward sweep method involving fourth order Runge-Kutta procedure. The successive steps are as follows (see example, Kar & Ghosh, 2012 [14] ).
1) Divide the total time interval into



2) Assume control takes zero over the time intervals i.e.

3) Using the initial condition


4) Using the transversality condition




5) Update the control entering the new


where
4. Numerical Results and Discussion
In this section we study numerically an optimal control of a threatened prey-predator system.
Let us take the system parameters




















Next, we investigate the effect of the following optimal control strategies on the threatened prey-predator population.
・ Strategy A: Application of anti-poaching patrols for controlling poaching.
・ Strategy B: Construction of strong bomas for control of retaliatory killings.
・ Strategy C: Construction of dams for drought control.
・ Strategy D: Combination of application of anti-poaching patrols and construction of strong bomas.
・ Strategy E: Combination of application of anti-poaching patrols and construction of dams.
・ Strategy F: Combination of construction of strong bomas and dams and.
・ Strategy G: Combination of application of anti-poaching patrols, construction of strong bomas and dams.
4.1. Strategy A: Application of Anti-Poaching Patrols for Control of Poaching
The application of anti-poaching patrols




4.2. Strategy B: Construction of Strong Bomas for Control of Retaliatory Killings
The construction of strong boma




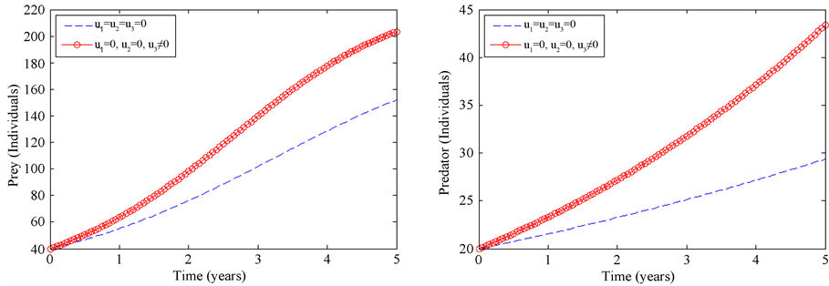
4.3. Strategy C: Construction of Dams for Drought Control
The construction of dams




Table 1. The different final states and total costs for different controls strategies from numerical codes.
Figure 1. Simulations of a threatened prey-predator model showing the effect of optimal application of anti-poaching patrols.
Figure 2. Simulations of a threatened prey-predator model showing the effect of optimal application of construction of strong bomas.
would drop to approximately 152 individuals different from the 300 expected number
during the 5 years. With this control strategy the wildebeest population rises to
approximately 204, which is a saving of 52 individuals. With optimal construction
of dams

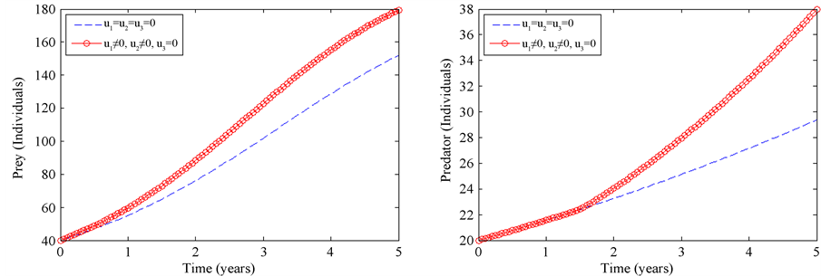
4.4. Strategy D: Combination of Application of Anti-Poaching Patrols and Construction of Strong Bomas
The application of anti-poaching patrols




Figure 3. Simulations of a threatened prey-predator model showing the effect of optimal application of construction of dams.
Figure 4. Simulations of a threatened prey-predator model showing the effect of optimal application of anti-poaching patrol and construction of strong bomas.
that if no control measures are applied the lion population would go to 29 individuals, but with this control strategy the population rises to 38 individuals during the 5 years which is a saving of 9 individuals. Wildebeest population rises from approximately 152 to 180 which is a saving of 28 individuals.
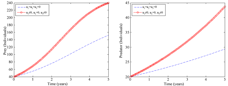
4.5. Strategy E: Combination of Application of Anti-Poaching Patrols and Construction of Dams
The application of anti-poaching patrols



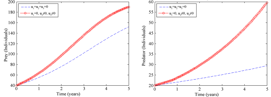
4.6. Strategy F: Combination of Construction of Strong Bomas and Dams
The application of construction of strong bomas



Figure 5. Simulations of a threatened prey-predator model showing the effect of optimal application of anti-poaching patrol and construction of dams.
Figure 6. Simulations of a threatened prey-predator model showing the effect of optimal construction of strong bomas and dams.
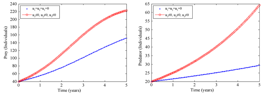
4.7. Strategy G: Combination of Application of Anti-Poaching Patrols, Construction of Strong Bomas and Dams
Here, all three controls (



5. Concluding Remarks
In this paper, we presented a threatened prey-predator model using a deterministic system of differential equations. The threats are poaching, retaliatory killings and drought. Controls are introduced to the system which are anti-poaching patrols, construction of strong bomas and dams for controlling poaching, retaliatory killings and drought, respectively. In investigating the effect of optimal control, we use one control at a time, a combination of two controls at a time while setting other(s) to zero to compare the effects of the control strategies on the eradication of threats to prey-predator system. Additionally, the case of all controls was also taken into consideration. Our numerical results suggest that the use of all three controls, anti-poaching patrols, construction of strong bomas and dams has highest impact on the control of the system threats. From these findings, we see that
Figure 7. Simulations of a threatened prey-predator model showing the effect of optimal application of anti-poaching patrols, construction of strong bomas and dams.
when we have a system threatened by various threats, dealing with individual threat to the system does not often yield best results. Instead, combined approach of tackling all threats to yield better result is a good approach in the management of the wildlife populations. There is thus a booster effect when tackling many population decimating factors at a go than dealing with them individually. In case of single control strategy implementation, the priority would be construction of dams as it saves more individuals compared to others.
References
- Chakraborty, K., Chakraborty, M. and Kar, T. (2011) Optimal Control of Harvest and Bifurcation of a Prey-Predator Model with Stage Structure. Applied Mathematics and Computation, 217, 8778-8792. http://dx.doi.org/10.1016/j.amc.2011.03.139
- Dubey, B. (2007) A Prey-Predator Model with a Reserved Area. Nonlinear Analysis: Modeling and Control, 12, 479- 494.
- Peterson, M.J. (1991) Wildlife Parasitism, Science and Management Policy. Wildlife Management, 55, 782-789. http://dx.doi.org/10.2307/3809532
- Walker, B., Carpenter, S., Anderies, J., Abel, N., Cumming, G., Janssen, M., Lebel, L., Norberg, J., Peterson, G. and Pritchard, R. (2002) Resilience Management in Social-Ecological Systems: A Working Hypothesis for a Participatory Approach. Conservation Ecology, 6, 14.
- Sinclair, A.R.E., Packer, C., Mduma, S.A.R. and Fryxell, J.M. (2008) Serengeti III, Human Impacts on Ecosystems Dynamics. The University of Chicagopress, Chicago. http://dx.doi.org/10.7208/chicago/9780226760353.001.0001
- Kideghesho, J.R. (2010) “Serengeti Shall Not Die”: Transforming an Ambition into a Reality. Tropical Conservation Science, 3, 228-248.
- Bolger, D., Newmark, W., Morrison, T. and Doak, D. (2008) The Need for Integrative Approaches to Understand and Conserve Migratory Ungulates. Ecology Letters, 11, 63-77.
- Haris, G., Thirgood, S., Hopcraft, J., Cromsigt, J. and Berger, J. (2009) Global Decline in Aggregated Migrations of Large Terrestrial Mammals. Endangered Species Research, 7, 55-76. http://dx.doi.org/10.3354/esr00173
- GEAS (2013) Saving the Great Migrations: Declining Wildebeest in East Africa? http://na.unep.net/geas/getUNEPPageWithArticleIDScript.php?article_id=107
- Hopcraft, J., Sinclair, A., Holdo, R., Mwangomo, E., Mduma, S., Thirgood, S., Borner, M., Fryxell, J. and Olff, H. (2013) Why Are Wildebeest the Most Abundant Herbivore in the Serengeti Ecosystem? Serengeti IV: Sustaining Bio- diversity in a Coupled Human-Natureal System. University of Chicago Press, Chicago.
- Ikanda, D. and Packer, C. (2008) Ritual vs. Retaliatory Killing of African Lions in the Ngorongoro Conservation Area, Tanzania. Endangered Species Research, 6, 67-74. http://dx.doi.org/10.3354/esr00120
- Kissui, B.M. (2008) Livestock Predation by Lions, Leopards, Spotted Hyenas and Their Vulnerability to Retaliatory Killing in the Maasai Steppe, Tanzania. Animal Conservation, 11, 422-432.
- Kolowski, J.M. and Holekam, K.E. (2006) Spatial, Temporal and Physical Characteristics of Livestock Depradations by Large Carnivores along a Kenyan Reserve Border. Biological Conservation, 128, 529-541. http://dx.doi.org/10.1016/j.biocon.2005.10.021
- Kar, T. and Gosh, B. (2012) Sustainability and Optimal Control of an Exploited Prey-Predator System through Provision of Alternative Food to Predator. Biosystems, 109, 220-232. http://dx.doi.org/10.1016/j.biosystems.2012.02.003
- Holling, C.S. (1965) The Functional Response of Predators to Prey Density and Its Role in Mimicry and Popuation Regulation. Memoirs of the Entomological Society of Canada, 97, 1-60. http://dx.doi.org/10.4039/entm9745fv
- Fryxell, J.M., Mosser, A., Sinclair, A.R.E. and Packer, C. (2007) Group Formation Stabilizes Predator-Prey Dynamics. Nature, 449, 1041-1043. http://dx.doi.org/10.1038/nature06177
- Schaller, G.B. (1972) The Serengeti Lion: A Study of Predator-Prey Relations. University of Chicago Press, Chicago.
- Mduma, S.R. (1996) Serengeti Wildebeest Population Dynamics: Regulation, Limitation and Implication for Harvesting. Ph.D. Thesis, University of British Columbia, Canada.











