Spectral Analysis Review
Vol.05 No.01(2017), Article ID:75582,10 pages
10.4236/sar.2017.51001
Triglycerides Isolated from Streptomyces sp. ZZ035 and Their Nuclear Magnetic Resonance Spectroscopic Characters
Xuejiao Wu, Li Xu, Ganjun Yuan*, Yimin Wang, Xuejie Xu
College of Bioscience and Bioengineering, Jiangxi Agricultural University, Nanchang, China

Copyright © 2017 by authors and Scientific Research Publishing Inc.
This work is licensed under the Creative Commons Attribution International License (CC BY 4.0).
http://creativecommons.org/licenses/by/4.0/



Received: January 8, 2017; Accepted: January 28, 2017; Published: January 31, 2017
ABSTRACT
Streptomyces sp. ZZ035 isolated from a folk medicinal soil sample in China showed remarkable antimicrobial activities. During the isolation of secondary metabolites, a white crystal powder (1) was isolated from the broth of this strain. Its nuclear magnetic resonance (NMR) and infrared (IR) spectra indicated that it was a complex composed of triglycerides. Next, six C15-17 long- chain fatty acids derived from these triglycerides were respectively identified as n-pentadecanoyl, 12-methyltetradecanoyl, 14-methyl pentadecanoyl, palmitoyl, 15-methyl hexadecanoyl and 14-methyl hexadecanoyl using the gas chromatography-mass spectroscopy (GC-MS) technology. Finally, the
Keywords:
Nuclear Magnetic Resonance, Triglyceride, Glyceride, Fatty Acid, Bacteria

1. Introduction
Around the reservoir for domestic water in Chinese rural areas, a folk medicinal soil in a dark and moist environment is used to prevent infection and accelerating cure by being spread around the wound after dog bite. To reveal the anti-infection reasons of this soil, a sample was collected in Xianjing Countryside in Zhuzhou County, China, and sixty-one actinomycete strains ZZ01 to ZZ061 were selectively isolated from this sample [1] . After chemical analysis were performed for discovering strains producing a series of secondary metabolites, the bioactive evaluation showed that thirteen strains had antimicrobial activities against Staphylococcus aureus, Escherichia coli and/or Candida albicans, and then the classification and identification of targeted seven strains indicated that they belonged to the genus Streptomyces [2] . Among them, Streptomyces sp. ZZ035 with remarkable antimicrobial activities against S. aureus, E. coli and C. albicans was targeted for discovering antimicrobial metabolites. During the isolation of components from the broth of this strain, a white crystal powder was isolated and identified as triglycerides, and many nuclear magnetic resonance (NMR) data including 1H,
Main
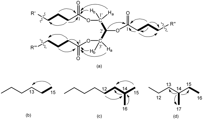
Figure 1. Key hydrogen-hydrogen correlations and heteronuclear multiple-bond correlations of 1. R', the ester acyl linked the carbon-1' of glycerol; R'', the ester acyl linked the carbon-2' of glycerol; R''', the ester acyl linked the carbon-3' of glycerol; R', R'' or R''' was one of six acyl groups identified by gas chromatography-mass spectroscopy technology.
were indistinctly assigned to a doublet of double doublets centered at 4.22 ppm, and the split peaks and meticulous assignments of these protons were not clarified [3] [4] [5] [6] [7] . As many glycerides were widely used in foods, cosmetics and drugs, a variety of analyses in vivo and in vitro usually need to be performed. The detailed NMR spectroscopic elucidation and meticulous
2. Materials and Methods
2.1. Strain
Streptomyces sp. ZZ035 was isolated from a soil sample collected in Xianjing Countryside in Zhuzhou County, China (Geographic coordinates: 27˚30'N, 113˚17'E) [1] , and was store at 4˚C in College Bioscience and Bioengineering, Jiangxi Agricultural University, China. Polyphasic taxonomy procedure indicated that this strain belonged to the genus Streptomyces and was closest to S. cinnamonensis [2] . Its 16S deoxyribonucleic acid (16S rDNA) sequence was deposited at NCBI GenBank with accession numbers KJ995739.
2.2. Fermentation and Isolation
The strain of Streptomyces sp. ZZ035 was cultured in 5000 mL Erlenmeyer flasks that contained 2000 mL of
2.3. Structural Elucidation and Components Analyses
Thin layer chromatography using for the isolation and analysis was carried out with silica GF254 (Qingdao Haiyang Chemical Co., Ltd, China), and iodine vapor were used as chromogenic agents. All NMR experiments were recorded on a Bruker AV-400 NMR spectrometer equipped with a 5-mm PABBO BB-probe head. The chemical shifts were respectively relative to deuterochloroform (CDCl3) at δH 7.26 ppm and δC 77.0 ppm. For the gas chromatography-mass spectroscopy (GC-MS) analyses, the methanolysis of 1 was performed by potassium hydroxide in methanol/hexane, and then the fatty acid methyl esters were determined on a Thermo Trace 1300/ISQ GC-MS spectrometer with an electron ionization (EI) ion source (70 eV). The chromatographic peaks were identified by comparing their mass spectra with those in the NIST 11 MS data library. IR spectrum was determined on a Thermo Nicolet
The template is used to format your paper and style the text. All margins, column widths, line spaces, and text fonts are prescribed; please do not alter them. You may note peculiarities. For example, the head margin in this template measures proportionately more than is customary. This measurement and others are deliberate, using specifications that anticipate your paper as one part of the entire journals, and not as an independent document. Please do not revise any of the current designations.
3. Results
3.1. Structural Elucidation and Components Analyses
1 was obtained as a white crystal powder, and was easily soluble in chloroform. Assigned to many methylene carbons confirmed by its Dept 135˚ and HSQC spectra, a large peak at 29.26 - 29.95 ppm in its
The
Four methyl carbons at δC 22.65, 19.21, 14.09 and
Many carbon signals at 29.26 - 29.95 ppm and their one-bond related proton signals at 1.20 - 1.36 ppm in the
3.2. Nuclear Magnetic Resonance Data of Triglycerides
Comparing previous reports [3] - [9] [12] , their detailed and meticulous
4. Discussion
These triglycerides were isolated from the broth of Streptomyces sp. ZZ035 derived from a folk medicinal soil sample. Their detailed NMR spectroscopic
Table 1. Fatty acid methyl esters synthesized from 1 detected by gas chromatography- mass spectroscopy (GC-MS) technology.a
aThe GC-MS analyses were determined on a Thermo Trace 1300/ISQ GC-MS spectrometer with an electron ionization ion source (70 eV), and the chromatographic peaks were identified by the NIST 11 MS data library. RT, Retention time; SI, Similarity index; RSI, Reversed search index.
Table 2.
a400 MHz for 1H shifts relative to deuterochloroform (CDCl3) at δC 7.26; 100 MHz for
Table 3.
a400 MHz for 1H shifts relative to deuterochloroform (CDCl3) at δC 7.26; 100 MHz for
elucidation and key
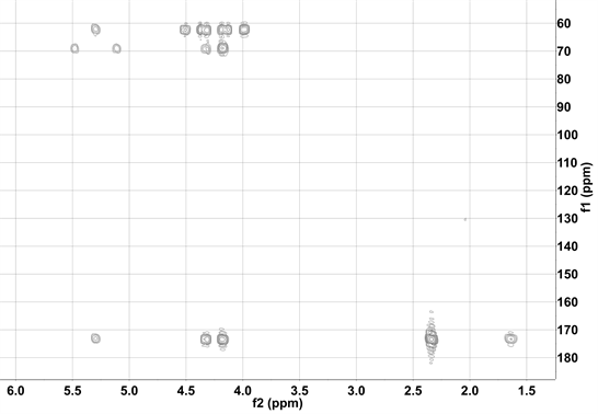
For distinguishing triglycerides from other glycerides, peaks due to protons attached on the glycerol carbons are of primary importance. The chemical shifts of protons on C-1' or C-3', and C-2' for triglycerides were respectively 4.22 and 5.27 ppm in CDCl3 according to previous reports [3] [4] [5] , while two nonequivalent protons attached on C-1' or C-3' of these trig1ycerides were deduced from the 1D and 2D NMR data of 1. The chemical shift of one proton was 4.14 ppm, and another was 4.30 ppm. Each proton attached on C-1' or C-3' presented a geminal coupling (J = 11.9 Hz) with another and a vicinal coupling (J = 6.0 or 4.2 Hz) with H-2', and which gave a double doublets for each proton on C-1' or C-3' due to an AMX coupling system. Their
Another, an A2MX2 coupling system led H-2' to split triple-triplets centered at 5.26 ppm, among which three middle ones mostly overlapped to form an abnormal peak (Figure 2). These
Figure 2. Hydrogen nuclear magnetic resonance spectrum of 1. a, nine split peaks centered at 5.27 ppm were assigned to hydrogen-2 (H-2'); b, two double doublets centered 4.14 and 4.30 ppm were respectively assigned to Ha-1'(3') and Hb-1'(3'); c, protons attached carbon-2 of R' or R''' (higher field) and carbon-2 of R'' (lower field).


Figure 3. Part hydrogen-hydrogen (1H-1H) correlation spectroscopy (a) and heteronuclear multiple-bond correlation spectrum (b) for the
with NMR technology.
As many glycerides were widely used in foods, cosmetics and drugs, a variety of analyses involved determination, metabolism and transformation in vivo or in vitro usually need to be performed [3] [4] [5] [16] . Further,
5. Conclusion
A white crystal powder (1) composed of several triglycerides was isolated from the broth of Streptomyces sp. ZZ035, and analysized by GC-MS, IR and NMR technology. The important
Acknowledgements
This research was supported by the National Natural Science Foundation of China [No. 81260476 and 81460529] and the University Science Research Project of Jiangxi, China [No. GJJ14277].
Cite this paper
Wu, X.J., Xu, L., Yuan, G.J., Wang, Y.M. and Xu, X.J. (2017) Triglycerides Isolated from Streptomyces sp. ZZ035 and Their Nuclear Magnetic Resonance Spectroscopic Characters. Spectral Analysis Reviews, 5, 1-10. https://doi.org/10.4236/sar.2017.51001
References
- 1. Yuan, G., Li, P., Yang, H., Wu, X., Tu, G. and Wei, S. (2012) Chemical Screening of Sixty-One Actinomycete Strains and Anti-Methicillin-Resistant Staphylococcus aureus Assays of Target Strains. Chinese Journal of Natural Medicine, 10, 155-160. https://doi.org/10.3724/SP.J.1009.2012.00155
- 2. Xu, X., Wu, X., Yuan, G., Zhong, Q. and Xu, L. (2017) A New Inhibitor of γ-Aminobutric Acid Aminotransferase from Streptomyces sp. ZZ035 Isolated from a Folk Medicinal Soil in China.
- 3. Nieva-Echevarría, B., Goicoechea, E., Manzanos, M.J. and Guillén, M.D. (2016) A Study by 1H NMR on the Influence of Some Factors Affecting Lipid in Vitro Digestion. Food Chemistry, 211, 17-26.
- 4. Nieva-Echevarría, B., Goicoechea, E., Manzanos, M.J. and Guillén, M.D. (2015) Usefulness of 1H NMR in Assessing the Extent of Lipid Digestion. Food Chemistry, 179, 182-190.
- 5. Nieva-Echevarría, B., Goicoechea, E., Manzanos, M.J. and Guillén, M.D. (2014) A Method Based on 1H NMR Spectral Data Useful to Evaluate the Hydrolysis Level in Complex Lipid Mixtures. Food Research International, 66, 379-387.
- 6. Sopelana, P., Arizabaleta, I., Ibargoitia, M.L. and Guillén, M.D. (2013) Characterisation of the Lipidic Components of Margarines by 1H Nuclear Magnetic Resonance. Food Chemistry, 141, 3357-3364.
- 7. Lu, Y., Wang, J., Deng, Z., Wu, H., Deng, Q., Tan, H. and Cao, L. (2013) Isolation and Characterization of Fatty Acid Methyl Ester (FAME)-Producing Streptomyces sp. S161 from Sheep (Ovis aries) Faeces. Letters in Applied Microbiology, 57, 200- 205. https://doi.org/10.1111/lam.12096
- 8. Akeda, Y., Shibata, K., Ping, X., Tanaka, T. and Taniguchi, M. (1995) AKD-2A, B, C and D, New Antibiotics from Streptomyces sp. OCU-42815: Taxonomy, Fermentation, Isolation, Structure Elucidation and Biological Activity. Journal of Antibiotics, 48, 363-368. https://doi.org/10.7164/antibiotics.48.363
- 9. Serdarevich, B. and Carroll, K.K. (1966) Synthesis and Characterization of 1- and 2-Monoglycerides of anteiso Fatty Acids. Journal of Lipid Research, 7, 277-284.
- 10. Parkash, S. and Blanshard, J.M.V. (1975) Infrared Spectra of Selected Ultra-Pure Triglycerides. Spectrochimica Acta Part A: Molecular Spectroscopy, 31, 951-957.
- 11. Omura, S., Nakagawa, A., Fukamachi, N., Otoguro, K. and Kobayashi, B. (1986) Aggreceride, a New Platelet Aggregation Inhibitor from Streptomyces. Journal of Antibiotics, 34, 1180-1181. https://doi.org/10.7164/antibiotics.39.1180
- 12. Kim, Y.A., Park, M.S., Kim, Y.H. and Han, S. (2003) Synthesis of 1-lyso-2-Palmitoyl- rac-glycero-3-phosphocholine and Its Regioisomers and Structural Elucidation by NMR Spectroscopy and FAB Tandem Mass Spectrometry. Tetrahedron, 59, 2921- 2928.
- 13. Mechoulam, R., Ben-Shabat, S., Hanus, L., Ligumsky, M., Kaminski, N.E., Schatz, A.R., Gopher, A., Almog, S., Martin, B.R., Compton, D.R., Pertwee, R.G., Griffin, G., Bayewitch, M., Barg, J. and Vogel, Z. (1995) Identification of an Endogenous 2-Monoglyceride, Present in Canine Gut, That Binds to Cannabinoid Receptors. Biochemical Pharmacology, 50, 83-90.
- 14. Aizpurua-Olaizola, O., Elezgarai, I., Rico-Barrio, I., Zarandona, I., Etxebarria, N. and Usobiaga, A. (2016) Targeting the Endocannabinoid System: Future Therapeutic Strategies. Drug Discovery Today, 22, 105-110.
- 15. Konishi, T., Satsu, H., Hatsugai, Y., Aizawa, K., Inakuma, T., Nagata, S., Sakuda, S., Nagasawa, H. and Shimizu, M. (2004) A Bitter Melon Extract Inhibits the P-Gly- coprotein Activity in Intestinal Caco-2 Cells: Monoglyceride as an Active Compound. BioFactors, 22, 71-74. https://doi.org/10.1002/biof.5520220113
- 16. Almoselhy, R.I.M., Allam, M.H., El-Kalyoubi, M.H. and El-Sharkawy, A.A. (2014) 1H NMR Spectral Analysis as a New Aspect to Evaluate the Stability of Some Edible Oils. Annals of Agricultural Science, 59, 201-206.
- 17. Gunstone, F.D. (1991) 13C-NMR Studies of Mono-, Di- and Triacylglycerols Leading to Qualitative and Semiquantitative Information about Mixtures of These Glycerol Esters. Chemistry and Physics of Lipids, 58, 219-224.




