Journal of Environmental Protection
Vol.06 No.04(2015), Article ID:55258,8 pages
10.4236/jep.2015.64028

Study on Phosphorus Characteristics in Sediments of Xiangxi Bay, China Three-Gorge Reservoir

Huajun Luo1, Defu Liu2, Yingping Huang3

1College of Biological and Pharmaceutical Science, China Three Gorges University, Yichang, China

2College of Hydroelectric & Environment, China Three Gorges University, Yichang, China

3Engineering Research Center of Eco-Environment in Three Gorges Reservoir Region, Ministry of Education, China Three Gorges University, Yichang, China

Email: luohuajun@21cn.com

Copyright © 2015 by authors and Scientific Research Publishing Inc.

This work is licensed under the Creative Commons Attribution International License (CC BY).

http://creativecommons.org/licenses/by/4.0/

Received 14 March 2015; accepted 30 March 2015; published 31 March 2015

ABSTRACT

To explore the environment influence of the sediments in Xiangxi Bay (China Three-Gorge Reservoir), spatial and temporal distribution characteristics of total phosphorus (TP), phosphorus fractions, dissolved total phosphorus (DTP) of pore water and overlying water in the sediments were investigated. In surveys, the sampling was undertaken from six sites of Xiangxi Bay on 29 March 2009 and 28 March 2010. TP contents ranged from 1111.29 mg/kg to 1941.29 mg/kg with the mean value of 1533.09 mg/kg in 2009 spring and 1600.48 mg/kg in 2010 spring. Five fractions of sedimentary phosphorus, including loosely sorbed phosphorus (NH4Cl-P), redox-sensitive pho- sphorus (BD-P), metal oxide bound phosphorus (NaOH-P), calcium bound phosphorus (HCl-P), and residual phosphorus (Res-P), were separately quantified. DTP of pore water and overlying water all have positive correlations with NH4Cl-P and BD-P, which indicated that NH4Cl-P and BD-P were the main fractions that can easily release phosphorus in the sediments of Xiangxi Bay .

Keywords:

Phosphorus, Characteristics, Fractions, Sediments, Xiangxi Bay

1. Introduction

Reservoir eutrophication has become a serious environmental problem in China. Biological productivity in reservoir is strongly related to the concentration of phosphorus (P). It has been shown that the sediment can act as an internal source of phosphorus for the overlying water [1] -[3] . P can be transferred from water to sediment through biochemical and physical reactions such as ion exchange, adsorption, and precipitation [4] , and also could be released from sediments as the overlying water quality changing [5] -[8] .

China Three-Gorge Dam ( 2335 m long and 185 m high) is the world’s largest dam, and the reservoir created by it has an area of 1080 km 2 in 2009 [9] . The Xiangxi River, which lies 38 km upstream from the Dam, is 94 km long with a watershed of 3099 km 2 (between 110˚25'E and 111˚06'E long., 30˚57'N and 31˚34'N lat.) [10] . With impoundment of Three-Gorge Reservoir (TGR), the water flow velocity in Xiangxi Bay dropped from the original 0.43 - 0.92 m/s [11] to 0.0020 - 0.0041 m/s [12] . As water temperature increased in spring, there were algal blooms with prolonged retention time and rich nutrients in Xiangxi Bay .

In Xiangxi Bay, the distributions and influences of phosphorus in water body have been studied [13] -[16] . However, the spatial and temporal variability of phosphorus and phosphorus bioavailability in sediments of Xiangxi Bay still need to be fully studied. So the objective of this study was to investigate total phosphorus and phosphorus fractions characteristics in the sediments of Xiangxi Bay . The phosphorus relationships among sediment, pore water and overlying water were also studied.

2. Materials and Methods

2.1. Sampling and Sample Preparation

The sampling was undertaken from six sites of Xiangxi Bay (Figure 1) on 29 March 2009 and 28 March 2010.

Figure 1. Sediment sampling sites in Xiangxi Bay.

Sites (XD1-XD5) are on the Xiangxi River. Site GL is located at the downstream of Gaolan River , which is the largest tributary of the Xiangxi River . Sediments with a 15-cm overlying water column were collected using acid-washed PVC core tubes (diameter 65 mm ). The overlying water was siphoned off, filtered and stored at 4˚C for analysis. The top 5 cm of sediment cores were segmented and stored in air-sealed plastic bags at 4˚C. Pore water was separated from the sediments by centrifugation (3000 rpm, 10 min) followed by filtration of the supernatant (passing a Whatman 0.45 μm pore-size filter). Prior to analysis the sediment samples were freeze- dried and ground to pass through a 100-mesh sieve.

2.2. Sediment Analysis

2.2.1. Total Phosphorus (TP)

Freeze-dried sediment ( 0.7000 g ) was put into a 50-ml glass tube, and digested with potassium persulphate and 30% v/v sulphuric acid. After digestion, the solution was cooled, centrifuged and filtered by Whatman 0.45 μm pore-size filter. Then phosphorus was determined using the ammonium molybdate-ascorbic acid (AMAA) method [17] . A blank was processed simultaneously.

2.2.2. Phosphorus Fractions

The contents of different phosphorus fractions were determined using the sequential extraction scheme suggested by Psenner et al. [18] with the modifications of Hupfter et al. [19] (Figure 2), which based on differences in reactivity of solid phases to different extractant solutions. The extraction procedure divided inorganic phosphorus (IP) fractions into loosely sorbed P (NH4Cl-P), redox-sensitive P (BD-P), metal oxide bound P (NaOH-P) and calcium bound P (HCl-P). The difference between TP and IP is the residual P (Res-P) fraction, which contains organic P and refractory P compounds.

2.3. Water Samples

Dissolved total phosphorus (DTP) of pore water and overlying water were determined in the laboratory using AMAA method.

All samples were analyzed in triplicates and the data were expressed as the average.

Figure 2. Sequential extraction method.

3. Results and Discussion

3.1. Sediment TP Characteristics

Because Xiangxi river basin is in high phosphorus background region, TP contents in sediments of Xiangxi Bay were high, which maximum value reached 1941.29 mg/kg (XD1, March 2010). Mean values of TP contents in sediments were 1533.09 mg/kg (March 2009) and 1600.48 mg/kg (March 2010), respectively. As the water flow velocity from upper to down reaches of Xiangxi Bay decreased, sedimentation of phosphorus increased as moving to the estuary. TP contents in sediments decreased from down to upper reaches of Xiangxi Bay except TP content of site XD 4 in 2010 (Figure 3). In site XD4 (March 2010), TP contents increased 31.32% than that in 2009 spring and reached to 1886.65 mg/kg. TP contents of tributary site GL in sediments were 1359.65 mg/kg (March 2009) and 1484.88 mg/kg (March 2010), which all near the mean values of TP in Xiangxi Bay .

3.2. Sediment Phosphorus Fractions

For mean values of all the sediment samples phosphorus fractions were in the order: Res-P > HCl-P > NaOH-P > NH4Cl-P > BD-P. But there were different sequences in different sites (Figure 4): XD1 (March 2009) with sequence of Res-P > HCl-P > NaOH-P > BD-P > NH4Cl-P; XD3 (March 2010) with sequence of HCl-P > NaOH-P > Res-P > NH4Cl-P > BD-P; XD5 (March 2009 and March 2010) with sequence of HCl-P > Res-P > NaOH-P > NH4Cl-P > BD-P; GL (March 2009 and March 2010) with sequence of NaOH-P > HCl-P > Res-P > NH4Cl-P > BD-P. It was reported that in heavily polluted lakes, the rank order of NaOH-P > HCl-P was found [1] , while the oppositive order of HCl-P > NaOH-P was in mesotrophic lakes [20] . So the rank order of phosphorus fractions suggests that the sediments of Xiangxi Bay are mostly mesotrophic, except for site GL.

NH4Cl-P represents the loosely sorbed P in the sediments [20] [21] . In Xiangxi Bay , mean values of NH4Cl-P contents in sediments were 95.06 mg/kg (March 2009) and 131.01 mg/kg (March 2010), respectively. NH4Cl-P contents of all sampling sites in 2010 were higher than that in 2009 except XD2 (Figure 4(a)). In 2010, the highest NH4Cl-P amount was observed in XD4 (187.15 mg/kg), which was almost two times higher than that in site XD1 (94.11 mg/kg). The percentage of NH4Cl-P contributing to TP increased from down to upper reaches of Xiangxi Bay in 2010 and was in the range of 4.57% - 8.47% (March 2009) and 4.85% - 13.22% (March 2010) for all sampling sites (Figure 4(b)).

The BD-P, mainly including P bound to Fe-hydroxides and Mn compounds, represents the redox-sensitive P fraction [22] . In dissolved oxygen (DO) depletion environment, the BD-P was released from anaerobic sediments and acted as an internal P source to the overlying water [23] . In Xiangxi Bay, the mean BD-P amounts in sediments were the lowest among the five P fractions and exhibited high variability in various sampling sites.

Figure 3. TP contents in sediments of Xiangxi Bay.

(a)(b)

Figure 4. (a) Contents of different P fractions in sediments of Xiangxi Bay; (b) Relative contribution of different P fractions to TP.

The BD-P amounts in the sediments ranged from 57.80 mg/kg (XD4) to 96.45 mg/kg (XD3) in 2009, which contributed 3.15% - 7.03% of TP, and from 55.64 mg/kg (XD2) to 163.34 mg/kg (XD4) in 2010, which contributed 3.40% - 11.77% of TP (Figure 4). DO depletion, high pH level or bacterial activity can enhance contribution of the BD-P fraction [20] .

NaOH-P is phosphorus bound to metal oxides and can be released for the growth of phytoplankton when anoxic conditions prevail at the sediment-water interface [24] . NaOH-P amounts in the sediments ranged from 139.49 mg/kg to 477.65 mg/kg, which contributed 7.11% - 32.17% of TP. Mean values of NaOH-P contents in sediments were 95.06 mg/kg (March 2009) and 131.01 mg/kg (March 2010), respectively. The highest amount was detected in site GL (432.59 mg/kg in 2009 and 477.65 mg/kg in 2010). NaOH-P was used for the estimation of available P in the sediments and was indicator of algal available P [25] . So the risk of phosphorus release in GL was high for algal bloom.

HCl-P was assumed to mainly consist of apatite P, including P bound to carbonates and traces of hydrolysable organic P. This phosphorus fraction was deemed as a relatively stable fraction in the sediments [26] . HCl-P amounts in the sediments ranged from 410.56 mg/kg to 748.38 mg/kg, which contributed 22.02% - 39.33% to TP with the average of 32.94% (Figure 4(b)). The high HCl-P content was owing to high portions of calcium mineral P in Xiangxi Bay .

3.3. Phosphorus Characteristics of Pore Water and Overlying Water

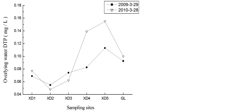
Mean values of DTP concentrations in pore water were 0.2236 mg/L (March 2009) and 0.2854 mg/L (March 2010), respectively. Those in overlying water were 0.0811 mg/L (March 2009) and 0.0968 mg/L (March 2010). DTP concentrations of pore water in all sampling sites in 2010 were higher than those in 2009 except XD2 (Figure 5(a)). The maximum DTP concentration of pore water was 0.3648 mg/L (site XD4, March 2010). DTP concentrations of overlying water increased from XD2 to XD5, which reached to the maximum values in site XD5 (0.1130 mg/L in 2009 and 0.1550 mg/L in 2010) (Figure 5(b)).

The relationships between DTP of pore water and different P fractions in the sediments are shown in Figure 6. It can be concluded that the DTP concentrations of pore water were strongly in positive correlations with NH4Cl-P (R = 0.9752, P < 0.01) and BD-P (R = 0.8516, P < 0.01). The DTP concentrations of overlying water were also in positive correlations with NH4Cl-P (R = 0.7306, P < 0.01) and BD-P (R = 0.7150, P < 0.01) (Figure 7). This indicates that NH4Cl-P and BD-P may be easily released from the sediments in Xiangxi Bay , and they were main fractions of the release phosphorus source in the sediments and of the sources for the overlying water.

(a)(b)

Figure 5. DTP concentrations of pore water (a) and overlying water (b) in Xiangxi Bay sediments.

Figure 6. Relationships between DTP of pore water and different P fractions in Xiangxi Bay sediments.

Figure 7. Relationships between DTP of overlying water and different P fractions in Xiangxi Bay sediments.

4. Conclusion

Spatial and temporal distribution characteristics of TP and phosphorus fractions in the sediments of Xiangxi Bay were investigated. The contents of TP and different phosphorus fractions in the sediments varied greatly in sampling sites. TP contents ranged from 1111.29 mg/kg to 1941.29 mg/kg with the mean value of 1533.09 mg/kg in 2009 and 1600.48 mg/kg in 2010. Phosphorus contents in NH4Cl-P, BD-P, NaOH-P, and HCl-P ranged from 82.33 to 187.15 mg/kg, 55.64 to 163.34 mg/kg, 109.63 to 477.65 mg/kg, and 410.56 to 748.38 mg/kg, respectively. For mean values of all the sediment samples, the rank order of phosphorus fractions was: Res-P > HCl-P > NaOH-P > NH4Cl-P > BD-P, which indicated that the sediments of Xiangxi Bay were mesotrophic. Dissolved total phosphorus of pore water and overlying water all have positive correlations with NH4Cl-P and BD-P. NH4Cl-P and BD-P may be easily released from the sediments and contributed mostly as the release phosphorus source in the sediments of Xiangxi Bay. The results reported herein would be helpful in developing effective management to control internal phosphorus-loading release in the Xiangxi Bay sediments.

Acknowledgements

This work was funded by National Natural Science Foundation of China (No. 50679038, 51009080), National Water Special Project of China (2008ZX07104-004) and Science Foundation of China Three Gorges University (No. 1112046). We thank Daobin Ji, Zhengjian Yang, Jun Ma, Song Kong, Niansan Hu, Yu Zhang, Jingfeng Xu, Shuyong Hu and Xia Yang for their assistance in the field and lab.

References

  1. Lijklema, L., Koelmans, A.A. and Portielje, R. (1993) Water Quality Impacts of Sediment Pollution and the Role of Early Diagenesis. Water Science and Technology, 28, 1-12.
  2. Ramm, K. and Scheps, V. (1997) Phosphorus Balance of a Polytrophic Shallow Lake with the Consideration of Phosphorus Release. Hydrobiologia, 343, 43-53. http://dx.doi.org/10.1023/A:1017092618517
  3. Zhou, Q., Gibson, C.E. and Zhu, Y. (2001) Evaluation of Phosphorus Bioavailability in Sediments of Three Contrasting Lakes in China and the UK. Chemosphere, 42, 221-225. http://dx.doi.org/10.1016/S0045-6535(00)00129-6
  4. Stumm, W. and Morgan, J. J. (1996) Aquatic Chemistry. 3rd Edition, John Wiley & Sons, New York.
  5. Furumai, H., Kondo, T. and Ohgaki, S. (1989) Phosphorus Exchange Kinetics and Exchangeable Phosphorus Forms in Sediments. Water Research, 23, 685-691. http://dx.doi.org/10.1016/0043-1354(89)90200-5
  6. Stimson, J. and larned, S.T. (2000) Nitrogen Efflux from the Sediments of a Subtropical Bay and the Potential Contribution to Macroalgal Nutrient Requirements. Journal of Experimental Marine Biology and Ecology, 252, 159-180. http://dx.doi.org/10.1016/S0022-0981(00)00230-6
  7. Lu, X.X., Song, J.M., Li, X.G., Yuan, H.M., Zhan, T.R., Li, N. and Gao, X.L. (2005) Geochemical Characteristics of Nitrogen in the Southern Yellow Sea Surface Sediments. Journal of Marine Systems, 56, 17-27. http://dx.doi.org/10.1016/j.jmarsys.2004.06.009
  8. Steinman, A., Chu, X.F. and Ogdahl, M. (2009) Spatial and Temporal Variability of Internal and External Phosphorus Loads in Mona Lake, Michigan. Aquatic Ecology, 43, 1-18. http://dx.doi.org/10.1007/s10452-007-9147-6
  9. Wu, J.G., Huang, J.H., Han, X.G., Xie, Z.Q. and Gao, X.M. (2003) Three-Gorge Dam―Experiment in Habitat Frag- mentation? Science, 300, 1239-1240. http://dx.doi.org/10.1126/science.1083312
  10. Ye, L., Li, D.F., Tang, T., Qu, X.D. and Cai, Q.H. (2003) Spatial Distribution of Water Quality in Xiangxi River, China. Chinese Journal of Applied Ecology, 14, 1959-1962.
  11. Tang, T., Li, D.F., Pan, W.B., Qu, X.D. and Cai, Q.H. (2004) River Continuum Characteristics of Xiangxi River. Chinese Journal of Applied Ecology, 15, 141-144.
  12. Wang, H.Y. (2005) Effects of the Three Gorges Reservoir on the Water Environment of the Xiangxi River with the Proposal of Countermeasures. Resources and Environment in the Yangtze Basin, 14, 233-237.
  13. Luo, H.J., Liu, D.F., Ji, D.B., Huang, Y.L. and Huang, Y.P. (2009) Influence Factors Analysis to Chlorophyll a of Spring Algal Bloom in Xiangxi Bay of Three Gorges Reservoir. Journal of Water Resource and Protection, 3, 188-194. http://dx.doi.org/10.4236/jwarp.2009.13023
  14. Yang, Z.J., Liu, D.F., Ji, D.B. and Xiao, S.B. (2010) Influence of the Impounding Process of the Three Gorges Reservoir up to Water Level 172.5 m on Water Eutrophication in the Xiangxi Bay. Science China Technological Sciences, 53, 1114-1125. http://dx.doi.org/10.1007/s11431-009-0387-7
  15. Dai, H.C., Zheng, T.G. and liu, D.F. (2010) Effects of Reservoir Impounding on Key Ecological Factors in the Three Gorges Region. Procedia Environmental Sciences, 2, 15-24. http://dx.doi.org/10.1016/j.proenv.2010.10.004
  16. Wang, L., Cai, Q.H., Tan, L. and Kong, L.H. (2011) Phytoplankton Development and Ecological Status during a Cyanobacterial Bloom in a Tributary Bay of the Three Gorges Reservoir, China. Science of the Total Environment, 409, 3820-3828. http://dx.doi.org/10.1016/j.scitotenv.2011.06.041
  17. Murphy, J. and Riley, J.P. (1962) A Modified Single Solution Method for the Determination of Phosphate in Natural Water. Analytica Chimica Acta, 27, 31-36. http://dx.doi.org/10.1016/S0003-2670(00)88444-5
  18. Psenner, R., Boström, B. and Dinka, M. (1988) Fractionation of Phosphorus in Suspended Matter and Sediments. Archiv Hydrobiol Beih Ergeb Limnol, 30, 98-109.
  19. Hupfer, M., Gachter, R. and Giovanoli, R. (1995) Transformation of Phosphorus Species in Settling Seston and during Early Sediment Diagenesis. Aquatic Science, 57, 305-324. http://dx.doi.org/10.1007/BF00878395
  20. Kaiserli, A., Voutsa, D. and Samara, C. (2002) Phosphorus Fractionation in Lake Sediments―Lakes Volvi and Koronia, N. Greece. Chemosphere, 46, 1147-1155. http://dx.doi.org/10.1016/S0045-6535(01)00242-9
  21. Rydin, E. (2000) Potentially Mobile Phosphorus in Lake Erken Sediment. Water Research, 34, 2037-2042. http://dx.doi.org/10.1016/S0043-1354(99)00375-9
  22. Kozerski, H. and Kleeberg, A. (1998) The Sediments and the Benthic Pelagic Exchange in the Shallow Lake Muggelsee. International Review of Hydrobiology, 83, 77-112. http://dx.doi.org/10.1002/iroh.19980830109
  23. Kleeberg, A. and Kozerski, H. (1997) Phosphorus Release in Lake Groβer Müggelsee and Its Implications for Lake Restoration. Hydrobiologia, 342-343, 9-26. http://dx.doi.org/10.1023/A:1017079029053
  24. Ting, D.S. and Appan, A. (1996) General Characteristics and Fractions of Phosphorus in Aquatic Sediments of Two Tropical Reservoirs. Water Science and Technology, 34, 53-59. http://dx.doi.org/10.1016/S0273-1223(96)00724-X
  25. Zhou, Q., Gibson, C.E. and Zhu, Y. (2001) Evaluation of Phosphorus Bioavailability in Sediments of Three Contrasting Lakes in China and the UK. Chemosphere, 42, 221-225. http://dx.doi.org/10.1016/S0045-6535(00)00129-6
  26. Gonsiorezyk, T., Casper, P. and Koschel, R. (1998) Phosphorus-Binding Forms in the Sediment of an Oligotrophic and an Eutrophic Hardwater Lake of the Baltic Lake District (Germany). Water Science and Technology, 37, 51-58. http://dx.doi.org/10.1016/S0273-1223(98)00055-9