Advances in Chemical Engineering and Science
Vol.05 No.01(2015), Article ID:53649,7 pages
10.4236/aces.2015.51011
Analysis of the Chemical Safety Facility Investment Performance in China
Kang Sun, Long Bai, Xiaohong Li
Center for Studies of Marine Economy and Sustainable Development, Liaoning Normal University, Dalian, China
Email: sunkangdl@163.com
Copyright © 2015 by authors and Scientific Research Publishing Inc.
This work is licensed under the Creative Commons Attribution International License (CC BY).
http://creativecommons.org/licenses/by/4.0/



Received 12 January 2015; accepted 27 January 2015; published 30 January 2015
ABSTRACT
This paper adopts the accident incidence, the gross industry output value, the investment in safety facilities, and per capita wage of employment as the indexes to empirically analyze the investment performance of chemical safety facilities using time series data by VECM in China. The empirical results indicate that for
Keywords:
Chemical Safety Management, Peltzman Effect, Offsetting Behavior, VECM

1. Introduction
With the birth of chemical industry, controversy arose because of the industry’s high risk to human safety and to the environment. In recent decades, hazardous chemical accidents have become a worldwide problem. Many international conventions relating to the chemical industry have been legislated, including regulations, policies, and industry management systems, such as the Rotterdam Convention (1998), the Stockholm Convention (2001), the UNEP (United Nations Environment Programme) Strategic Approach to International Chemicals Management (1998), and the EU (European Union) directive on Registration, Evaluation, Authorization and Restriction of Chemicals (REACH, 2007). Over the past 20 years,
Most scholars used econometric analysis methods to research how the laws and regulations strengthened by safety regulatory organization influence the number of safety accidents brought by production and safety regulation effects empirically. Smith (1979) suggested that OSHA (Occupational Safety and Health Administration) policies were effective after analyzing the impact of its inspection on manufacturing injury rates over the period of 1973-1974 [2] . Gray and Scholz (1993) analyzed the industry panel data of 1979-1985 and concluded that OSHA policies reduced workplace fatalities by 22% [3] . In addition, Beck and Alford [4] (1980), Carmichael [5] (1986), and Weil [6] (1996) also deemed safety regulation was effective. Nevertheless, the result of Viscusi’s [7] [8] (1979, 1992) study was that the more the regulation was promulgated, the more deaths were caused through researching the U.S. government’s safety and health regulation policy. Other scholars [9] [10] found that the regulation effect was unsatisfactory due to the regulatory capture phenomenon. The extant literature about chemical safety mainly focuses on accident disposal [11] , accident statistical analysis [12] , and the domino effect [13] . The literature in relation to the cause of chemical accidents which happened frequently is relatively lacking, especially empirical analysis in
In this paper, an empirical test on the investment performance of chemical safety facilities will be implemented to talk about the cause of the chemical accidents happening frequently through analyzing the dynamic relationship between the investment and the performance of chemical safety facilities, using the time series data by VECM (Vector Error Correction Model).
2. Selection Criteria and Data
The general empirical analysis approach for regulation effect is to do a regression of the regulation behavior index to the regulation effect index, then test the significance and direction of the influence. Due to the particularity and complexity of the chemical industry, there are many factors that influence the chemical accident incidence. In this paper, index selection is mainly on the basis of existing literature. For instance, safety inspections and fines of factories had been selected as regulation behavior; workplace accident mortality had been selected as regulation effect by Klick and Stratmann (2003) in their research using the data provided by the OSHA [14] . Similarly, in this paper, in order to highlight the chemical accidents which occurred frequently in
This paper uses the annual data3 over the period 1981-2011 to identify the development trend of China’s chemical accidents. Chemical industry refers to the Manufacture of Raw Chemical Materials and Chemical Products according to national economy classifications in
,
,
,
.
3. Empirical Results
3.1. Unit Root Test
We begin our empirical analysis by testing for unit roots in the accident incidence
, gross industry output value
, investment in safety facilities
, and per capita wage
, because the integrational properties are crucial for the cointegration test and Granger causality test in VECM framework. We apply the conventional augmented Dickey and Fuller (ADF, 1979) test to establish the integrational properties of
,
,
,
. The calculated t-statistics together with the lag length selected using the SIC (Schwarz Information Criterion), as well as the critical value at 5% for the accident incidence
, gross industry output value
, investment in safety facilities
, and per capita wage
series are reported in Table 1.
In Table 1, the calculated t-statistics for the levels of accident incidence











3.2. Cointegration Test
In order to examine the long-term relationship among the accident incidence



As illustrated in Table 2, we accept the null hypothesis of “at most 3 cointegration relationships existed” among the accident incidence




Table 1. ADF unit root test results of



Notes: LL denotes lag length, which is selected using the SIC automatically and CV denotes critical values at the 5% significant level. 
Table 2. Cointegration test results of



From Equation (1), in the long term, an increase in the gross output value 











3.3. VECM
A causality test is often used to analyze the causal relationship among the variables. When there is cointegration relationship among the variables, we can construct a VECM to get the regression equation including the error correction item. The Wald joint test is then used to test the significance of the coefficient both on the variables and the error correction item to judge the causality direction [15] [16] in the VECM framework. The lag length is equal to the lag length for the cointegration test. The general equation of VECM is expressed by:

where

of explaining variables to short-term change of explained variable. 



The specific VECM equation4 in which accident incidence 




where

At the 5% significant level, use the Wald joint test on the equation in which accident incidence 





The statistical significances of each coefficient in Table 3 indicate that at the 5% significant level, all the null hypothesizes 




3.4. Impulse Response Function
Through impulse response function analysis, the path of influence affected by gross industry output value



Figure 1 shows the curve of response of per capita wage 


Figure 1. Curve of response of 

Table 3. The results of the Granger causality test of



NOTE: 


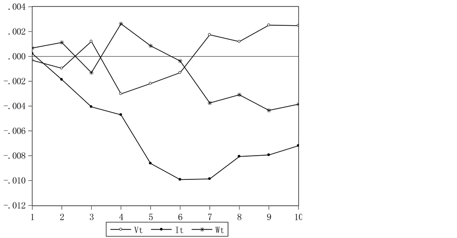
Figure 2. Curves of response of 



safety facilities 


Figure 2 shows the curves of response of accident incidence 


















From the perspective of the chemical workers’ safety awareness, workers tend to generate offsetting behavior, because of workers’ behavior in regards to moral hazard. The workers’ offsetting behavior is derived from the relatively low knowledge level of chemical workers. The main reason for chemical workers lack knowledge culture is that according to China’s family planning policy, each urban family only has one child, and each rural family can have two children. The consequences of the one-child policy are as follows: first, the urban only- child is spoiled and doesn’t want to work at the chemical factory in which the working environment is poor; second, the vocational-technical schools in cities designed for chemical plant workers have been forced to close due to lack of students; third, in China, migrant workers6 have become the current primary labor in high-risk industries such as the chemical industry, especially in private chemical enterprises. Because of migrant workers' education level is relatively low, when judging safety risk, they are more likely to generate offsetting behavior. In the short term, when the enterprises increase investment in safety facilities to provide a safer working environment for workers, the workers will be dependent on enterprise safety precautions excessively, thinking that their working environment is safe, thus reducing their safety awareness7. So, workers tend to increase labor efforts to earn higher wages by reducing safety efforts (assume that the worker will allocate his effort between wage effort and safety effort in this paper), leading to an offsetting effect. If the offsetting effect is strong enough, the accident incidence will increase conversely. Therefore, in the short term, with the increase in investment in safety facilities, per capita wage and accident incidence both increase. In the long term, with the improvement of the workers’ risk prevention awareness level through strengthening education and training, when increasing investment in safety facilities, workers will be aware of the increase in potential risk, rather than believing that their working environment gets better. Thus, workers will transfer their effort to safety from wages, obtaining a higher safety level. That is, with the workers’ offsetting behavior disappearing gradually, an increase in investment in safety facilities will eventually have the effect off reducing accident incidence.
4. Case Study
Dalian is located in the northeast coastal chemical industry area of China, and the chemical industry is developing rapidly. After the oil pipeline explosion on July 16, 2010 which shocked the world, the nation and the local government attached great importance to chemical safety. In 2010 and 2011, the government passed a total of 6 laws and regulations about hazardous chemicals (30, 32, 36, 40, 41,
On November 25, 2010, a toxic gases spill accident (including carbon oxide, hydrogen sulfide and so on) occurred in Carbon Chemical Co., Ltd. in Dalian, resulting in more than 20 workers, who were doing gymnastics close to the scene, suffering from toxic gas poisoning. The enterprise has sound safety rules and regulations, perfect safety operational procedures and security facilities. The cause of the accident was ash deposits in the gasifier, leading to the stopping of the compressor, and then the system stopped automatically. When the gases in the furnace burned insufficiently, toxic gases emitted directly through the torch. The direct cause of the accident was the workers’ over-reliance on the automatic safety chain system. When deviant behavior occurred at the end of the safety chain, there was no human intervention, eventually leading to the gas leakage accident8.
On August 29, 2011, Dalian Petrochemical Company’s refined oil storage tank exploded and caught fire. The incident occurred when the tubing outlet velocity of #875 tank reached 4.34 m/s, due to the floating plate without automatic floating, during the oil delivery operations of refined oil storage tanks. Due to exceeded safety limits, a large amount of static electricity was produced and discharged, igniting the mixture of oil mist, combustible gas and air, which exploded. This was a typical accident caused by violation of rules. When the tubing outlet velocity exceeded the safety limits, the workers didn’t control the tubing outlet velocity within safe limits in accordance with the rules, but relied on automatic equipment operation fully, resulting in the storage tank exploding and catching fire.
During the 2010 and 2011, while safety regulation was enhanced, the number9 of the chemical accidents was 2.7 times more than the total of the previous two years in Dalian. And 62.5% of 2010-2011 accidents belong to the “three violations” category. This indicates that the offsetting behavior is more serious in Dalian. Regulation enhancement did not reduce the accident incidence, but increased the accident incidence, due to workers relying too heavily on security facilities. The main reason is that, several years ago, the original chemical vocational- technical school in Dalian had been forced to close due to insufficient number of students. Migrant workers’ safety training is insufficient and safety awareness is weak, which is the reason for serious chemical workers’ offsetting behavior in Dalian. The case of Dalian further illustrates workers’ offsetting behavior is the main cause of chemical accident increases.
5. Conclusion
This paper adopts the chemical accident incidence, the chemical gross industry output value, investment in safety facilities of chemical industry, and per capita wage of chemical industry employment as the indexes to empirically analyze investment performance of chemical safety facilities using time series data over the period 1981-2011 by VECM. The empirical results indicate that for
Funding
Social Science Fund Project of Liaoning province (L13BJY033); Social Science Fund Project co-sponsored by province and ministry (13JJD790042).
References
- Sun, K. and Yang, H.M. (2012) Statistical Analysis of Dangerous Chemical Accidents in China. Fire Technology, 48, 331-341. http://dx.doi.org/10.1007/s10694-011-0224-y
- Smith, R.S. (1979) The Impact of OSHA Inspection on Manufacturing Injury Rates. Journal of Human Resource, 14, 145-170.
- Gray, W.B. and Scholz, J.T. (1993) Does Regulatory Enforcement Work? A Panel Analysis of OSHA Enforcement. Law & Society Review, 27, 177-213. http://dx.doi.org/10.2307/3053754
- Lewis-Beck, M.S. and Alford, J.R. (1980) Can Government Regulate Safety? The Coal Mine Example. The American Political Science Review, 74, 745-756. http://dx.doi.org/10.2307/1958155
- Carmichael, H.L. (1986) Reputations for Safety: Mark Performance and Policy Remedies. Journal of Labor Economics, 4, 458-472. http://dx.doi.org/10.1086/298106
- Weil, D. (1996) If OSHA Is So Bad, Why Is Compliance So Good? The Rand Journal of Economics, 27, 618-640. http://dx.doi.org/10.2307/2555847
- Viscusi, K. (1992) Fatal Tradeoffs: Public and Private Responsibilities for Risk. Oxford University Press, New York, 50-171.
- Viscusi, K. (1979) The Impact of Occupation Safety and Health Regulation, 1973-1983. Bell Journal of Economics, 10, 117-140. http://dx.doi.org/10.2307/3003322
- Keiser, K.R. (1980) The New Regulation of Health and Safety. Political Science, 95, 479-491. http://dx.doi.org/10.2307/2150061
- Greenberg, E.S. (1985) Capitalism and the American Political Ideal. M. E. Sharpe, Armonk, 76-80.
- Reniers, G.L.L., et al. (2008) A Multiple Shutdown Method for Managing Evacuation in Case of Major Fire Accidents in Chemical Clusters. Journal of Hazardous Materials, 152, 750-756. http://dx.doi.org/10.1016/j.jhazmat.2007.07.040
- He, G.Z., et al. (2011) Managing Major Chemical Accidents in China: Towards Effective Risk Information. Journal of Hazardous Materials, 187, 171-181. http://dx.doi.org/10.1016/j.jhazmat.2011.01.017
- Zhang, X.M. and Chen, G.H. (2011) Modelin and Algorithm of Domino Effect in Chemical Industrial Parks Using Discrete Isolated Island Method. Safety Science, 49, 463-467. http://dx.doi.org/10.1016/j.ssci.2010.11.002
- Klick, J. and Stratmann, T. (2003) Offsetting Behavior in the Workplace. Working Paper, George Mason University, Feldstein.
- Feldstein, M. and Stock, J.H. (1994) The Use of a Monetary Aggregate to Target Nominal GDP. Monetary Policy, University of Chicago Press, Chicago, 7-69.
- Toda, H.Y. and Phillips, P.C.B. (1993) Vector Autoregressions and Causality. Econometrica, 61, 1367-1393. http://dx.doi.org/10.2307/2951647
NOTES
1The cause of choosing investment in fixed assets as the investment in safety facilities is that the statistical data of investment in safety facilities not listed separately in China, but included in the investment in fixed assets. Another reason is that good working environments and advanced equipment are the safety guarantees for workers.
2Peltzman (1975) found that the increase of auto safety equipment did not reduce traffic mortality in the study of automobile safety regulation effect because of the offsetting effect caused by the behavior of drivers. Klick and Stratmann (2003) defined this effect as the Peltzman effect.
3The data is not reported here to conserve space but is available from the author upon request.
4The main purpose of this paper is to analyze the impact on accident incidence made by chemical gross industry output value, investment in safety facilities, and per capita wage. Thus, only the equation in which accident incidence is the explained variable is listed.
5The main purpose of this paper is to analyze the impact on accident incidence made by chemical gross industry output value, investment in safety facilities and per capita wage. Therefore, only test the equation in which accident incidence is the explained variable.
6Refers to the agricultural registered permanent residents working at the local township enterprise or urban enterprise.
7Viscusi (1979) through study found that when companies improve workers’ working conditions and the quality of labor safety, workers’ safety efforts will decline and the action level preventing risk will drop.
8See the two cases, Dalian Administration Bureau of Safety Working in China (2010-2011).
9The number of chemical accidents is taken from the China Chemical Safety Association.









