Journal of Biomaterials and Nanobiotechnology
Vol.09 No.02(2018), Article ID:83878,16 pages
10.4236/jbnb.2018.92009
Discovery of Unusual Highly Branched Galactomannan from Seeds of Desmanthus illinoensis*
Masakuni Tako1,2#, Yukihiro Tamaki1,3, Takeshi Teruya1
1Department of Bioscience and Biotechnology, University of the Ryukyus, Okinawa, Japan
2Health and Longevity Research Laboratory, Okinawa, Japan
3Laboratory of Vaccinology and Vaccine Immunology, Center of Molecular Bioscience, University of the Ryukyus, Okinawa, Japan

Copyright © 2018 by authors and Scientific Research Publishing Inc.
This work is licensed under the Creative Commons Attribution International License (CC BY 4.0).
http://creativecommons.org/licenses/by/4.0/



Received: December 18, 2017; Accepted: April 17, 2018; Published: April 20, 2018
ABSTRACT
A galactomannan was isolated from seeds of a leguminous plant, Desmanthus illinoensis, which is grown in Okinawa, Japan. D-Galactose (molar ratio, 1.0) and D-mannose (0.82) were identified via High-performance Anion Exchange Chromatography Coupled with a Pulse Amperometric Detector. The molecular mass and specific rotation were estimated to be 1000 kDa and +53.8˚, respectively. The infrared spectrum indicated that the galactomannan was involved in both α- and β-linkages, and two types of α-linkages were detected at 814 and 830 cm−1. The 1H- and 13C-NMR spectra indicated that the majority of the β-D-mannan main chain was substituted with mono α-D-galactose or α-D-galacto-disaccharide-side chains. Methylation analysis was used to identify 2,3,4,6-tetra-O-methyl-D-galactose (molar ratio, 3.3), 2,3,4-tri-O-methyl-D-galactose (1.0) and 2,3-di-O-methyl-D-mannose (3.1). Specifically, unique 2,3,4-tri-O-methyl D-galactose residue was identified from mass spectrum. The results suggested that the galactomannan was 1,4-linked-β-D-mannan substituted with α-D-galactose or 1,6-linked-α-D-galacto-disaccharide side chains at C-6 on the main chain. The galactomannan isolated from D. illinoensis was an unusual highly branched polysaccharide, and its chemical structure was proposed. This work is the first to report on the galactomannan involving 1,6-linked α-D-galacto-disaccharide side chains in addition to α-D-galactose mono side chains.
Keywords:
Unusual Highly Branched Galactomannan, Desmanthus illinoensis, NMR Analysis, Methylation Analysis, Chemical Structure

1. Introduction
Galactomannans are involved in the endosperms of leguminous plant seeds. Since the polysaccharides have high viscosity [1] and synergistic interactions with xanthan gum [2] [3] [4] , κ-carrageenan [5] and agarose [6] , they are often used as thickening, stabilizing and gelling agents in the food industry. The structure of the polysaccharides is 1,4-linked β-D-mannopyranosyl main chain with various proportions of single α-D-galactopyranosyl side chains at C-6 of the main chain. The proportions of D-mannose and D-galactose in the galactomannans are dependent on the source and greatly affect the solution properties, including water solubility, viscosity and synergistic interactions.
The structure-function relationship of the synergistic interaction among galactomannans (locust bean gum [2] [7] [8] [9] , guar gum [3] , tara-bean gum [4] , leucaena gum [10] , and delonix gum [11] ) and xanthan gum produced by a bacterium, Xanthomonas campestris [12] [13] are examined. The strength of the galactomannan-xanthan gelling interaction increased with decreasing content of D-galactose side chains of the former molecules. Indeed, a low degree of substitution with D-galactose side chains, locust bean gum (25%), exhibited very strong gels, but highly branched (50%) guar gum did not gel at room temperature. Furthermore, an intermediate degree of substitution, tara bean gum (33%), exhibited a weak interaction with xanthan at room temperature (25˚C). The results suggested that the trisaccharide side-chains of xanthan molecules [13] [14] participated in association with the main chain of galactomannan molecules. Thus, association sites between galactomannan and xanthan were proposed [14] . The association occurred between C-2 of D-mannose of galactomannan, which adopted an axial orientation, and hemiacetal oxygen atom of the inner D-mannose-side chain of xanthan with hydrogen bonding. The pyruvate methyl groups of xanthan also participated in the interaction with galactomannan molecules. The association site contributing OH-2 of D-mannose main chains was suggested from the intra- and/or intermolecular associations of gelling κ-carrageenan [5] [15] , ι-carrageenan [16] and agarose [17] molecules. The interaction between galactomannan and xanthan suggested that such D-mannose-specific interaction exist in plant and pathogen recognition processes because xanthan-producing bacterium is one of plant pathogen bacterium [14] . Consequently, in principle, basic rules exist in gel-formation processes including water molecules and polysaccharides at the molecular level [18] [19] . The principle is also examined in amylose, amylopectin and starch gelatinization as well as retrogradation including water molecules at the molecular level [20] [21] .
Many galactomannans have been isolated from various leguminous plant seeds [22] - [29] . Galactomannans were isolated from Leucaena leucosephala [23] and Delonix regia [25] grown in Okinawa, Japan. Synergistic interaction between Leucaena galactomannan (degree of side chain substitution, 66%) and xanthan did not occur at room temperature, but gelled after cooling [10] . In contrast, the mixture of Delonix galactomannan (25%) with xanthan showed strong gel, even at 0.1% total concentration of the polysaccharides at room temperature [11] . The results supported proposed association sites between galactomannan and xanthan molecules [11] (Figure 1).
Desmanthus illinoensis is a leguminous plant grown in Okinawa, but the plant is originated in USA. The highly unusual branched chemical structure of galactomannan from seeds of D. illinoensis is presented.
2. Materials and Methods
2.1. Polysaccharide Preparation
The seeds of Desmanthus illinoensis were collected in campus of University of the Ryukyus, Nishihara, Okinawa, Japan. Seeds were crushed to a powder with a mixer and kept in refrigerator at 4˚C. The powder was soaked in ethanol overnight and soaked again in acetone to remove lipids, then it was dried in vacuo.
The defatted powder (20 g) was suspended in water at 90˚C for 2 h, and filtered through Celite 545 filter aid. Two volumes of ethanol were added to the filtrate and the polysaccharide was dried in vacuo. The crude polysaccharide was
Figure 1. Synergistic gelation mechanism between galactomannan and xanthan gum: (---) hydrogen bonding and (/////) van der Waals forces of attraction. As the tertiary structure of the xanthan molecule may keep a single stranded helix, its side-chains are inserted into the adjacent, unsubstituted segments of the backbone of the galactomannan molecule. A molecule of xanthan may combine with two or more molecules of galactomannan, the ratio depending on the favored conformation in aqueous solution. As the side-chains of the native and depyruvated xanthan molecules are somewhat rigid because of the intramolecular associations contributed by acetyl group and OH-3 of D-glucosyl residue, an incomplete interaction may exist in part and greater interaction may result from deacetylation (Reproduced with permission from reference 21. Copyright 2014 Scientific Research Publishing).
dissolved in distilled water at room temperature and the solution was passed through Celite 545 filter aid. Then, the filtrate was precipitated by adding 2 volumes of ethanol and the resulting solid was dried in vacuo. The purified polysaccharide was dissolved in purified water at room temperature and lyophilized.
Locust bean gum obtained from Taiyo Chemical Co. Ltd (Mie, Japan) was prepared with the same methods described above.
2.2. Chemical Components Analysis
The polysaccharide carbohydrate content was determined by the phenol-sulfuric acid method [30] using D-mannose as the standard.
2.3. High-performance Anion Exchange Chromatography Coupled with a Pulse Amperometric Detector (HPAEC-PAD)
The polysaccharide was dissolved in purified water and sulfuric acid was added to a final concentration of 1.0 M. The solution was heated at 100˚C for 2 h. The hydrolysate was neutralized with BaCO3 and filtered. The hydrolysate was analyzed by high-performance anion exchange chromatography (HPAEC) on DX 500 (Dionex, Sunnyvale, CA, USA) fitted with a column of CarboPac PAi (4 × 250 mm) and a pulsed amperometric detector. The column was eluted at a flow rate of 1 mL/min at 35˚C with 14 mM NaOH [31] [32] [33] .
2.4. Molecular Mass
The polysaccharide molecular mass was determined by high-performance liquid chromatography (HPLC)(Shimadzu LC-6A; Shimadzu, Co., Ltd, Japan) on a Superdex 200 with refractive index detection (RID-6A, Shimadzu, Kyoto, Japan). The HPLC operation was performed at room temperature. The column was developed with 50 mm phosphate buffer, and the same buffer supplemented with 150 mM sodium chloride; fractions (3 mL each) were collected at a flow rate of 0.5 mL/min. The column was conditioned with 0.15 M sodium chloride in 0.05 M sodium phosphate buffer (pH 7.2), and elution was conducted with the same buffer. Standard pullulan (Showa Denko, Tokyo, Japan) with a definite molecular mass were used as molecular mass markers (P5, 5 kDa; P200, 200 kDa; P400, 400 kDa; P800, 800 kDa) [33] .
2.5. Fourier Transform Infrared (FTIR) Spectroscopy and Specific Rotation
The FTIR spectra of the polysaccharide and locust bean gum as a standard were measured using an FT-IR-8000 spectrophotometer (Jasco Co., Ltd., Japan) in transmittance mode from 4000 to 400 cm−1 in KBr disc. The KBr disc was prepared by dispersing solid sample in the KBr salt [25] [31] .
The specific rotation of the polysaccharide was measured at 589 nm on a polarmeter (DIP-180, Jasco Com., Ltd., Tokyo, Japan) with a cell 5 cm in length for a 0.2% (W/V) solution in distilled water at room temperature.
2.6. 1H- and 13C-Nuclear Magnetic Resonance
The polysaccharide was dissolved in D2O and then freeze dried. The dried sample was dissolved again in D2O (2.0%, W/V) and the solution was examined in 5 mm o.d. tube. 1H- and 13C-NMR spectra were recorded on a α500 FT-NMR spectrometer (JEOL Co., Ltd, Japan) at 500.00 and 125.65 MHz, respectively. The purified polysaccharide was recorded at 70°C. The 1H-and 13C-NMR chemical shifts were expressed in parts per million (ppm) relative to the resonance of sodium 3-(trimethylsilyl) propionic-2,2,3,3-d4 acid (TSP, 0.00 ppm) as an internal standard [25] [32] [33] [34] .
2.7. Methylation Analysis
Methylation of the polysaccharide was carried out by the Hakomori method [35] . The methylated polysaccharide or locust bean gum was extracted with CHCl3.The extracted methylated polysaccharide was hydrolyzed with 2 M TFA (2 mL) at 120˚C for 2 h. The hydrolysate was dissolved in 1 M NH4OH (0.2 mL). DMSO (1 mL) containing 20 mg of NaBH4 was added and the mixture was incubated at 40˚C for 90 min. Subsequently acetic anhydride (0.2 mL) was added to the mixture. Anhydrous 1-methylimidazole (0.2 mL) and acetic anhydride (1 mL) were then added, and the reaction mixture was incubated at ambient temperature for 10 min. After extraction with chloroform and washing with water, partially methylated alditol acetates were obtained [25] .
The partially methylated alditol acetates of the polysaccharide were analyzed using a gas chromatograph (GC-14A; Shimadzu Corp., Kyoto, Japan) equipped with a flame ionization detector using a capillary column (DB-1: 40 m × 0.25 mm, J&W Scientific Inc., CA, U.S.A.). The injector and detector temperatures were 210˚C and 270˚C, respectively. After injection, the oven temperature was maintained at 150˚C for 5 min, and then raised at 5˚C /min to 250˚C. This temperature was maintained for 5 min. The identities of the peaks were confirmed using GC-MS (GCMS-QP 1000EX; Shimadzu Corp., Kyoto, Japan) under the same conditions. Locust bean gum was also methylated as a standard.
3. Results
3.1. Polysaccharide Preparation from Desmanthus illinoensis
D. illinoensis grows 0.5 to 1.0 m in height. Multiple stems grow from a woody caudex. As shown in Figure 2(a), the leaves are a twice pinnately compound. Ten to 15 pinnae have 15 - 25 leaflets. The brown pods (Figure 2(b)) are oblong and flat; their lengths are 3 to 4 cm longer than their widths. Several dark brown seeds (Figure 1(c)), which are 4 to 5 mm in diameter, are contained within a pod and were matured from August - September in Okinawa, Japan. The seeds of D. illinoensis were collected on the campus of the University of the Ryukyus, Nishihara, Okinawa, Japan. The polysaccharide was prepared and purified as described in the Materials and Methods section. The purified polysaccharide was a colorless, fibrous powder, with a yield of 5.5% (w/w) based on the dried powder.
Figure 2. Photographs of Desmanthus illinoensis, pods and seeds.
3.2. Identification of the Polysaccharide Sugar Components
The polysaccharide contained 93.5% (w/w) carbohydrate. As shown in Figure 3, the anion exchange high-performance liquid chromatography of the acid hydrolysate of the polysaccharide showed the presence of D-galactose (peak 1) and D-mannose (peak 2), the molar ratio of which was 1.0:0.82. The result indicates that the polysaccharide is a galactomannan. The molar ratio of a galactomannan from D. illinoensis collected in Tucson, Arizona, USA was reported to be 1.0 (D-gal):2.07 (D-man) [22] . However, the galactomannan collected in Okinawa, Japan had reversed molar ratio. It was reported that a galactomannan from Fenugreek (Trigonella foenum-graecum L.) also involved a reversed molar ratio with more D-galactose than D-mannose (1.0:0.86) [29] .
3.3. Molecular Mass
The molecular mass of the galactomannan isolated from D. illinoensis was determined by HPLC using a chromatograph on a column of Superdex 200 (Figure 4). According to the standard calibration curve obtained from the definite molecular mass pullulan, the molecular mass of the galactomannan was calculated to be approximately 1000 kDa.
3.4. FTIR Spectrum and Specific Rotation
Figure 5 shows spectra of the galactomannan and standard locust bean gum. An absorption at 3450 cm−1 was common to all the polysaccharides due to OH groups and an absorption at 2900 cm−1 was due to C-H stretching. Absorption common to galactomannan was observed in the range of 1245 - 1000 cm−1 suggesting that the monosaccharide of the molecules consists of a pyranose ring [25] [31] . Absorption at 814 cm−1 was attributed to α-D-galactopyranose [25] .
Figure 3. High-performance anion exchange chromatogram of hydrolysate of the polysaccharide isolated from D. illinoensis.
Figure 4. Gel chromatogram of the galactomannan isolated from D. illinoensis.
Figure 5. Infrared spectra of the galactomannan and locust bean gum at 4000 - 400cm−1.
Another absorption at 830 cm−1 was observed indicating that a different type of α-glycoside was co-involved. An absorption at 873 cm−1 was attributed to β-D-mannopyranose [25] . The galactomannan spectrum was consistent with that of locust bean gum (Figure 5) over wide range of wave numbers, except at 830 cm−1.
The specific rotation [α]589 of the galactomannan (0.2%) was measured at 589 nm on a polarimeter at room temperature and estimated to be a value of +53.8˚ (H2O). The result suggests that the polysaccharide was substituted with many side chains as in Leucaena gum (+45˚) [23] , because few branched locust bean gum [2] and Delonix gum [25] existed, which were at +22˚ and +15˚, respectively.
3.5. 1H- and 13C-NMR Spectra Analysis
Chemical shifts in the 1H-NMR spectrum is shown in Figure 6. The chemical shift of the anomeric signals of 1H-NMR are consistent with the presence of terminal α-D-galactopyranose (5.04 ppm) and β-D-mannopyranoses (4.77 ppm) main chain. Another small signal at 5.09 ppm appears to be 1,6-linked α-D-galactose residue [36] . The result suggests that terminal α-D-galactopyranose (5.04 ppm), 1,6-linked-α-D-galactopyranose (5.09 ppm) and 1,4-linked β-D-mannopyranose (4.77 ppm) are involved in the galactomannan molecule. From the proportion of anomeric signals, ratio of D-gal to D-man, 1.0:0.82, was observed, which was in agreement with that chemical analysis results (Figure 3). A signal at H-5 of β-D-mannpyranose without substituting side chain (3.57 ppm) was very small, but H-5’ (3.76 ppm) with a side chain was very large suggesting that most of the β-D-mannopyranose residues substituted with α-D-galactopyranosyl side chains. The signals at H-6 of α-D-galactopyranose and β-D-mannopyranose were assigned at 3.77 and 3.76 ppm [28] [29] , respectively. The ring proton signals (H-2 to H-5)
Figure 6. 1H-NMR spectra of the galactomannan at 70˚C.
of 1,6-linked α-D-galactopyranose residue might be overlapped with those of the terminal sample. From previous research [25] [28] [29] , it was determined that most ring protons were assigned and summarized as in Table 1.
Well-resolved 13C-NMR signals were observed and shown in Figure 7. From previous research [26] [28] [29] , the anomeric signal at 102.94 ppm and 101.68 ppm was assigned to 1,4-linked β-D-mannopyranose and terminal α-D-galactopyranose residue, respectively. Another anomeric signal at 101.07 ppm may be 1,6-linked α-D-galactopyranose moiety [36] . The signal of methylene carbon (C-6) at 64.04 ppm was assigned to terminal D-galactopyranose. The β-D-mannopyranose residues substituted with terminal α-D-galactose or 1,6-linked α-D-galactose at C-6 were assigned at 69.42 and 69.02 ppm [25] [28] [29] , respectively, but no signal was observed without branching β-D-mannopyranose at 64 ppm [25] . This suggests that most β-D-mannopyranose residues are substituted with α-D-galactopyranose or 1,6-linked α-D-galactopyranose side chain at C-6. From the published papers [25] [28] [29] , all carbon signals of the galactomannan were assigned and summarized as in Table 1. The 1H- and 13C-NMR spectra were in agreement with those of published fenugreek gum [28] [29] .
3.6. Methylation Analysis
The galactomannan was methylated according to the procedure described by
Figure 7. 13C-NMR spectra of the galactomannan at 70˚C.
Table 1. Chemical shifts of the 1H- and 13C-NMR spectra of the galactomannan from seeds of D. illinoensis.
*1,6-linked D-galactopyranose; **β-D-mannospyranose substituted with terminal α-D-Galactopyranose at C6; ***β-D-mannopyranose substituted with 1,6-linked α-D-galacto-disaccharide at C6.
Hakomori [35] . The obtained permethylated polysaccharide was subjected to complete acid hydrolysis to furnish mixtures of methylated sugars, which were analyzed as the corresponding alditol acetates using gas-liquid chromatography (GC) and combined gas-liquid chromatography/mass spectrometry (MS). The Gas chromatogram and mass spectroscopic data are shown in Figure 8 and Figure 9. Partially methylated alditol acetates were identified using published data [25] [37] [38] . Three peaks were observed in Figure 8 and corresponding mass spectrum patterns were shown in Figure 9. From previous research [27] [29] [30] , peak 1,2 and 3 were identified as 1,5-di-O-acetyl-2,3,4,6-tetra-O-methyl-D-galactose,
Figure 8. Gas chromatogram of partially methylated alditol acetates of the galactomannan.
Figure 9. Mass spectra patterns (a) and corresponding structure (b) of partially methylated alditol acetates of the galactomannan. *Number in Figure 8.
1,5,6-tri-O-acetyl-2,3,4-tri-O-methyl-D-hexose and 1,4,5,6-tetra-O-acetyl-2,3-di-O-methyl-D-mannose, respectively. The peak 2 had a slightly longer retention time (1.15) than that of standard locust bean gum (1.12) (not shown in the figure). Furthermore, the chemical analysis (Figure 3) indicated a smaller amount of D-mannose (molar ratio, 0.82) was estimated than of D-galactose (1.0). Thus, peak 2 was identified as 1,5,6-tri-O-acetyl-2,3,4-tri-O-methyl-D-galactose. As mentioned above, a very small amount of D-mannose without side chain was assigned in 1H-NMR (Figure 6). In contrast, a small amount of 1,6-linked D-galactose was detected in 1H (5.09 ppm) and in the 13C(101.07 ppm)-NMR spectra (Figure 6 and Figure 7). Thus, peak 2 was identified as 1,5,6-tri-O-acetyl-2,3,4-tri-O-methyl-D-galactose (Figure 9) [37] [38] . The molar ratio of peak 1, 2 and 3 were estimated to be 3.3, 1.0 and 3.1, respectively. The results were summarized in Table 2.
4. Discussion
This study presents an investigation of galactomannan isolated from Desmanthus illinoensis which was grown in Okinawa, Japan. From HPAEC, D-galactose and D-mannose was identified with a molar ratio was 1.0:0.82. A small amount of D-mannose was in contrast with previous studies on galactomannans [22] - [28] , except that of fenugreek gum [29] . The result suggested that the galactomannan substituted many side chains. The galactomannan dissolved in distilled water even at room temperature (25˚C) due to presence of many side chains.
The signals in the infrared spectrum at 814 and 830 cm−1, that were the first demonstration ever reported, were attributed to two types of α-D-galactose sidechains.
Furthermore, high specific rotation (+53.8˚) also supported that the galactomannan was substituted with many side chains. The 1H- and 13C-NMR spectra of the galactomannan were in good agreement with those fenugreek gum which was a highly branched galactomannan where α-D-galactose residues were involved as mono or 1,4-linked disaccharide side chains [29] ,
The structure of side chains of fenugreek gum was identified by 2D NMR spectra without methylation analysis. However, we identified 1,6-linked α-D-galactose disaccharide side chain via methylation analysis. Indeed, 1H-and 13C-NMR analysis agreed with the results from methylation analysis. The corresponding signals for 1,6-linkage was assigned at 5.09 ppm and 101.07 ppm.
Table 2. Methylation analysis of the galactomannan isolated from D. illinoensis.
*In Figure 8.
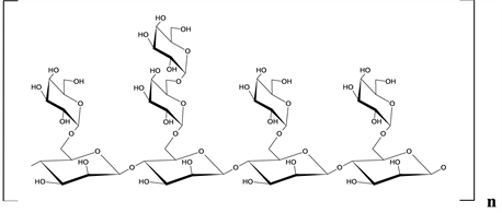
Figure 10. Chemical structure of the galactomannan isolated from D. illinoensis.
The terminal D-galactose (molar ratio, 3.3), 1,6-linked D-galactose (1.0) and 1,4,6-linked D-mannose branching at C-6 (3.1) residues were identified by methylation analysis. The results of NMR (1H- and 13C-) and methylation analyses were in good agreement with that of infrared spectroscopy. Thus, the galactomannan comprises a 1,4-lined β-D-manopyranoside main chain connected with mono α-D-galactopyranose or 1,6-linked α-D-galactopyrano-disaccharide side chains at C-6 on the main chain.
The galactomannan could be used as a substitute for guar gum [3] . Synergistic interaction between xanthan and the galactomannan from D. illinoensis is now in progress.
5. Conclusion
The combination of infrared spectroscopy, NMR (1H- and 13C-) spectroscopy, and methylation analysis confirms the polysaccharide isolated from Desmanthus illinoensis is an unusual highly branched galactomannan. As the molar ratio of D-galactose to D-mannose is 1.00:0.82, the chemical structure of the galactomannan, nano-saccharide repeating unit, is illustrated in Figure 10. This study is the first to report on galactomannan involving 1,6-linked α-D-galacto-disaccharide sidechains in addition to α-D-galactose mono side chains at C6 of β-D-mannan mainchain.
Acknowledgements
The authors thank Makoto Kishino for his technical assistance.
Tako, wishes to thank the late Professor Danji Nomura his supervisor in the Doctoral Course in Food Science and Technology of Kyushu University for encouraging discussions about Nobel Laureate Hans von Euler-Chelpin (Chemistry, 1929). Emil Fischer, van’t Hoff, Max Planck, Hermann Nernst and Svante Arrhenius were influential in this work as professors of von Euler at Berlin, Gottingen and Stockholm Universities. The study of the structure-function relationship of polysaccharides first began when listening to the First Movement of Piano Sonata No. 14 Op. 27-2 “Moon Light” composed by Ludwig van Beethoven on July 16th, 1973.
Cite this paper
Tako, M., Tamaki, Y. and Teruya, T. (2018) Discovery of Unusual Highly Branched Galactomannan from Seeds of Desmanthus illinoensis. Journal of Biomaterials and Nanobiotechnology, 9, 101-116. https://doi.org/10.4236/jbnb.2018.92009
References
- 1. Tako, M., Nagahama, T. and D. Nomura. (1977) Flow Properties and Dynamic Viscoelasticity of Viscous Polysaccharide Produced by Coryneform Bacteria Strain C-8. Nippon Nogeikagaku Kaishi, 51, 397-403. (In Japanese) https://doi.org/10.1271/nogeikagaku1924.51.6_397
- 2. Tako,, M., Asato, A. and Nakamura, S. (1984) Rheological Aspects of Intermolecular Interaction between Xanthan and Locust Bean Gum in Aqueous Media. Agricultural and Biological Chemistry, 48, 2995-3000.
- 3. Tako, M. and Nakamura, S. (1985) Synergistic Interaction between Xanthan and Guar gum. Carbohydrate Research, 138, 207-213. https://doi.org/10.1016/0008-6215(85)85104-1
- 4. Tako, M. (1991) Synergistic Interaction between Xanthan and Tara-Bean Gum. Carbohydrate Polymers, 16, 239-252.
- 5. Tako, M. and Nakamura, S. (1986) Synergistic Interaction between κ-Carrageenan and Locust Bean Gum in Aqueous Media. Agricultural and Biological Chemistry, 50, 2817-2822.
- 6. Tako, M. and Nakamura, S. (1988) Synergistic Interaction between Agarose and D-Galacto-D-Mannan in Aqueous Media. Agricultural and Biological Chemistry, 52, 1071-1072.
- 7. Tako, M. and Nakamura, S. (1986) Synergistic Interaction between Xanthan and D-Galacto-D-Mannan. FEBS Letters, 204, 33-36. https://doi.org/10.1016/0014-5793(86)81382-5
- 8. Tako, M. (1991) Synergistic Interaction between Deacylated Xanthan and Galactomannan. Journal of Carbohydrate Chemistry, 10, 619-633. https://doi.org/10.1080/07328309108543936
- 9. Tako, M. (1992) Molecular Origin for Rheological Characteristics of Xanthan Gum. ACS Symposium Series, 489, 268-281. https://doi.org/10.1021/bk-1992-0489.ch017
- 10. Pakdee, P., Tako, M., Yokohari, T., Kinjyo, K., Hongo, F. and Yaga, S. (1995) Synergistic Interaction between Xanthan and Galactomannan Isolated from Leucaena leucocephala de Wit. Journal of Applied Glycoscience, 42, 105-113.
- 11. Tako, M., Teruya, T., Tamaki, Y. and Ohkawa, K. (2010) Co-Gelation Mechanism of Xanthan and Galactomannan. Colloid and Polymer Science, 288, 1161-1166. https://doi.org/10.1007/s00396-010-2242-6
- 12. Jansson, P.-E., Kenne, L. and Lindberg, B. (1975) Structure of the Extracellular Polysaccharide from Xanthomonas campestris. Carbohydrate Research, 45, 275-282. https://doi.org/10.1016/S0008-6215(00)85885-1
- 13. Tako, M., Nagahama, T. and Nomura, D. (1977) Non-Newton Behavior and Dynamic Viscoelasticity of Xanthan Gum. Nippon Nogeikagaku Kaishi, 51, 513-518. (In Japanese) https://doi.org/10.1271/nogeikagaku1924.51.8_513
- 14. Tako, M. (1993) Binding Sites for D-Mannose-Specific Interaction between Xanthan and Galactomannan, and Glucomannan. Colloid and Surfaces B Biointerfaces, 1, 125-131. https://doi.org/10.1016/0927-7765(93)80043-X
- 15. Tako, M. and Nakamura, S. (1986) Indicative Evidence for a Conformational Transition in κ-carrageenan from Studies of Viscosity-Shear Rate Dependence. Carbohydrate Research, 155, 200-205. https://doi.org/10.1016/S0008-6215(00)90146-0
- 16. Tako, M., Nakamura, S. and Kohda, Y. (1987) Indicative Evidence for a Conformational Transition in ι-carrageenan. Carbohydrate Research, 161, 247-253. https://doi.org/10.1016/S0008-6215(00)90081-8
- 17. Tako, M. and Nakamura, S. (1988) Gelation Mechanism of Agarose. Carbohydrate Research, 180, 277-284. https://doi.org/10.1016/0008-6215(88)80084-3
- 18. Tako, M. (2000) Structural Principles of Polysaccharide Gels. Journal of Applied Glycoscience, 47, 49-53. https://doi.org/10.5458/jag.47.49
- 19. Tako, M. (2015) The Principle of Polysaccharide Gels. Advances in Bioscience and Biotechnology, 6, 22-35. https://doi.org/10.4236/abb.2015.61004
- 20. Tako, M. and Hizukuri, S. (2002) Gelatinization Mechanism of Potato Starch. Carbohydrate Polymers, 48, 397-401. https://doi.org/10.1016/S0144-8617(01)00287-9
- 21. Tako, M., Tamaki, Y., Teruya, T. and Takeda, Y. (2014) The Principles of Starch Gelatinization and Retrogradation. Food and Nutrition Science, 5, 280-291. https://doi.org/10.4236/fns.2014.53035
- 22. Anderson, E. (1948) Endosperm Mucilages of Legumes. Industrial and Engineering Chemistry, 41, 2887-2890. https://doi.org/10.1021/ie50480a056
- 23. Pakdee, P., Kinjyo, K., Tako, M., Tamaki, Y., Tomita, Y. and Yaga, S. (1995) Water-Soluble Polysaccharide from Seeds of Trees I. Galactomannan from Seeds of Leucaena leucocephala de WIT. Mokuzai Gakkaishi, 41, 440-443.
- 24. Chaubey, M. and Kapoor, V.P. (2001) Structure of Galactomannan from the Seeds of Cassia angustifolia Vahl. Carbohydrate Research, 332, 439-444. https://doi.org/10.1016/S0008-6215(01)00104-5
- 25. Tamaki, Y., Teruya, T. and Tako, M. (2010) The Chemical Structure of Galactomannan Isolated from Seeds of Delonix regia. Bioscience, Biotechnology and Biochemistry, 74, 1110-1112. https://doi.org/10.1271/bbb.90935
- 26. Pollard, M.A., Fischer, P. and Windhab, E.J. (2011) Characterization of Galactomannan Derived from Legume Endosperms of Genus Sesbani (Faboideae). Carbohydrate Polymers, 84, 550-559. https://doi.org/10.1016/j.carbpol.2010.12.019
- 27. Pawar, H.A. and Lalitha, K.G. (2014) Isolation and Characterization of Galactomannans as an Excipient from Senna tora Seeds. International Journal of Biological Macromolecules, 65, 167-175. https://doi.org/10.1016/j.ijbiomac.2014.01.026
- 28. Ramesh, H.P., Yamaki, K., Ono, H. and Tsushida, T. (2001) Two-Dimensional NMR Spectroscopic Studies of Fenugreek (Trigonella foenum-graecum L.) Galactomannan without Chemical Fragmentation. Carbohyrate Polymers, 45, 69-77. https://doi.org/10.1016/S0144-8617(00)00231-9
- 29. Mushin, T. and Yoshida, T. (2012) Structural Analysis of Galactomannans by NMR Spectroscopy. Carbohydrate Polymers, 87, 1893-1898. https://doi.org/10.1016/j.carbpol.2011.08.059
- 30. Dubois, M., Gilles, K.A., Hamilton, J.K., Rebers, P.A. and Smith, F. (1956) Calorimetric Method for Determination of Sugars and Related Substances. Analytical Chemistry, 28, 350-356. https://doi.org/10.1021/ac60111a017
- 31. Tako, M., Dobashi, Y., Shimabukuro, J., Yogi, T., Uechi, K., Tamaki, Y. and Konishi, T. (2013) Structure of a Novel α-glucan Substitute with the Rare Deoxy-D -Altrose from Lactarius lividatus (Mushroom). Carbohydrate Polymers, 92, 2135-2140. https://doi.org/10.1016/j.carbpol.2012.11.010
- 32. Tako, M., Tamanaha, M., Tamashiro, Y. and Uechi, S. (2015) Structure of Ulvan Isolated from the Edible Green Seaweed, Ulva pertusa. Advances in Bioscience and Biotechnology, 6, 645-655. https://doi.org/10.4236/abb.2015.610068
- 33. Tako, M., Ohtoshi, R., Kinjyo, K. and Uechi, S. (2016) The Novel Pyruvated Glucogalactan Sulfate Isolated from the Red Seaweed, Hypnea pannosa. Advances in Biological Chemistry, 6, 114-125. https://doi.org/10.4236/abc.2016.63010
- 34. Tamaki, Y., Konishi, T., Fukuta, M. and Tako, M. (2008) Isolation and Structural Characterization of Pectin from Endocarp of Citrus depressa. Food Chemistry, 107, 352-364. https://doi.org/10.1016/j.foodchem.2007.08.027
- 35. Hakomori, S. (1964) A Rapid Permethylation of Glycolipid, and Polysaccharide Catalyzed by Methylsulfinyl Carbanion in Dimethyl Sulfoxide. Journal of Biochemistry, 55, 205-208.
- 36. Ye, L., Zhang, J., Ye, X., Tang, Q., Liu, Y.F., Gong, C.Y., Du, X. and Pan, Y. (2008) Structural Elucidation of the Polysaccharide Moiety of a Glycopeptide (GLPCW-II) from Ganoderma lucidum Fruiting Bodies. Carbohydrate Research, 343, 746-752. https://doi.org/10.1016/j.carres.2007.12.004
- 37. Jansson, P.-E., Kenne, L., Liedgren, H., Lindberg, B. and Lonngren, J. (1976) A Practical Guide to the Methylation Analysis of Carbohydrate. Chemistry Communication, 8, 1-74.
- 38. Sassaki, G.L., Gorin, P.A.J., Souza, L.M., Czelusniak, P.A. and Iakomini, M. (2003) Rapid Synthesis of Partially O-methylated Alditol Acetat Standards for GC-MS: Some Relative Activities of Hydroxyl Groups of Methyl Glucopyranosides on Purdie Methylation. Carbohydate Research, 340, 731-739. https://doi.org/10.1016/j.carres.2005.01.020
NOTES
*A part of paper presented at the 35th Annual Meeting of the Japanese Society of Carbohydrate Research, Kochi, Japan, September 1-3, 2016; the 19th European Carbohydrate Symposium, Barcelona, Spain, July 2-6, 2017.












