Agricultural Sciences
Vol.10 No.04(2019), Article ID:91676,25 pages
10.4236/as.2019.104036
Effects of Meteorological Factors on the Yield and Quality of Special Rice in Different Periods after Anthesis
Ying Xuan1, Yang Yi1, He Liang1, Shanqing Wei1, Ligeng Jiang1,2*, Izhar Ali1, Saif Ullah1, Quan Zhao1
1Agricultural College, Guangxi University, Nanning, China
2Collaborative Innovation Center of Southern Grain and Oil Crops, Hunan Agricultural University, Changsha, China

Copyright © 2019 by author(s) and Scientific Research Publishing Inc.
This work is licensed under the Creative Commons Attribution International License (CC BY 4.0).
http://creativecommons.org/licenses/by/4.0/



Received: February 12, 2019; Accepted: April 7, 2019; Published: April 10, 2019
ABSTRACT
In order to investigate the effect of meteorological factors on the yield and quality of special rice during the filling stage, an experiment was conducted with 10 special rice varieties which were planted in three different regions during spring 2017. The results showed that the quality traits and yields from different regions of the same variety were different, which reached up to a significant level in most varieties. Among the quality traits, the grain chalkiness rate and chalkiness degree were the most sensitive to different climatic factors, and changes were found among them in different regions, while minor variation was found between brown rice rate and white rice rate. The parameters that were severely affected by temperature were gel consistency, gelatinization temperature, brown rice rate and yield during the filling stage. The critically affected factors by heat were brown rice rate, protein content, essential amino acid and amylose content while brown rice rate, chalkiness rate and gelatinization temperature were substantially affected by water factors. Grain yield and quality were closely related to meteorological factors on different stages after heading. Our results revealed that yield and quality of special rice were significantly influenced by meteorological factors during the grain filling stage.
Keywords:
Noodle Rice, Feed Rice, Meteorological Factors, Quality, Yield

1. Introduction
Rice is one of the most important feed crops in the world. Diversity is found in the use of rice with the development of social economy. However, it is still considered the staple food of half of the world’s population and an important raw material for food, feed processing, and brewing. The quality standards of rice for different uses are different in China, the quality of rice used as grain can be evaluated in terms of appearance quality, processing quality, cooking quality, nutrition and hygienic quality. The chalkiness rate and chalkiness degree seriously affect the appearance quality of rice, which is closely related to the price of rice market, which requires less chalkiness and high transparency [1] [2] . The accessions with high eating quality show an overall trend toward low amylose content and low protein content, if rice with high protein content has inferior palatability [3] [4] . As a feed processing, raw material requires suitable growth period, high yield, high protein content and high brown rice rate, etc. [5] . Processing of rice material for making of rice flour, many studies have concluded that instant rice noodles produced by the rice varieties with high amylose content have good cooking characteristics [6] . The rice with high amylose content and high protein content has better quality and is suitable for processing rice noodles [7] .
The predecessors have conducted a deep and extensive research on the relationship between the quality of edible rice and environmental factors. Yin Yanbo [8] noticed that brown rice rate and white rice rate had a negative correlation with temperature during the grain filling stage. However, Lin Hongxin [9] recorded that low temperature leads to lower white rice rate and amylose content, higher chalkiness rate, chalkiness degree and protein content during the filling stage. Many studies concluded that the increases in temperature increase chalkiness rate and chalkiness degree [10] [11] [12] [13] . Cheng Fangmin [14] found that the daily average temperature during grain filling had a greater influence on rice protein content. Dai Yunyun’s [11] studies showed that the increase in temperature will increase the rice protein content during grain filling. Tang Xiangru [15] stated that an increase in temperature hardens the gel consistency during grain filling stage. While Li Xin [16] observed that the gel consistency tends to soften with increase in temperature during grain filling stage. Gomez [17] showed that rice amylose content generally increased with the increasing temperature during grain filling period. On the contrary, Dong Wenjun [10] found that high temperature during the filling period reduces the amylose content. The study by Asaoka [18] also showed that rice amylose content decreased with increase in temperature. In the experiment of different sowing dates, Peng Bo [19] found that the sowing date and the corresponding temperature changed during the filling period had no significant effect on the amylose content of Japanese “Golden” rice.
The temperature during grain filling stage has a great influence on rice amylose content and effected yield at different periods. Zhang Yunfeng [20] concluded that the difference in amylose accumulation was in the early grain filling stage, that is, 3 - 6 days after flowering. The rapid accumulation of amylose and amylopectin was in 3 - 12 days after flowering in which initial 6 days after flowering was a linear growth period, when meteorological factors had a certain influence on the formation and accumulation of amylose. Jia Zhikuan [21] reported that the higher temperature was harmful for the accumulation of amylose in the first 18 days in grain filling stage, after 18 days it was conducive to the accumulation. Yang Jimin stated that the temperature had a significant effect on rice amylose formation in initial 20 days after heading, rather than the whole grain filling period. Asaoka [18] considered that the level of amylose content is quite dependent on the average temperature of 5 - 15 days after heading. Ahmed [22] showed that high temperatures lead to decreased activity of sucrose synthase, ADP-glucose pyrophosphorylase, starch phosphorylase and soluble starch synthase, which lead to a decrease in total starch and amylose content of rice.
Research on the quality of noodle rice and feed rice is increasing. Zhong Yueyi [23] selected the noodle rice variety Jinyou L2 in Jiangxi and studied its high-yield cultivation measures. Wang Xuehua [24] conducted a research on noodle rice variety screening and supporting cultivation techniques in Hunan; Wu Chengchun [25] studied two kinds of chemical regulators, which regulate (increase or decrease) the rice amylose content by affecting the distribution of flag leaf assimilation products and the accumulation of sucrose and starch in rice grains. Min Jun [26] studied the differences in noodle rice quality (amylose content, gel consistency and gelatinization temperature) between regions. Studies have shown that amylose content and gelatinization temperature are significantly different between regions, while gel consistency is mostly same among different regions. For feed rice, most of researchers focused on the study of silage quality, different varieties yield, brown rice rate and crude protein content [27] [28] .
The formation process of rice quality is essentially the process of grain filling and development. The filling of rice grains generally shows slow, fast and slow changes. The process can be mathematically simulated by Logistic or Richards’s equation [29] [30] . Moreover, the basic structure of the ear of rice determines that the top and base of the flowering and grain filling are not synchronized in time. On the other hand, the formation of different quality traits also has a chronological order. It is assumed that the relationship between the rice quality traits and the meteorological factors during the grain filling period also varies with the quality trait factors and the post-flowering time. Rice flour is a traditional staple food and is widely welcomed in southern China. In Guangxi, in September 2015, the preparation of Guangxi specialty rice noodle production specifications and the evaluation of Guangxi rice noodle demonstration store were started in the whole district, and the “Hometown of Rice Noodles” brand was further established. In Hunan, rice flour is also popular among consumers. The statistics of Changsha Rice Flour Distribution Association show that Changsha people consume 200 tons to 250 tons of rice flour per day on average. There is more rice in the south, but early indica rice is difficult to sell, and the shortage of feed ingredients needs to be transferred from the north. Scientific practice proves that high protein feed rice brown rice can completely replace corn to feed pigs and raise chickens. This will not only solve the problem of early indica rice difficulty to sell but also promote rice transformation and animal husbandry development. Then noodle rice and forage rice are first proposed by Hunan Province. Jiangxi rice noodles are of good quality and are exported to more than 20 countries and regions such as the United States, Canada, Australia, the European Union, and Hong Kong, China, of which Hong Kong has a market share of 60%. All in all, Guangxi, Hunan and Jiangxi are the major provinces of rice flour, feed processing and consumption in China. Therefore, in this experiment 10 early indica rice noodle rice and feed rice varieties were selected among rice varieties in Guangxi, Hunan and Jiangxi province, and examined them in these three experimental sites. Analysis was made to study the relationship between each quality trait and post-earning meteorological factors. In this way, the meteorological factors affecting the individual quality traits of the special rice varieties and the post-flowering time are clearly analyzed.
2. Materials and Methods
2.1. Study Sites
The study was conducted in three different provinces of China in 2017 and was carried out from March to August in Nanning of Guangxi province (E108˚22', N22˚48'), Hengyang of Hunan province (E112˚21', N26˚58'), and Nanchang of Jiangxi province (E115˚56', N28˚32').
2.2. Testing Varieties
Ten varieties, which six varieties were noodle rice (Zhenguiai, Zhongzao39, Zhongzu4, E477, E334 (Conventional rice) and Guiliangyou2 (Hybrid rice)), and four varieties were feed rice (Xiangzaoxian24, Xiangzaoxian32 (Conventional rice), Zhuliangyou819 and Luliangyou996 (Conventional rice)).
2.3. Experimental Design
The experiment was designed as randomized complete block (RCB) design having three replications a total of 30 plots. The row and plant spacing were 30 cm × 13 cm, the plot area was 12.5 m2 (2.4 m × 5.2 m), 8 rows per plot, 40 hills per row, 3 seedlings per hill, a total of 960 seedlings per plot were transplanted. There was no aisle between the plots, but had a 60 cm walkway between replications. Sowing and transplanting were made according to the climatic conditions of each experimental site. Among them, in Nanning, sowing was done on March 10 and the seedlings were transplanted on April 9; in Hengyang, sowing was on March 25 and transplanting was on April 24; in Nanchang, sowing was on March 28 and transplanting was on April 29. The total amount of fertilizer applied was 330 kg∙ha−1 of urea, 495 kg∙ha−1 of superphosphate and 300 kg∙ha−1 of potassium chloride. Urea was applied in 3 different splits, 50% at transplanting, 30% at tillering and 20% at panicle initiation stage. Superphosphate was applied at once as a basal fertilizer. Potassium chloride was applied on 2 different stages, 50% as base fertilizer and 50% at panicle initiation stage. Other agronomic practices were kept same for all treatments. The crop was harvested after physiological maturity when the grains were dried and then kept it for 3 months to determine quality traits of rice. The sowing date, transplanting date, days to heading and days to maturity were recorded during the study. Meteorological data was obtained from an automatic weather station (model VP2-1612) installed near the test site.
2.4. Parameters and Methods
2.4.1. Brown Rice Rate and White Rice Rate
100 g rice samples from each plot were shelled using the glutinous rice machine and grinded them into brown rice. The white rice was obtained from brown rice processed with a small rice miller (Kett, Pearlest) made in Japan. The calculation formula is:
Brown rice rate (%) = (brown rice/grain sample) × 100, white rice rate = (polished rice/brown rice sample) × brown rice rate.
2.4.2. Appearance Quality of Rice
The chalkiness degree and chalkiness rate of rice was measured by Wanshen SC-E rice appearance quality inspection and analysis system (Hangzhou of China).
2.4.3. Cooking Quality of Rice
The white rice was milled by a super high-speed pulverizer, then powder was passed through a 100 mesh sieves. The amylose content was determined according to the method of GB/T 15683-1995 [31] , and the gel consistency was determined according to the method of GB/T 22294-2008 [32] . The gelatinization temperature is expressed by alkali value and was determined according to the method of the NY/T 593-2013 [33] , Ministry of Agriculture, China.
2.4.4. Nutritional Quality of Rice
The brown rice was milled by an ultra-high speed pulverizer and then powder was passed through 60 and 80 mesh sieves. Total nitrogen contents of rice grains were determined according to Ginning and Hibbard’s method of sulphuric acid using 60 mesh sieves powder of rice grains. Digestion and distillation were made into saturated boric acid solution by Microkjeldahl’s apparatus. The percentage of protein was calculated by multiplying the grain N content with a constant factor of 5.95 [34] .
For Amino acid determination, brown rice powder which passed through 80 mesh sieves was used to hydrolyze by acid hydrolysis. The sample 1.00 g was put into a plug hydrolyzed tube then add 10 ml of 6 mol/L HCl, mixed and covered; then hydrolysis tube was placed in the refrigerator for 10 min. Vacuuming to 7 Pa, filling with nitrogen for 2 - 3 min, capping; put hydrolyzing tube into oven, set on temperature 110˚C for 22 h, shaken the hydrolysate tube intermittently, so that the sample is fully hydrolyzed. Took out the samples after 22 h later, when cooling, samples were filtrated and constant volume to 50 ml capacity. Took 1 ml of the filtrate into a 100 ml small beaker, then putted it in a 60˚C water bath, when it dried, added 1 ml of distilled water and repeated to evaporate once to complete the acid volatilization; added 0.02 mol/L HCl to dissolve and dilute to 10 ml, it was filtered into a brown sample bottle with a 0.22 μm water filter, and then measured by a Hitachi L-8900 high-speed automatic amino acid analyzer.
2.5. Data Analysis
The data were statistically analyzed by using SPSS 21.0 [35] analytical software. The means between the treatments were tested by least significant difference test at 0.05 probability level for those parameters which were significantly different at 5% level of probability.
3. Results
3.1. Growth Period and Yield
Table 1 shows the significant difference for growth period among the varieties, the longest growth period was recorded in 8 varieties (Z1, G2, E477, E334, X24, X32, Z819 and L996) at Hengyang while the shortest growth period was noticed in Z39 at Hengyang. And the longest growth period was observed in Z4 at Nanchang. The result showed that there are significant differences in the response of the growth period of different special rice varieties to temperature and light.
The yield of the same variety was different among different experimental sites except (Z39, Z4, and Z819) which were found non-significant on three experimental sites (Table 1). The grain yield of other varieties was found significant.
Table 1. Analysis of growth period and yield of special rice in three experimental sites.
Note: Z1 is Zhenguiai1, G2 is Guiliangyou2, Z39 is Zhongzao39, E334 is E334, E477 is E477, Z4 is Zhongzu4, X24 is Xiangzaoxian24, X32 is Xiangzaoxian32, Z819 is Zhuliangyou819, and L996 is Luliangyou996. Lowercase indicates the difference significance among different places at 0.05 levels. The same as below.
3.2. Grain Quality
Table 2 shows that brown rice rate of Z1, G2, E477, and Z4 had significant differences in different experimental sites. E477, Z4, X24, Z819, L996 revealed s significant white rice rate difference in different experimental sites. A significant variation was found in the chalkiness degree of all varieties on all test sites except Z39. Amylose content, gelatinization temperature, protein and essential amino acids of the same variety at different test points was also various among the varieties (Table 2 continued).
For starch content of Z1, G2, Z39, E334, X32 and L996, for gelatinization temperature Z1, G2, Z39, Z4, X24, X 32, and L996, while for protein content G2, E334, Z 4, X 32, and L996 were significant differences between the experimental sites. The essential amino acid contents resulted significant alterations for Z1, Z39, Z4, X32 and Z819 among the experimental sites. All the above results showed that the quality of different special rice varieties is different for temperature and light.
Table 2. Grain quality of special rice in three experimental sites.
3.3. The Changes in Meteorological Factors during the Growth of Special Rice
Figure 1 shows the alteration of meteorological factors during the growth of special rice. It is recorded that during special rice growth, the daily average, maximum and minimum temperature fluctuated, and this daily temperature difference varied between 7.8˚C - 35.5˚C, 9.2˚C - 39.6˚C, 4.4˚C - 31.3˚C, 0.6˚C - 19.0˚C respectively. Rainfall was mainly in June. The air humidity ranged between 40% and 95%, with large fluctuations during the day, but this fluctuation during special rice growth was relatively small. The daily radiation amount fluctuates between 600 W/m2 - 12,000 W/m2, and the fluctuation range before and after rice growth period was large.
Changes in meteorological factors during special rice growth period showed large differences among three test sites. The maximum temperature in the Nanning test site in March, June and July was significantly higher than the Hengyang and Nanchang test site. After July, the daily minimum temperature in Nanchang site was significantly higher than that in Nanning and Hengyang. Before July, the average temperature of the Nanning test site was significantly higher than that of the Hengyang and Nanchang test sites, and the average daily temperature in Nanchang increased to the highest after July. Hengyang’s daily average temperature difference was the highest among the three sites. The daily solar radiation in Nanning was the lowest, mostly below 5000 W/m2, while the solar radiation in Hengyang and Nanchang was significantly higher than that in Nanning.
Figure 1. Fluctuation of meteorological factors during the growth of special rice varieties.
Especially after July, the solar radiation in Hengyang and Nanchang was significantly higher than Nanning test site, Nanchang’s solar radiation even up to 10,000 W/m2.
3.4. Relationship between Yield, Quality of Special Rice and Meteorological Factors during Grain Filling
In order to further clarify the relationship between yield, quality and meteorological factors of the special rice, the varieties with single traits showed a significant differences on all the three test sites were selected, and then the relationship between the traits and the meteorological factors during the whole filling stage (heading to maturity) was plotted (Figure 2). Amylose content, essential amino acid, brown rice rate and polished rice rate were negatively correlated with maximum temperature. The gelatinization temperature, gel consistency, protein content, chalkiness rate, chalkiness degree and yield were positively correlated with maximum temperature of the day. In an appropriate range, as the maximum temperature of the day became higher, the rice quality about amylose content, essential amino acid, brown rice rate and polished rice rate were lower, but the rice quality about gelatinization temperature, gel consistency, protein content, chalkiness rate, chalkiness degree and yield were higher.
The relationship between yield, quality of special rice and the minimum temperature at the grain filling stage is shown in Figure 3. The results revealed that the daily minimum temperature was negatively correlated with amylose content,
Figure 2. The relationship between grain yield, quality of special rice varieties and daily maximum temperature during grain filling period.
Figure 3. The relationship between grain yield, quality of special rice varieties and daily minimum temperature during grain filling period.
protein content, essential amino acid, brown rice rate and polished rice rate, but gelatinization temperature, gel consistency, chalkiness degree, chalkiness and yield were positively correlated with minimum temperature. In an appropriate range, when the daily minimum temperature became higher, as the rice quality about gelatinization temperature, gel consistency, chalkiness degree, chalkiness and yield were higher, while the rice quality about amylose content, protein content, essential amino acid, brown rice rate and polished rice rate were lower.
The relationship between the yield, quality of the special rice and the daily average temperature during the filling period is shown in Figure 4. The statistical analysis of the data showed that daily average temperature during grain filling period was negatively correlated with amylose content, protein content, essential amino acid, brown rice rate and polished rice rate, but it was positively correlated with gelatinization temperature, gel consistency, chalkiness degree and yield. In an appropriate range, when the daily average temperature became higher, as the rice quality about gelatinization temperature, gel consistency, chalkiness degree and yield were higher, while the rice quality about amylose content, protein content, essential amino acid, brown rice rate and polished rice rate were lower.
The relationship between yield, quality of the special rice and the daily temperature difference during the filling period is shown in Figure 5. It is indicated that the daily temperature difference during grain filling was negatively correlated with amylose content and brown rice rate, but positively correlated with
Figure 4. The relationship between grain yield, quality of special rice varieties and daily average temperature during grain filling period.
Figure 5. The relationship between grain yield, quality of special rice varieties and daily temperature difference during grain filling period.
gelatinization temperature, gel consistency, protein content, essential amino acid, chalkiness rate, chalkiness degree, white rice rate and yield. As the daily temperature difference of the day became higher, the rice quality about gelatinization temperature, gel consistency, protein content, essential amino acid, chalkiness rate, chalkiness degree, white rice rate and yield became higher, but amylose content and brown rice rate became lower.
The relationship between yield, quality of special rice and solar radiation during the filling period is shown in Figure 6. The data indicated that solar radiation was positively correlated with amylose content, gelatinization temperature, chalkiness degree, polished rice rate and yield while negatively correlated with gel consistency, protein content, essential amino acid, chalkiness rate, and brown rice rate. It meant that with the solar radiation more and more, conducive to the formation of quality amylose content, gelatinization temperature, chalkiness degree, polished rice rate and yield, but harmful to the formation of quality gel consistency, protein content, essential amino acid, chalkiness rate, and brown rice rate.
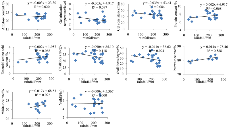
Amylose content, gelatinization temperature, gel consistency, chalkiness rate and chalkiness degree of special rice varieties were negatively correlated with rainfall during the heading to maturity period (Figure 7). While protein content, essential amino acid, brown rice rate and polished rice rate were observed positively correlated with rainfall capacity during the filling period. During heading to maturity period, rainfall capacity was good for protein content, essential amino acid, brown rice rate and polished rice rate formation, but harmful to amylose content, gelatinization temperature, gel consistency, chalkiness rate and chalkiness degree formation.
Figure 8 shows that amylose content, gelatinization temperature, gel consistency, chalkiness degree, chalkiness rate, polished rice rate and yield of the special rice varieties were negatively correlated with air humidity from head to
Figure 6. The relationship between grain yield, quality of special rice varieties and solar radiation during grain filling period.
Figure 7. The relationship between grain yield, quality of special rice varieties and solar radiation during grain filling period.
Figure 8. The relationship between grain yield, quality of special rice varieties and air humidity during grain filling period.
maturity stage. However, protein content, essential amino acid and brown rice rate were positively correlated with air humidity from head to maturity. With air humidity higher became higher during filling stage, protein content, essential amino acid and brown rice rate became higher, while amylose content, gelatinization temperature, gel consistency, chalkiness degree, chalkiness rate, polished rice rate and yield became lower.
3.5. Correlation between Grain Quality, Yield of Special Rice Varieties and Meteorological Factors in Filling Periods
3.5.1. Gel Consistency
Table 3 shows that, correlation of gel consistency was highly significant with all the meteorological factors except solar radiation at grain filling period. A positive correlation was found among gel consistency and daily maximum, average and minimum temperature having difference of 5, 10, 15 and 20 days after heading. The rain fall and humidity were found negatively correlated with each other.
3.5.2. Brown Rice Rate
Brown rice rate resulted negative correlation with daily maximum temperature, average temperature and solar radiation. This daily temperature difference was15 and 20 days after heading (Table 4) while positively correlated with precipitation and air humidity of 10, 15, and 20 days after heading.
Table 3. The correlation between gel consistency of special rice varieties and meteorological factors at grain filling stage.
Note: *When the confidence (double test) is 0.05, the correlation is significant. **When the confidence (double test) is 0.01, the correlation is highly significant. The same as below.
Table 4. The correlation between brown rice rate of special rice varieties and meteorological factors at grain filling stage
3.5.3. Protein, Essential Amino Acid
No significant correlation was observed between protein, essential amino acid of special rice varieties and meteorological factors at initial 20 days after heading (Table 5 and Table 6).
3.5.4. Amylose Content
Table 7 showed that amylose content had a negative correlation with daily minimum temperature on first 5 days after heading, but the correlation with other factors were found non-significant.
Table 5. The correlation between protein content of special rice varieties and meteorological factors at grain filling stage
Table 6. The correlation between essential amino acids of special rice varieties and meteorological factors at grain filling stage.
Table 7. The correlation between amylose content of special rice varieties and meteorological factors at grain filling stage.
3.5.5. Gelatinization Temperature
Correlation between gelatinization temperature and meteorological factors is showed in Table 8. The gelatinization temperature directed no correlation with precipitation, air humidity and solar radiation on first 20 days after heading, but significant correlation was observed with temperature factors. Among temperature factors, gelatinization temperature and daily maximum temperature of first 5 days, 10 days, and 15 days, daily minimum temperature of first 5 days after earring, daily average temperature and daily temperature difference of first 5 days and 10 days after heading were significantly positively correlated.
3.5.6. Chalkiness Rate
Table 9 shows that there was no significant correlation found between chalkiness rate and meteorological factors of first 5, 10, 15 and 20 days after heading.
3.5.7. Growth Period and Yield
Growth period was mainly affected by daily minimum temperature after heading (Table 10). A positive correlation was observed with daily minimum temperature on first 20 days after heading. Yield was greatly affected by daily maximum temperature and daily average temperature (Table 11) and had a significant
Table 8. The correlation between gelatinization temperature of special rice varieties and meteorological factors at different grain filling stage.
Table 9. The relationship between chalkiness rate of special rice varieties and meteorological factors at different grain filling stage.
Table 10. The relationship between growth period of special rice varieties and meteorological factors at different grain filling stage.
Table 11. The relationship between yield of special rice varieties and meteorological factors at different grain filling stage.
positive correlation with daily maximum temperature and daily average temperature at 5 days and 10 days after heading.
4. Discussion
4.1. Differences in Quality of Special Rice Varieties under Different Ecological Conditions and Main Influencing Factors
This study showed that the variation in the quality of special rice among three experimental sites was related to the variety and quality traits by itself, and did not show a consistent trend of variation. This indicated that the formation of quality was very complicated process and regulated by both genetics and environment. Many researchers have also suggested that in addition to genotype differences, the physicochemical properties of rice varieties at different experimental sites vary [36] [37] [38] . Comparison with the variety traits (Table 12), the quality of X32 changed the most, while quality of Z819 changed the least. Comparison with the quality traits, maximum variation was observed in the appearance quality (chalkiness rate and chalkiness degree) and the processing quality (brown rice rate and white rice rate) showed alteration in a very minute amount.
Table 12. Variation coefficient of quality traits of 10 special rice varieties among different experimental sites.
Rice processing and appearance quality are mostly controlled by quantitative genes, and in addition to genotype, they are closely related to the environment. Relatively speaking, the brown rice rate and the white rice rate were greatly affected by genetic factors, but despite of this chalkiness traits were highly affected by environmental factors [39] [40] [41] . The hybrid offspring of indica rice had the smallest variation in brown rice rate and the white rice rate, while maximum variation was recorded in the chalkiness rate and chalkiness degree under different ecological conditions. The brown rice rate and white rice rate of hybrid rice had little difference, while the chalkiness rate and chalkiness degree altered in a large amount due to environmental factor [42] [43] [44] [45] . Liu Bo [46] found that the variation in white rice rate and brown rice rate of the main Japonica rice varieties were not influenced by environmental factor in Liaoning province during different years, while the chalkiness rate and chalkiness degree had the largest variation. His study revealed that the special rice varieties planted under different ecological conditions, a maximum change was observed in the appearance quality (the chalkiness rate and chalkiness degree) while the processing quality (brown rice rate and polished rice rate) were not really affected.
The results of our study showed that for any single quality trait, there were varieties with significant differences among the three experimental sites. This indicates that all quality traits are regulated to varying degrees by meteorological factors. However, different meteorological factors may have high differences in the regulation of different quality traits. Temperature is an important environmental factor affecting crop growth and yield, and a primary environmental factor affecting rice quality [47] . Temperature alteration directly affects rice antioxidant system, photosynthesis, respiration and carbohydrates formation, thus influenced the quality of rice [48] [49] . Zhang Songwu [50] reported that temperature was the most significant factor affecting rice quality, especially at grain filling stage.
In our experiment, the effects of meteorological factors (the maximum temperature, the minimum temperature, daily average temperature, daily temperature difference, solar radiation, humidity, rainfall) on rice quality during the head-mature period were analyzed in detail. The daily average temperature was positively correlated with gelatinization temperature, gel consistency, chalkiness rate, chalkiness degree, yield, but negatively correlated with protein content, essential amino acids, and brown rice rate. Solar radiation was positively correlated with gelatinization temperature, chalkiness degree, amylose content, white rice rate and yield but negatively correlated with gel consistency, protein content, essential amino acid content and brown rice rate. Our results are in line with Liu Bo [46] during his study entitled effect of temperature and light factor on the yield and quality of main japonica rice varieties in Liaoning province, He recorded that the daily average temperature showed a very positive correlation with the brown rice rate, a highly negative correlation with the amylose content and chalkiness degree while slightly a negative correlation with white rice rate, chalkiness rate, grain length and gel consistency; the solar radiation was negatively correlated with the brown rice rate and the gel consistency, but positively correlated with the white rice rate, chalkiness rate, chalkiness degree and amylose content; the humidity was positively correlated with gel consistency, gelatinization temperature and chalkiness, but negatively correlated with amylose content.
Humidity was positively correlated with protein content, amino acid content, brown rice rate, while negatively correlated with amylose, gelatinization temperature, gel consistency, chalkiness rate, chalkiness degree and white rice rate. Our results have a little contradiction with previous studies. The possible reason reasons might be first the types of varieties used in the experiment were different, so their genetic basis was different, and it’s not necessary that every variety with different genetic coding respond to meteorological factors in the same mode; secondly the large differences in experimental areas lead to maximum variation in climatic environments, so that the test results are not completely consistent. This indicates that quality formation and alteration in it is a complex process, every variety has their own responding ability to environmental factors, thus the impact of meteorological factors on quality of each variety is also different.
In addition, the maximum temperature, the minimum temperature, the temperature difference and the rainfall in this experiment all had different effects on rice quality and yield. Throughout the seven meteorological factors, the highest impact on the quality indicators was: chalkiness rate, chalkiness degree, brown rice rate, white rice rate, gel consistency, and gelatinization temperature. It was found that the chalkiness rate and chalkiness degree variability were largest, the gel consistency and the gelatinization temperature were the optimum while the brown rice rate and the white rice rate were the smallest. It was indicated that the chalkiness rate and chalkiness degree (appearance quality) were more affected by environmental factors than genetic factors, while the brown rice rate and white rice rate (processing quality) were more affected by genetic factors than environmental factors. The results are in line with Lu and Yang’s studies, who stated that the brown rice rate and the white rice rate were greatly affected by genetic factors, but despite of this chalkiness traits were highly affected by environmental factors [39] [51] .
Among these seven meteorological factors, it can be divided into temperature factors (the maximum temperature, the minimum temperature, daily average temperature and daily temperature difference), moisture factor (rainfall and air humidity) and caloric factor (solar radiation). The rice quality indicators mainly influenced by the temperature factor are: gel consistency, gelatinization temperature, amylose content, brown rice rate, chalkiness rate and yield; the rice quality indicators mainly associated with moisture factor are brown rice rate, white rice rate, gel consistency, chalkiness rate and chalkiness degree; the indicators associated with caloric factor were: brown rice rate, white rice rate, amylose content, gel consistency, protein content and essential amino acid content.
4.2. Relationship between Quality and Yield of Special Rice Varieties and Meteorological Factors at Different Time after Heading
The grain filling stage is a key period for rice yield and quality formation. Heading and flowering are the most sensitive periods for rice. In previous study, most of them are concentrated on these three stages of rice panicle differentiation, flowering and grain filling [52] . From this study we observed that the formation of amylose content was correlated with temperature factors (the daily maximum temperature, the daily minimum temperature, the daily average temperature, and the temperature difference) at initial 5 days after heading and the correlation coefficient was higher than the other periods. There was a significant negative correlation between the minimum temperature and amylose content, within a certain range, the low temperature during this period is more conducive to the accumulation of amylose in the special rice, which was in similarity with the results of Aboubacar [53] . In parallel, our study also showed that solar radiation had a large correlation with the accumulation of amylose after 10 days of heading. All of the temperature factors showed a significant or highly significant correlation to the gel consistency during the grain filling period.
The moisture factor showed a highly negative correlation to the gel consistency at all times during the grain filling period. For the gelatinization temperature, the temperature factor showed a positive correlation for the whole filling period and reached a significant or extremely significant after 5 days of heading stage while the moisture factor indicated a negative correlation for the whole filling period.
Lin [54] who found that high temperature can enhance the transcription of gluten, prolamin, globulin and protein disulfide is omerase during early filling, but decreased the expression of these genes in the late filling stage, that is temperature had an effect on protein accumulation in rice grains. The maximum temperature and daily temperature difference were more closely related to the accumulation of protein than other factors, and there was a positive correlation, but not up to a significant level. The effect of the minimum temperature and the daily temperature difference on the essential amino acid content was greater than the other factors, but none of them reached a significant level. For feed rice, brown rice rate is an important indicator but although it is mostly affected by genetic factors rather than environmental factors [39] [51] . It will also help to improve the brown rice rate when knowing that the specific of meteorological factors after heading. There was a positive correlation between temperature factor, heat factor and brown rice rate, while water factor had a negative correlation with brown rice rate. The influence of these two factors on brown rice rate in the middle and late filling stage was greater than that in the early stage, and the correlation was significant or extremely significant. Therefore, in the late filling stage, irrigation increases the humidity in the field, and can also appropriately lower the temperature, which has a positive impact on brown rice rate.
The chalkiness rate is the most important quality of appearance quality, and the good appearance is favored by consumers. For the special rice, there is no excessive demand for appearance quality. In our study, the temperature factor and the heat factor were positively correlated with the chalkiness rate, and the water factor is negatively correlated with chalkiness rate, but all these three factors had not reached till significant level.
For the yield both the temperature factor and the heat factor were positively correlated and the water factor was negatively correlated. The maximum temperature and the daily temperature difference factor were significant or extremely significant with yield after 10 days of heading, while the lowest temperature was significantly correlated with yield after 10 days of heading. This showed that during the filling period, within a certain range, the temperature rise and the sunny weather are more conducive to the formation of yield.
5. Conclusion
The results obtained from the experiment revealed that meteorological factors have a significant influence on yield and quality of special rice during grain filling period. In meteorological factors, daily temperature difference indicated the maximum effect on grain quality. In quality traits, chalkiness rate is influenced by meteorological factors mostly.
Acknowledgements
This study was supported by The National Key Research and Development Program of China (2016YFD030050902). We are also indebted to all those who contributed in diverse ways to make this study as well as the anonymous reviewers and the editors for their valuable comments and suggestions.
Conflicts of Interest
The authors declare no conflicts of interest regarding the publication of this paper.
Cite this paper
Xuan, Y., Yi, Y., Liang, H., Wei, S.Q., Jiang, L.G., Ali, I., Ullah, S. and Zhao, Q. (2019) Effects of Meteorological Factors on the Yield and Quality of Special Rice in Different Periods after Anthesis. Agricultural Sciences, 10, 451-475. https://doi.org/10.4236/as.2019.104036
References
- 1. Mei, D.Y., Zhu, Y.J. and Yu, Y.H. (2013) Quantitative Trait Loci for Grain Chalkiness and Endosperm Transparency Detected in Three Recombinant Inbred Line Populations of Indica Rice. Journal of Integrative Agriculture, 12, 1-11.
- 2. Yu, L., Liu, Y.H. and Tong, J.H. (2015) Reduced Grain Chalkiness and Its Possible Physiological Mechanism in Transgenic Rice Overexpressing. The Crop Journal, 3, 125-134. https://doi.org/10.1016/j.cj.2014.12.001
- 3. Hori, K., Suzuki, K., Iijima, K. and Ebana, K. (2016) Variation in Cooking and Eating Quality Traits in Japanese Rice Germplasm Accessions. Breeding Science, 66, 309-318. https://doi.org/10.1270/jsbbs.66.309
- 4. Nakamura, S., Satoh, H. and Ohtsubo, K. (2011) Characteristics of Pregelatinized Ae Mutant Rice Flours Prepared by Boiling after Preroasting. Journal Agricultural and Food Chemistry, 59, 10665-10676. https://doi.org/10.1021/jf200973x
- 5. Qing, X.G. (2000) Implement a Grand Strategy and Actively Promote the Adjustment of Hunan’s Grain Structure. Hunan Agricultural Science, 5, 4-5.
- 6. Li, L.T. and Cheng, M.H. (2000) Current Status of Production and Research of Rice Flour. Food and Machinery, 3, 10-12.
- 7. Liu, Y.M., Tan, R.C., Rong, J.H. and Zhao, S.M. (2008) Study on Raw Material Selection for Instant Rice Noodle. Food Science and Technology, 3, 133-136.
- 8. Yin, Y.B., Zhu, M.J. and Ma, H.W. (2002) Effects of Environmental Factors on Rice Quality Traits in Ningxia—A Stepwise Regression Analysis of Main Quality Traits of Rice to Environmental Factors. Ningxia Agriculture and Forestry Science and Technology, 2, 17-19.
- 9. Lin, H.X., Hu, Q.F. and Xiao, Y.L. (2016) Effect of Cold Dew Wind on Quality, Yield and Yield Components of Double Cropping Late Rice Varieties. Acta Agriculture Jiangxi, 28, 20-23.
- 10. Dong, W.J. (2011) Effects of Asymmetric Warming on Grain Yield and Quality of Japonica Rice. Ph.D. Thesis, Nanjing Agricultural University, Nanjing.
- 11. Dai, Y.Y., Ding, Y.F., Liu, Z.H., Wang, Q.S., Li, H.G. and Wang, S.H. (2009) Effects of Elevated Night Temperature by Far-Infrared Radiation at Grain Filling on Grain Quality of Rice. China Journal Rice Science, 23, 414-420.
- 12. Dou, Z., Tang, S., Chen, W., Zhang, H. and Li, G. (2018) Effects of Open-field Warming During Rain-Filling Stage on Grain Quality of Two Japonica Rice Cultivars in Lower Reaches of Yangtze River Delta. Journal of Cereal Science, 81, 118-126. https://doi.org/10.1016/j.jcs.2018.04.004
- 13. Jin, Z.X., Yang, J., Qian, C.R., Liu, H.Y. and Jin, X.Y. (2005) Effects of Temperature during Grain Filling Stage on the Activities and Quality of Key Enzymes in Rice Grain Starch Synthesis. Chinese Journal of Rice Science, 19, 377-380.
- 14. Cheng, F.M. and Zhong, L.J. (2001) Variation of Rice Quality Traits under Different Climate Conditions and Its Main Affected Factors. Chinese Journal of Rice Science, 15, 187-191.
- 15. Tang, X.R. and Yu, T.Q. (1991) Effects of Temperature on Rice Quality and Some Biological and Physiological Properties in Milking Ripening Period. Hunan Journal Agricultural College, 17, 1-8.
- 16. Li, X., Gu, M.H. and Pan, X.B. (1989) Rice Quality Study II Effect of Environmental Conditions on Rice Quality during Grain Filling. Jiangsu Journal Agricultural College, 10, 7-12.
- 17. Gomez, K.A. (1979) Effect of Environment on Protein and Amylose Content of Rice. In: Proceedings of the Workshop on Chemical Aspects of Rice Grain Quality. IRRI, Los Banos, Philippines, 59-68.
- 18. Asaoka, M.K., Okuno, Y., Sugimoto, J., Kawakami, J. and Fuwa, H. (1984) Effect of Environmental Temperature during Development of Rice Plants on Some Properties of Endosperm Starch. Starch-Stärke, 36, 189-193. https://doi.org/10.1002/star.19840360602
- 19. Peng, B., Song, X.H. and Duan, B. (2018) Effects of Different Sowing Dates on Grain Quality Traits for Japan Rice Cultivar of “Huang Jin Qing”. Southwest China Journal of Agricultural Sciences, 31, 1772-1778.
- 20. Zhang, Y.F. and Tang, X.L. (2004) Influencing Factors of Amylose in Rice, Influence of Amylose on Processing Quality and Inheritance. Fujian Rice and Wheat Technology, 9, 9-10.
- 21. Jia, Z.K. and Zhu, Y.B. (1991) Preliminary Study on the Accumulation Effect of Amylose Affected by the Air Temperature at the Filling Stage of Rice. Journal of Yunnan Agricultural University, 6, 65-69.
- 22. Ahmed, N., Tetlow, I.J., Nawaz, S. and Iqbal, A. (2015) Effect of High Temperature on Grain Filling Period, Yield, Amylose Content and Activity of Starch Biosynthesis Enzymes in Endosperm of Basmati Rice. Journal of the Science of Food and Agriculture, 95, 2237-2243. https://doi.org/10.1002/jsfa.6941
- 23. Zhong, Y.Y. and Sun, M.Y. (2011) Breeding and Application of Jinyou L2, an Early Hybrid Rice Combination Special for Making Rice Flour in Jiangxi. Hybrid Rice, 26, 22-24.
- 24. Wang, X.H. (2010) Screening of Rice Varieties for Rice Noodle and Studying on Corresponding Cultivation Techniques. Ph.D. Thesis, Hunan Agricultural University, Hunan.
- 25. Wu, C.C., Li, H.S. and Wang, X.H. (2007) Chemical Regulation on Grain Amylose Content of Noodle Rice. Journal of Hunan Agricultural University, 33, 513-517.
- 26. Min, J., Li, Y.Z., Liu, S.X. and Gong, H.R. (2008) Inter-Regional Differences in Main Physical and Chemical Indicators of Noodle Rice Quality. China Rice, 1, 18-20.
- 27. Chen, Z.G. (2010) Effects of Different Nitrogen Application Rates on Yield, Crude Protein Content and Brown Rice Rate of Early feed Rice. Anhui Agricultural Science Bulletin, 16, 63-64.
- 28. Wu, Z.H., Zhou, R.Q. and Qing, X.G. (2005) The Effects of Different Ration of N P K Fertilizer on the Grain Yield and Constitutor in Forage Rice. Journal of Hunan Agricultural University, 31, 465-471.
- 29. Richards, F.J. (1959) A Flexible Growth Function for Empirical Use. Journal of Experimental Botany, 10, 290-301. https://doi.org/10.1093/jxb/10.2.290
- 30. Chen, M.L. (2010) Parameter Estimation of Richards Model and Its Application. Mathematics in Practice and Theory, 40, 139-143.
- 31. GB/T 15683-1995, Rice—Determination of Amylose Content. Beijing.
- 32. GB/T 22294-2008, Inspection of Grain and Oil—Determination of Rice Adhesive Strength. Beijing.
- 33. NY/T 593-2013, Cooking Rice Variety Quality. Beijing.
- 34. Wei, X., Wang, Z.R., Liu, Y. and Wang, R. Method for Determining Cereal Protein. Hubei.
- 35. Zhang, C., Xue, X.G. and Wang, D.Y. (2016) SPSS 21.0 Industry Statistical Analyses and Application. Tsinghua University, Beijing.
- 36. Yu, T.Q., Jiang, W.Z., Ham, T.H., Chu, S.H. and Lestari, P. (2008) Comparison of Grain Quality Traits between Japonica Rice Cultivars from Korea and Yunnan Province of China. Journal of Crop Science and Biotechnology, 11, 135-140.
- 37. Nakamura, S., Cui, J., Zhang, X., Yang, F., Xu, X.M., Sheng, H. and Ohtsubo, K. (2016) Comparison of Eating Quality and Physicochemical Properties between Japanese and Chinese Rice Cultivars. Bioscience Biotechnology and Biochemistry, 80, 2437-2449. https://doi.org/10.1080/09168451.2016.1220823
- 38. Gayin, J., Abdel-Aal, E.S.M., Manful, J., Bertoft, E., Marcone, M. and Ragaee, S. (2017) Physical, Cooking and Thermal Properties of African Rice (Oryza glaberrima) and Its Starch Digestibility in Vitro. Food Science Technology, 75, 481-487.
- 39. Lu, Y., Ling, Y.H. and Yang, Z.L. (2007) Study on the Genetic Effects of Grain Shape Traits of Brown Rice and Head Rice of Indica Materials in Different Environments. Journal of Southwest University, 29, 45-50.
- 40. Yang, W.Y., Xu, J.W. and Fang G.Q. (2003) Effect of Low Light on Grains Growth and Quality in Rice. Acta Agronomica Sinica, 5,785-790.
- 41. Xia, Y.J., Fan, M.Y. and Xu, H. (2014) Analysis on Milling and Appearance Qualities in Filial Generations of Indica × Japonica Crosses in Different Ecological Regions. Journal of Shenyang Agricultural University, 45, 257-263.
- 42. Huang, Z.H., Zhou, W.J. and Wang, J.F. (2004) Effect of Different Ecological Conditions on the Quality of Hybrid Rice Liangyou 363. China Rice, 4, 26-27.
- 43. Yang, Z.L., Yu, X.Q. and Huang, Z.H. (2006) Meteorological Factors Affecting Rice Quality Changes under Different Ecological Conditions. Seed, 25, 78-81.
- 44. Zhang, S.D., Wu, X. and Tu, M. (2014) Effects of Different Ecological Conditions on Grain Quality of Hybrid Rice Liangyou 585. Seed, 33, 96-98.
- 45. Li, Q.H., You, Q.R. and Lin, Z.Q. (2015) Effect of Rice Qualities of Super Rice “Yiyou 673” in Different Sowing Sites of Fujian. Chinese Agricultural Science Bulletin, 31, 20-24.
- 46. Liu, B. (2010) Study on the Effect of on Yield and Quality Formation of Japonica Rice Cultivars Planted in Liaoning in Large Acreage. Chinese Academy of Agricultural Sciences, Beijing.
- 47. Sheng, J., Tao, H.J. and Chen, L.G. (2007) Response of Seed-Setting and Grain Quality of Rice to Temperature at Different Time during Grain Filling Period. Chinese Journal of Rice Science, 21, 396-402.
- 48. Wang, G.J., Wang, J.Y. and Miao, W. (2013) Responses of Antioxidant System to Long-term Cold Water Stress in New Rice Line J07-23 with Strong Cold Tolerance. Acta Agronomica Sinica, 39, 753-759.
- 49. Hou, L.G., Ma, W. and Qi, C.Y. (2013) Effect of Phosphate Fertilizer Application on Cold Tolerance and Its Related Physiological Parameters in Rice under Low Temperature Stress. Journal of Northeast Agricultural University, 44, 39-45.
- 50. Zhang, G.W. (1993) Effect of Temperature on Head Rice Rate. Chinese Journal of Rice Science, 7, 211-216.
- 51. Yang, Y.C., Ni, D.H. and Song, F.S. (2011) Identification of QTLs for Rice Appearance Quality Traits across Different Ecological Sites. Chinese Journal of Rice Science, 25, 43-51.
- 52. MohammedA, R., Yang, Y.C., Ni, D.H. and Song, F.S. (2011) Tarpley L. (2010) Effects of High Night Temperature and Spikelet Position on Yield-Related Parameters of Rice (Oryza sativa L.) Plants. European Journal of Agronomy, 33, 117-123. https://doi.org/10.1016/j.eja.2009.11.006
- 53. Aboubacar, A., Moldenhauer, K.A.K., Mcclung, A.M., Beighley, D.H. and Hamaker, B.R. (2006) Effect of Growth Location in the United States on Amylose Content, Amylopectin Fine Structure, and Thermal Properties of Starches of Long Grain Rice Cultivars. Cereal Chemistry, 83, 93-98. https://doi.org/10.1094/CC-83-0093
- 54. Lin, C.J., Li, C.Y., Lin, S.K., Yang, F.H., Huang, J.J., Liu, Y.H. and Lu, H.S. (2010) Influence of High Temperature during Grain Filling on the Accumulation of Storage Proteins and Grain Quality in Rice (Oryza sativa L.). Journal of Agricultural and Food Chemistry, 58, 10545-10552. https://doi.org/10.1021/jf101575j










