World Journal of Engineering and Technology
Vol.02 No.02(2014), Article ID:46331,9 pages
10.4236/wjet.2014.22016
On the Buckling of Euler Graphene Beams Subject to Axial Compressive Load
Mohamed B. M. Elgindi1*, Dongming Wei2, Yeran Soukiassian1, Yu Liu3
1Department of Mathematics, Texas A & M University-Qatar, Doha, Qatar
2Department of Mathematics, University of New Orleans, Louisiana, USA
3Department of Electrical Engineering, University of New Orleans, Louisiana, USA
Email: mohamed.elgindi@qatar.tamu.edu, dwei@uno.edu, yeran.soukiassian@qatar.tamu.edu, lyu2@my.uno.edu
Copyright © 2014 by authors and Scientific Research Publishing Inc.
This work is licensed under the Creative Commons Attribution International License (CC BY).
http://creativecommons.org/licenses/by/4.0/



Received 11 April 2014; revised 15 May 2014; accepted 23 May 2014
ABSTRACT
In this paper, we consider the buckling of an Euler-Bernoulli graphene beam due to an axial compressive load. We formulate the problem as a non-linear (eigenvalue) two-point boundary value problem, prove some properties of the eigenpairs and introduce a suitable numerical shooting method scheme for approximating them. We present the perturbation and the numerical appro- ximations of the first and second buckling loads and the corresponding shapes.
Keywords:
Critical Buckling Load, Graphene, Euler-Bernoulli Beam, Non-Linear Eigenvalue Problem, Shooting Method

1. Introduction
It is well-known from materials science, physics, and chemistry perspective, that intense interest in graphene material is developing at an accelerating pace and has recently generated numerous publications and research. Applications and the potential for graphene made structures are abundant. For instance, numerous engineering nanoscale devices that use graphene as basic components, like nanoscale resonators, switches, and valves, are being developed by many industries. Understanding the response of individual graphene structure elements to applied loads is crucially important (see [1] -[9] and the reference there in for a comprehensive list of appli- cations).
The Euler buckling load of simply supported straight elastics beam subject to an end axial compressive load can be modeled by the equation:
(1.1)
with boundary conditions
(1.2)
where
is the length of the beam,
the Young’s modulus, and
the area moment of inertia.
Integrating (1.1) twice gives:

and applying boundary conditions (1.2), we get:
.
The boundary value problem (1.1), (1.2), then reduces to:
(1.3)
The general solution of Equation (1.3) is
,
where
and
are arbitrary constants to be determined so that the boundary conditions are satisfied. This gives a sequence of non-zero (Eigenvalues/functions) solutions:
(1.4)
Furthermore, each eigenvalue of (1.3) is positive and simple, and satisfy
. The first eigen- function
is called the first buckling mode and the load corresponding to the first eigenvalue is called the critical buckling load. This buckling load is known as Euler’s Buckling load and is widely used in engineering applications.
The buckling analysis presented above is based on the Hooke’s law, relating the stress by:
and strain
by:




The first eigenvalue of (1.5) is found in [10] , and is given by:
which leads to the critical load:
where 
is the generalized area moment of inertia, and
The first eigenfunction is defined in terms the of the generalized sine function
The purpose of this paper is to consider the buckling of an Euler-Bernoulli beam made of graphene material acted upon by an axial compressive load, formulate the equilibrium equations and introduce a suitable numerical technique for solving them. We are also interested in examining the dependence of the critical buckling load on the graphene’s quadratic term parameter.
Graphene materialis are shown to be modeled by the following quadratic stress-strain constitutive law (see [2] and [7] ):

where 
where 


is known as the elastoplastic parameter. When this parameter is small the material’s ultimate maximal shear stress 
The eigenvalue problem corresponding to (1.5) for a beam made of graphene is given by:

where we used the following non-dimensional variables and parameters:
and
Note that in the above formulas the z-axis being in the off-plane direction and A is the cross sectional area.
In [13] , it was shown that the eigenvalues of (1.7) form a sequence of positive real numbers which tends to in- finity and that each eigenvalue is simple. In this paper we are concerned with perturbation and numerical ap- proximations of the eigenvalues and the eigen modes and in their dependence on the parameter
In Section 2, we provide an asymptotic expansion of the first eigenpairs of (1.7) in terms of a perturbation parameter. In Section 3 we verify some properties of the solutions of (1.7). In Section 4 we present the nu- merical approximation of the first two eigen pairs for the grapheme Euler beam.
2. Buckling Analysis of the Graphene Beam
Integrating (1.7) twice, and applying the boundary conditions we obtain the nonlinear eigenvalue problem:

When

whose first eigenpairs are given by:

We consider the expansions of the solutions of (2.1), 



We substitute (2.4) in (2.1) and compare the powers of

whose solvability condition gives
This way we obtain an asymptotic expansion:

valid for small enough

3. Properties of the Eigenvalues and Eigenfunctions
In this section we examine some properties of the solutions of the eigenvalue problem:

We observe that if 






In order to prove some properties that 

where
Theorem 3.1: For every


Proof: Multiplying both sides of (3.2) by 

where 
Case 1: Assume there is 


gives:
which implies that



Case 2: Assume that 


which in turn implies that
Theorem 3.2: For any



Proof: Assume that the conclusion of the theorem is false. Then, without loss of generality we can assume that
u has a local maximum at 



which upon evaluation at 
which is a contradiction.
Using Theorem 3.2, we will obtain an equivalent boundary value problem to (3.1) which we will use in the next section to construct the numerical solution. Integrating the differential equation in (3.1) two times, and us- ing the boundary conditions, we obtain the boundary value problem:

which we can write as:

where





by differentiating (3.4) we obtain:

Once again, using Theorem (3.2), it follows that the eigenvalue problem (3.6) is equivalent to (3.4) (and hence to (3.1)). In the next section we use the boundary value problem (3.6) to develop the numerical solutions of (3.1) that satisfy the additional constraint:

which in turn ensures that 
4. The Numerical Solution
In this section we use the eigenvalue problem

to construct the eigenpairs 







for



We use Newton’s method to determine 

Remarks:
For the first eigenvalue, 


For the second eigenvalue, 






Therefore, in solving for 





5. Numerical Results
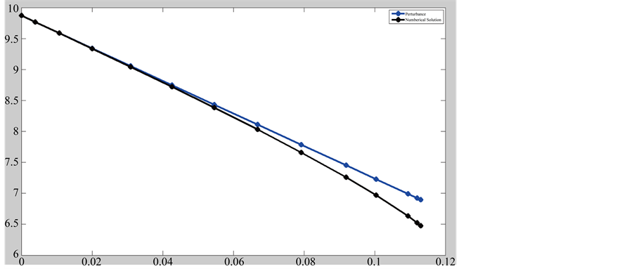
Our numerical results for 

Figure 1. The first eigenfunction 

Figure 2. 

Figure 3. The first eigenvalue for different values of
Figure 4. The second eigenfunction 

Figure 5. 

Figure 6. The second eigenvalue for different values of
Below we present the numerical results for an example where the parameters have the units used in practice, [14] . We consider a beam of rectangular cross section with the dimensions: height
nm, and length L = 1000 nm (the corresponding


given by

In this case the perturbation analysis of Section 2, gives 

6. Conclusion
We considered the buckling of an Euler-Bernoulli beam made of graphene. We used the properties of the buck- ling functions proved in Section 3 to develop equivalent boundary value problems which we treat numerically using the shooting method. We presented the numerical results for the first two eigenpairs and compared them
Figure 7. The first eigenfunction 

Figure 8. 

Figure 9. 

to the solutions obtained by perturbation methods. We also presented the numerical results for an example using the units used in practice. Our numercial results indicate that the critical buckling load for a graphene Euler-Ber- noulli beam is decreased as the graphene’s qaudratic parameter is increased.
Acknowlegements
The research in this paper is a part of a research project funded by the Research office, Texas A & M University at Qatar.
References
- Zhu, Y., Murali, S., Cai, W., Li, X., Suk, J.W., Potts, J.R. and Ruoff, R.S. (2010) Graphene and Graphene Oxide: Synthesis, Properties, and Applications. Advanced Materials, 22, 3906-3924. http://dx.doi.org/10.1002/adma.201001068
- Galiotis, C. (2011) Mechanical Properties of Graphene. Graphene 2020/Brussels.
- Kim, M.T. (1996) Influence of Substrates on the Elastic Reaction of Films for the Microindentation Tests. Thin Solid Films, 283, 12-16. http://dx.doi.org/10.1016/0040-6090(95)08498-3
- Lee, C., Wei, X., Kysar, J.W. and Hone, J. (2008) Measurement of the Elastic Properties and Intrinsic Strength of Monolayer Graphene. Science, 321, 385-388. http://dx.doi.org/10.1126/science.1157996
- Lee, C., Wei, X., Li, Q., Carpick, R., Kysar, J.W. and Hone, J. (2009) Elastic and Frictional Properties of Graphene. Physica Status Solidi (B), 246, 2562-2567. http://dx.doi.org/10.1002/pssb.200982329
- Sansoz, F. and Gang, T. (2010) A Force-Matching Method for Quantitative Hardness Measurements by Atomic Force Microscopy with Diamond-Tipped Sapphire Cantilevers. Ultramicroscopy, 111, 11-19. http://dx.doi.org/10.1016/j.ultramic.2010.09.012
- Malina, E.W. (2011) Mechanical Behavior of Atomically Thin Graphene Sheets Using Atomic Force Microscopy Nanoindentation. Master’s Thesis, University of Vermont, Vermont.
- Elgindi, M.B.M. and Wei, D.M. (2012) On the Global Solvability of a Class of Fourth-Order Nonlinear Boundary Va- lue Problems. Applied Mathematical Sciences, 6, 5981-5992.
- Li, P., You, Z. and Cui, T.H. (2012) Graphene Catilever Beams for Nano Switches. Applied Physics Letters, 101, 093111. http://dx.doi.org/10.1063/1.4738891
- Wei, D., Sarria, A. and Elgindi, M.B.M. (2012) Critical Buckling Loads of the Perfect Hollomon’s Power-law Columns, Mechanics Research Communications. 1-12.
- Barkat, A.B. and Matti, V. (2012) On Generalized Trigonometric Functions with Two Parameters.
- Drbek, P. and Mansevich, R. (1999) On the Closed Solution to Some pLaplacian Nonho-Mogeneous Eigenvalue Problems. Differential Integral Equations, 12, 773-788.
- Elgindi, M.B.M., Wei, D. and Elgindi, T.M. (in Press) On the Solvability of an Euler Graphene Beam Subject to Axial Compressive Load.
- Malina, E.W. (2011) Mechanical Behavior of Atomically Thin Graphene Sheets Using Atomic Force Microscopy Nanoin-dentation. Master Thesis, University of Vermont, Vermont.
NOTES
*First author.


























