Open Journal of Statistics
Vol.05 No.03(2015), Article ID:55993,17 pages
10.4236/ojs.2015.53021
Trace of the Wishart Matrix and Applications
T. Pham-Gia1*, Dinh N. Thanh2, Duong T. Phong3
1Université de Moncton, Moncton, Canada
2University of Science, Hochiminh City, Vietnam
3Ton Duc Thang University, Hochiminh City, Vietnam
Email: *thu.pham-gia@umoncton.ca, dnthanh@hcmus.edu.vn, dtphong@itam.tdt.edu.vn
Copyright © 2015 by authors and Scientific Research Publishing Inc.
This work is licensed under the Creative Commons Attribution International License (CC BY).
http://creativecommons.org/licenses/by/4.0/



Received 19 January 2015; accepted 22 April 2015; published 27 April 2015
ABSTRACT
The trace of a Wishart matrix, either central or non-central, has important roles in various multivariate statistical questions. We review several expressions of its distribution given in the literature, establish some new results and provide a discussion on computing methods on the distribution of the ratio: the largest eigenvalue to trace.
Keywords:
Trace, Wishart Matrix, Sphericity, Latent Roots, A-Hypergeometric Functions, Humbert Function

1. Introduction
Let
be a normal vector and
be a sample taken from this multivariate normal
population. Classical results show that the sample mean vector
is independent of the sample
covariance matrix
, where
,
and they are distributed respectively, as a normal vector
and a central Wishart matrix
, with
degrees of freedom and covariance matrix
, with density
, (1)
where
,
means that
is positive definite matrix, and
,
.
If
, the distribution is singular and no density exists. The case of pseudo-Wishart matrices will not be considered in detail here.
Several important results in Multivariate analysis are associated with either the determinant, trace or the eigenvalues of this matrix.
For



where


We can also have the matrix 











If we consider at the start the 







We wish to avoid too technical results in this article, that could digress us from the real purpose of this survey- type article, which is to gather results on the distribution of the trace of the Wishart matrix, that are still scattered in the literature. But several new research results related to this trace, are also presented. In most cases, we will present both the central and the non-central cases, or the null and non-null distributions of a test criterion. It is also natural that we will encounter zonal polynomials, the values of which are not completely known. Finally, due to the extremely complicated mathematical expressions of certain results we will refer the reader to the original publications when this approach appears to be more convenient.
The non-central Wishart distribution has an important role in theoretical Multivariate analysis, but recently has also found some applications, for example in Image Processing [1] .
The Wishart distribution has been generalized in several directions and the most general extension of the Wishart is made by Díaz-García and Guttiérez-Jáimez [2] to which we refer the reader for additional details. Concerning the product of several positive common random univariate random variables, or the ratio of two positive random variates, H-function, or G-function distributions [3] will be used but we will not discuss the best technique to compute the values of these functions by the residue theorem, since this challenging mathematical problem is already an important topic in itself. Maple and Mathematica can deal with fairly complex cases.
In Section 2 we will first recall several special functions that will be used later. In Section 3 we consider the central Wishart distribution and its trace. Similar results are established for the non-central Wishart and its trace in Section 4. Section 5 studies the moments of the trace while Section 6 considers the Wishartness of some quadratic forms. Section 7 considers the sphericity problem where the trace of the Wishart matrix has an important role. Finally, Section 8 considers the latent roots and their ratios to the trace and shows the need of further research in this area. It also proposes the simulation approach that has proven to be very effective in some of our previous works.
2. Some Special Functions
2.1. Special Functions
Table 1 gives all the probability densities treated here.
Advanced statistics make use of several special functions and integral transforms: the Humbert function of the second kind and the Lauricella D-function. They are both defined as infinite series, and extended by analytic continuation and are related to each other. We define:
Table 1. Table of densities.
1) The Lauricella D-function, in 

where

and


2) Similarly, we define the Humbert function, in 

which converges for all values of
We have the Dirichlet distribution (in n + 1 parameters and n variables), 


where

The 


where


The relation between 


An extension of 



also known as Picard’s integral for
2.2. Integral Representations
Formulas (3) and (4) above allow us to use several interesting mathematical results related to Hypergeometric integrals, which are the focus of much recent work by Gelfand, Krapalov and Zelevinsky [7] , named GKZ integrals. They are also known under the topic of A-Hypergeometric functions [8] during the last thirty years. The various hypergeometric functions in several variables, defined differently according to how variables are summed, and named as Horn, Lauricella, Wright, MacRobert functions etc., can now be integrated into a single approach. The introduction of Grobner basis in their study, by Saito, Sturmfels and Takayama [9] , has lead to other important results.
Since some of the results obtained by our research group are highly mathematical we do not reproduce them here but they can be obtained by writing to the third author.
The trace of a square matrix is defined as the sum of its diagonal elements, and is sometimes used to measure the total variance. So, let
For the central Wishart distribution, we will show in the next two sections that when

3. Central Wishart Distribution
3.1. Two Cases for
Essentially there are two cases:
1) The matrix sigma is diagonal,

Bartlett’s classical decomposition of the Wishart matrix, 










Since we have




Another approach: Consists in considering the latent roots on the diagonal matrix 





dependent, with 

REMARK: In the more general case when

linear combination of independent central Chi-squares, each with 
PROPOSITION 1. Let



Then we have





can have their densities expressed as G-functions.
PROOF: Immediate from the above results and from [10] , where products and ratios of G-functions are presented.
QED.
2) The matrix sigma is not diagonal,
Results are quite complicated for this case since it involves zonal polynomials, whose expressions are only known for simple cases ([11] , p. 341).
For
For


where


We have the usual notations: 


are respectively the largest and the smallest latent roots of matrix

with




3.2. Other Expressions
Mathai and Pillai (1980) give another expression, quite similar:

However, using Mellin Transform methods [12] gives the following density function for

where

4. Non-Central Wishart Distribution
4.1. The Non-Central Chi-Square Distribution
This distribution is present in many aspects of statistics. Its density is given in our table of densities but below is an alternate expression.
Let 

The associated Bessel density is:

A particular case of (6) is the non-central Chi-square density with 



Its density is then [13] :

where
Using the above functions Laha [14] proved that the reproductive property of the non-central Chi-square, i.e. the sum of 


The density of the product or quotient of two non-central chi square variables can be established in closed form using either Fourier transform [14] or Mellin Transform [13] . Following the latter we have:
PROPOSITION 2. Let




where 

While the ratio 

4.2. The Non-Central Wishart Distribution
As given by (2), its trace 
First, a simple case is the linear non-central case where the non-centrality parameter is concentrated at one component, can be treated as the central case [15] . For a normal vector





where



and

Hence we have

The above result on Bessel function distributions now allows us to have the density of sums, product and ratios of the traces of independent linear non-central Wishart distributions. We have the following
THEOREM 1. Let









PROOF. Applying (10), we have

For

For the product, we have 



QED.
4.3. Numerical Example
We can use (8) and (9) to graph the density of the product and quotient of the two traces. Some computer algebra software, Maple and Mathematica, for example, can do the computation in (8) (9) as an infinite series. But the computation, especially for (8), is very slow. Here, we approximate (8) by taking a large number of terms.

with the value

where 





In the case of planar non-centrality, i.e.
4.4. Case
We have the following argument, based on the Moment Generating Function (MGF) of 
For





Here we set


where 



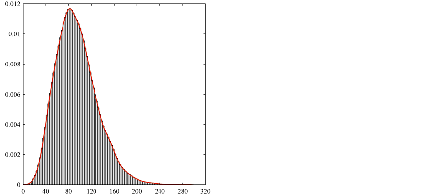
Figure 1. Density of



Using 


Using the MGF of the Non-Central Chi-square in our table of densities we have the expression of the trace 




where

The density of 

The density of a linear combination of non-central chi-square variables has been the subject of investigation by several authors, since it is associated with quadratic forms in normal variables. Ruben [18] , Press [19] and Hartville [20] seemed to be among the first investigators. More recent is the work of Provost and Ruduik [21] .
The approach using Laguerre expansions seems promising, as shown by some authors, including Castano- Martinez and Lopez-Blasquez [22] . But all the formulas obtained are quite complicated and we refer the readers to these articles. It should be mentioned that using the same MGF, Kourouklis and Moschopoulos [23] give this density as an infinite combination of gamma densities.
4.5. A Simulation Study
Simulation for the density of the trace of non-central Wishart matrix. Following 4.4, let the covariance matrix be


With the above means and covariance matrix, we have:


and the matrix 


We finally have:





Now, two approaches are used to obtain the density of
1) Direct approach 1: We use

We use Matlab command 




2) Approach using non-central Chi-squares: We use

where


We use Matlab routine 



We can see that the two graphs are very close to each other.
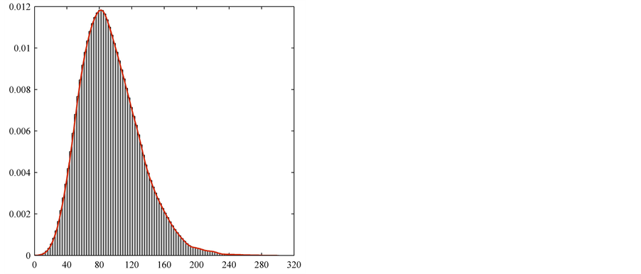
4.6. Modified Traces
The influence of 


Figure 2. 
Figure 3. 
fied trace
PROPOSITION 3: Let









PROOF: Using (11) with 

Thus, we have

and their sum 

For the product:
QED.
Glueck and Muller [24] also relate the trace of any type of Wishart, singular or nonsingular, central or non- central, true or pseudo, to a weighted sum of non-central Chi-squared random variables and constants. However, the expression of this density is not given, although computational methods are presented, either approximate or permitting to prescribe a degree of accuracy.
4.7. Some Expressions of the Density of
For some values of the parameters, there can be closed form expression for the density of


When the general case we have an expression similar to (5), but preceded by the non-central factor:

with



where




In terms of zonal polynomials, we have Formula (14) of [12] using common zonal polynomials, or a more compact formula, using Davis expended zonal polynomials

For 


5. Moments of the Trace
The trace of 
obtain than densities themselves. For example, the r-th cumulant of


the expansion of




also found in [25] . Saw [26] , and Shah and Khatri [27] proved several other results on moments of the trace of the non-central Wishart.
Some results are unexpected. For example, for




Several other equalities can be found in the same reference.
Letac and Massam [28] , on the other hand, computed the moments of the Wishart matrix








where
6. The Wishartness of Certain Quadratic Forms
For
There are 3 cases of Quadratic forms:
・ 


・ 


・ Similarly, 


PROPOSITION 4. ([15] , p. 256-257) Let

and sufficient condition for 





The trace 

7. Sphericity Testing Criterion
In this section we limit ourselves to the vector case, i.e. of

7.1. Sphericity Test
An interesting property of the Gamma distribution in shape parameter 


Let 


In testing the hypothesis 

1) The classical likelihood ratio criterion (LRC), 

The LRC above is hence the ratio of the geometric mean of the eigenvalues to their arithmetic mean. The null-distribution is the distribution of this criterion under 

where
as shown by [32] . This product can be shown to have a G-function density, namely

where

2) The product of 2 independent beta products [16] :

with 



・ 

・ 

Their product is

Since these two tests are in fact independent the product of the two criteria gives the above sphericity test criterion. [32] has adopted a simulation approach to deal with this product.
7.2. Bartlett’s Test
In univariate statistics, using 

tions are equal, we have Bartlett’s test for homogeneity, based on

with
When the samples have the same size, Glaser [33] has shown that the null distribution of 
of independent betas:

n is sample size and 

But when these sizes are different [33] shows that the distribution of Bartlett’s statistic, which now is the adjusted ratio of weighted geometric mean of the sample variances to their weighted arithmetic mean, can be obtained with incomplete beta functions.
Gleser ([34] ) considered the two criteria 

Accepting the hypothesis of sphericity allows us to proceed on to other topics, such as analysis of variance using repeated measures. A generalization of this test to 
7.3. Non-Null Distribution
When

1) Khatri and Srivastava [35] gives the following expression for the density of the LRC, using both zonal polynomials and Meijer functions:
where 

2) [36] propose a convenient strictly numerical method to approximate the power and test size under non- sphericity.
REMARKS. The non-null density in testing diagonality, as given in [37] , is a multiple infinite series involving Meijer functions:

where

Again, here, the computation of the values of this expression is very complicated and we refer the reader to the original paper.
8. Distribution of Ratios of Latent Roots to the Trace
This distribution has attracted renewed interest lately due to its uses in Physics, on random matrices. Krishnaiah and Shurmann [38] were among the first authors to investigate the distributions of these ratios.
The Simulation approach: These distributions have been mentioned by [39] and Johnstone [40] in the context of random matrices. There, the limit theorems are those of Tracy-Widom, or TW, and Wigner. In particular, Nadler reports that, under the hypothesis that



1) Central case:
a) When the matrix sigma is diagonal:
Let 




b) When the matrix sigma is not diagonal:
This is even more complex and no result is available on this case. The only resort is by simulation, as in Pham-Gia and Turkkan (2010). Simulation of random matrices, using the appropriate technique, can be very accurate, as shown by several articles by Pham-Gia and Turkkan [39] [43] .
2) Non-central case:
This case is naturally more complicated than the previous one and the simulation approach seems to be the only recourse.
Example
We give below the simulation results related to the ratio


1)


2)




The simulation results are given by Figure 4 & Figure 5.
9. Conclusions
We have gathered here several important research results related to the trace of a Wishart matrix, and also indicated some potential research topics. Moreover, we have established several connections among these results and proved a few original results. The two main important applications of the trace are the sphericity test and the distribution of the ratio of a latent root to the trace. The lack of results in the second topic clearly shows that research efforts should be made there, as already pointed out by some researchers. Matrix simulation can clearly supply several useful answers.
Figure 4. Density function 

Figure 5. Density function 

Finally, as shown in our table of densities, the trace can be further investigated by considering the Gamma random matrix, of which the Wishart is only a special case.
References
- Tourneret, J.Y., Ferrari, A. and Letac, G. (2005) The Non-Central Wishart Distribution: Properties and Application to Speckle Imaging. 2005 IEEE/SP 13th Workshop on Statistical Signal Processing, Novosibirsk, 17-20 July 2005, 924-929.
- Díaz-García, J.A. and Gutiérrez-Jáimez, R. (2011) On Wishart Distribution: Some Extensions. Linear Algebra and its Applications, 435, 1296-1310.
- Pham-Gia, T. and Turkkan, N.T. (2011) Distributions of Ratios: from Random Variables to Random Matrices. Open Journal of Statistics, 1, 93-104.
- Chamayou, J.F. and Wesolowski, J. (2009) Lauricella and Humbert Functions through Probabilistic Tools. Integral transforms and Special Functions, 20, 529-538. http://dx.doi.org/10.1080/10652460802645750
- Mathai, A.M. and Pederzoli, G. (1995) Hypergeometric Functions of Many Matrix Variables and Distributions of Generalized Quadratic Forms. American Journal of Mathematical and Management Sciences, 15, 343-354.
- Pham-Gia, T. and Turkkan, T.N. (1999) System Availability in a Gamma Alternating Renewal Process. Naval Research Logistics, 46, 822-844. http://dx.doi.org/10.1002/(SICI)1520-6750(199910)46:7<822::AID-NAV5>3.0.CO;2-D
- Gelfand, I.M., Kapronov, W.M. and Zelevinsky, A.V. (1991) Hypergeometric Functions, Toric Varieties and Newton Polyhedra. In: Kashiwara, I.M. and Miwa, T., Eds., ICM 90 Satellite Conference Proceedings, Springer-Verlag, Tokyo, 104-121.
- Aomoto, K. and Kita, M. (2011) Theory of Hypergeometric Functions. Springer, New York. http://dx.doi.org/10.1007/978-4-431-53938-4
- Saito, M., Sturmfels, B. and Takayama, N. (2000) Grobner Deformations of Hypergeometric Differential Equations. Springer, New York. http://dx.doi.org/10.1007/978-3-662-04112-3
- Pham-Gia, T. (2008) Exact Distribution of the Generalized Wilks’s statistic and Applications. Journal of Multivariate Analysis, 99, 1698-1716. http://dx.doi.org/10.1016/j.jmva.2008.01.021
- Muirhead, R. (1982) Aspects of Multivariate Statistical Analysis. Wiley, New York.
- Mathai, A.M. and Pillai, K.C.S. (1982) Further Results on the Trace of a Non-Central Wishart Matrix. Communications in Statistics―Theory and Methods, 11, 1077-1086. http://dx.doi.org/10.1080/03610928208828294
- Kotz, S. and Srinivasan, R. (1969) Distribution of Product and Quotient of Bessel Function Variates. Annals of the Institute of Statistical Mathematics, 21, 201-210. http://dx.doi.org/10.1007/BF02532244
- Laha, R.G. (1954) On Some Properties of the Bessel Function Distributions. Bulletin of the Calcutta Mathematical Society, 46, 59-71.
- Gupta, A.K. and Nagar, D.K. (2000) Matrix Variate Distributions. Chapman and Hall/CRC, Boca Raton.
- Anderson, T.W. (1982) An Introduction to Multivariate Statistical Analysis. John Wiley and Sons, New York.
- Mathai, A.M. (1980) Moments of the Trace of a Non-Central Wishart Matrix. Communications in Statistics―Theory and Methods, 9, 795-801.
- Ruben, J. (1962) Probability Content of Regions under Spherical Normal Distribution, IV: The Distribution of Homogeneous and Non-Homogeneous Quadratic Functions in Normal Variables. The Annals of Mathematical Statistics, 33, 542-570. http://dx.doi.org/10.1214/aoms/1177704580
- Press, S.J. (1966) Linear Combinations of Non-Central Chi-Square Variates. The Annals of Mathematical Statistics, 37, 480-487.
- Hartville, D.A. (1971) On the Distribution of Linear Combinations of Non Central Chi Squares. The Annals of Mathematical Statistics, 42, 809-811.
- Provost, S. and Ruduik, E. (1996) The Exact Distribution of Indefinite Quadratic Forms in Noncentral Normal Vectors. Annals of the Institute of Statistical Mathematics, 48, 381-394. http://dx.doi.org/10.1007/BF00054797
- Castano-Martinez, A. and Lopez-Blaquez, F. (2006) Distribution of a Sum of Weighted Non Central Chi-Square Variables. TEST, 14, 397-115.
- Kourouklis, S. and Moschopoulos, P.G. (1985) On the Distribution of the Trace of a Non-Central Wishart Matrix. Metron, 43, 85-92.
- Glueck, D.H. and Muller, K.E. (1998) On the Trace of a Wishart. Communications in Statistics―Theory and Methods, 27, 2137-2141. http://dx.doi.org/10.1080/03610929808832218
- De Waal, D.J. (1972) On the Expected Values of the Elementary Symmetric Functions of a Non-Central Wishart Matrix. The Annals of Mathematical Statistics, 43, 344-347.
- Saw, J.G. (1973) Expectation of Elementary Symmetric Functions of a Wishart Matrix. Annals of Statistics, 1, 580- 582.
- Shah, B.K. and Khatri, C.G. (1974) Proofs of Conjectures about the Expected Values of the Elementary Symmetric Functions of a Non-Central Wishart Matrix. Annals of Statistics, 2, 833-636.
- Letac, G. and Massam, H. (2004) All Invariant Moments of the Wishart Distribution. Scandinavian Journal of Statistics, 31, 295-318.
- Glaser, R.E. (1976) The Ratio of the Geometric Mean to the Arithmetic Mean from a Random Sample from a Gamma Distribution. Journal of the American Statistical Association, 71, 480-487. http://dx.doi.org/10.1080/01621459.1976.10480373
- Cheng, J., Wag, N. and Tellambura, C. (2010) Probability Density Function of Logarithmic Ratio of Arithmetic Mean to Geometric Mean for Nakagami-m Fading Power. Proceedings of the 25th Biennial Symposium on Communications, Kingston, 12-14 May 2010, 348-351. http://dx.doi.org/10.1109/BSC.2010.5472954
- Mauchly, J.W. (1940) Significance Test for Sphericity of a Normal n-Variate Distribution. The Annals of Mathematical Statistics, 11, 204-209. http://dx.doi.org/10.1214/aoms/1177731915
- Pham-Gia, T. and Turkkan, T.N. (2010) Testing Sphericity Using Small Samples. Statistics, 44, 601-616.
- Glaser, R.E. (1980) A Characterization of Bartlett’s Statistic Involving Incomplete Beta Functions. Biometrika, 67, 53- 58.
- Gleser, L. (1966) A Note on Sphericity Test. The Annals of Mathematical Statistics, 37, 464-467. http://dx.doi.org/10.1214/aoms/1177699529
- Khatri, C.G. and Srivastava, M.S. (1971) On Exact Non-Null Distributions of Likelihood Ratio Criteria for Sphericity Test and Equality of Two Covariance Matrices. Sankhyā, 33, 201-206.
- Muller, K.E. and Barton, C.N. (1989) Approximate Power for Repeated-Measures ANOVA Lacking Sphericity. Journal of the American Statistical Association, 84, 549-555.
- Mathai, A.M. and Tan, W.Y. (1977) The Non-Null Distribution of the Likelihood Ratio Criterion for Testing the Hypothesis That the Covariance Matrix Is Diagonal. Canadian Journal of Statistics, 5, 63-74.
- Krishnaiah, P.R. and Shurmann, F.J. (1974) On the Evaluation of Some Distributions That Arise in Simultaneous Tests for the Equality of the Latent Roots of the Covariance Matrix. Journal of Multivariate Analysis, 4, 265-282. http://dx.doi.org/10.1016/0047-259X(74)90033-5
- Nadler, B. (2011) On the Distribution of the Ratio of the Largest Eigenvalue to the Trace of a Wishart Matrix. Unpublished Manuscript on the Internet.
- Johnstone, I. (2001) On the Distribution of the Largest Eigenvalue in Principal Components Analysis. Annals of Statistics, 29, 295-327.
- Troskie, C.G. and Conradie, W.J. (1986) The Distribution of the Ratios of the Characteristic Roots (Condition Numbers) and Their Applications in Principal Component or Ridge Regression. Linear Algebra and Its Applications, 82, 255-279. http://dx.doi.org/10.1016/0024-3795(86)90156-4
- Davis, A.W. (1972) On the Ratios of the Individual Latent Roots to the Trace of a Wishart Matrix. Journal of Multivariate Analysis, 2, 440-443. http://dx.doi.org/10.1016/0047-259X(72)90037-1
- Pham-Gia, T. and Turkkan, T.N. (2009) Testing a Covariance Matrix: Exact Null Distribution of Its Likelihood Criterion. Journal of Statistical Computation and Simulation, 79, 1331-1340.
NOTES
*Corresponding author.
















