American Journal of Operations Research
Vol.05 No.02(2015), Article ID:54302,21 pages
10.4236/ajor.2015.52005
Computational Studies on Detecting a Diffusing Target in a Square Region by a Stationary or Moving Searcher
Hongyun Wang1, Hong Zhou2
1Department of Applied Mathematics and Statistics, Baskin School of Engineering, University of California, Santa Cruz, USA
2Department of Applied Mathematics, Naval Postgraduate School, Monterey, USA
Email: hongwang@soe.ucsc.edu, hzhou@nps.edu
Copyright © 2015 by authors and Scientific Research Publishing Inc.
This work is licensed under the Creative Commons Attribution International License (CC BY).
http://creativecommons.org/licenses/by/4.0/



Received 6 February 2015; accepted 24 February 2015; published 28 February 2015
ABSTRACT
In this paper, we compute the non-detection probability of a randomly moving target by a stationary or moving searcher in a square search region. We find that when the searcher is stationary, the decay rate of the non-detection probability achieves the maximum value when the searcher is fixed at the center of the square search region; when both the searcher and the target diffuse with significant diffusion coefficients, the decay rate of the non-detection probability only depends on the sum of the diffusion coefficients of the target and searcher. When the searcher moves along prescribed deterministic tracks, our study shows that the fastest decay of the non-detection pro- bability is achieved when the searcher scans horizontally and vertically.
Keywords:
Diffusing Target, Non-Detection Probability, Search Theory, Optimal Search Path

1. Introduction
Search problems arise commonly in many diverse areas [1] . For instance, we look for a missing key or person, the police officers search for fugitives, and prospectors explore for mineral deposits. Systematic research on search problems is now commonly known as search theory, which traces its root to the need of detecting surfaced U-boats either visually from aircraft or with radar during World War II [2] - [7] .
In search theory, the object sought is called the target. The problems can be loosely divided into three categories: a stationary target encountering a moving searcher, a moving target encountering a stationary searcher, and a moving target encountering a moving searcher. Much of the literature prior to the 1970s focuses on stationary targets. A comprehensive survey on research literature on moving targets has been provided by Benkoski et al. [8] .
In [9] , Eagle considered the problem of a stationary searcher looking for a single moving target. He obtained an analytical expression for the non-detection probability of a randomly moving target encountering a stationary sensor when the search region was a disk and the cookie-cutter detector was fixed at the center of the search region. Mangel [10] [11] looked at the problem where a target was assumed to move in the plane and the searcher in space. Optimal search path problems have been addressed by Washburn [12] [13] , Eagle and his co-workers [14] - [17] . The conflict between simplicity and optimality in searching for a 2-D stationary target was dealt with by Washburn [18] . A sequential approach to detect static targets with imperfect sensors such as tower-mounted cameras and satellites was presented by Wilson et al. [19] . Majumdar and Bray derived the survival probability of a tracer particle moving along a straight line in the presence of diffusing traps in the plane [20] . Fernando and Sritharan calculated the non-detection probability of infinitely many diffusing Brownian targets by a moving searcher which travels along a deterministic path with constant speed in the two-dimensional plane [21] . In this paper, we compute the non-detection probability of a diffusing Brownian target in the presence of a stationary or moving searcher in a square region. We study the effect of sweeping paths by considering five scenarios: the search may 1) diffuse randomly, 2) move along a circular or square loop, 3) move along a spiral, 4) move along a square spiral, and 5) scan horizontally and vertically.
2. Problem Setup
Consider a square region with half width
, centered at the origin in the two-dimensional space. Mathematically, the square can be described as
. In our search problem, this square is the search region in which the target undergoes Brownian diffusion.
Suppose the searcher is capable of detecting a target instantly when the target gets within distance R to the location of the searcher and there is no possiblity of detection when the target range is greater than R. That is, the searcher covers a disk of radius R centered at the location of the searcher. The expression “cookie-cutter detection rule” is often used to describe this type of sensor modeling. One major criticisim of the cookie-cutter rule is based on the argument that fluctuations in the performance of detection equipment and human operators make it extremely rare to have a critical detection range R. Despite the limitations, the cookie-cutter model offers the simplest and most practical method to model sensors including radar, eyeball, infra-red, and low level TV. We illustrate the search problem in Figure 1.
Figure 1. A schematic illustration of a diffusing target in a square search region of half width
in the presence of a searcher. The searcher may be fixed, may undergo Brownian diffusion, or may be moving with velocity
along a prescribed path. The target is detected once it comes within distance R to the location of the searcher.
We carry out Monte Carlo simulations to study the time evolution of the non-detection probability, respectively, when the searcher is fixed at various locations, when the searcher undergoes Brownian diffusion with various values of diffusion coefficient, and when the searcher is moving along various prescribed deterministic paths.
Let
denote the diffusion coefficient of the target, and
the diffusion coefficient of the searcher. In our simulations, we choose the parameters as follows:
(1)
and consider five problems below.
3. Problem 1: Diffusing Target and Diffusing Searcher
We look at the situation where the target and the searcher are diffusing with various diffusion coefficients. The case of a stationary searcher is the special case with
.
In our numerical discretization,

In Monte Carlo simulations, we advance the target and the searcher in time according to
(2)
where
,
,
, and
are independent samples of standard normal distribution (mean 0, variance 1). To enforce the reflection condition at the boundary of the square search region, we calculate the new positions of target and searcher as
(3)
where function 
It is straightforward to verify that

The target is labeled as “detected” at 

Once the target is detected, that particular Monte Carlo run is terminated and another independent Monte Carlo run is started. To speed up the simulation, multiple Monte Carlo runs are carried out in parallel.
Let 


For each set of parameter values, we repeat the Monte Carlo run 
In Problem 1, we select the time step 

That is, the root-mean-square of the displacement between the target and the searcher in time period 
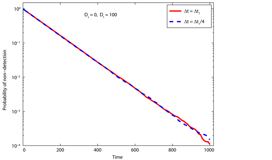
We first examine the accuracy of our Monte Carlo simulations in the case of
Figure 2 compares the non-detection probabilities obtained with two different time steps: 



Figure 3 compares the non-detection probabilities obtained in 7 independent Monte Carlo simulations, each simulation consisting of 

Next, we explore several cases that satisfy 





Figure 4 plots the non-detection probability for various values of 



Figure 2. Comparison of numerical results obtained, respectively, with time step 

Figure 3. Comparison of results from 7 independent Monte Carlo simulations. Each simu- lation consists of 
Figure 4. Non-detection probability for various values of 

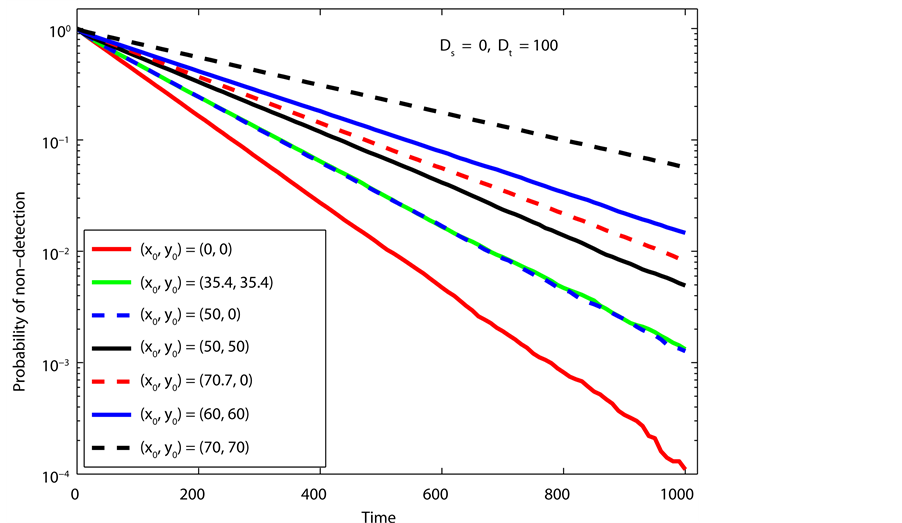
the non-detection probability is slowed down when the searcher diffuses with










1) the decay rate of the non-detection probability is the largest when the searcher is fixed at the center;
2) when both the searcher and the target are diffusing with significant diffusion coefficients, the decay rate of the non-detection probability is lower and is independent of 

3) when the searcher is fixed at a location significantly off center, the decay rate of the non-detection probability is even lower.
To further test these observations, we compare the decay rates of the non-detection probability for 4 sets of parameters
Based on the observations 1)-3) above, we expect that set 1 produces the fastest decay of the non-detection probability; sets 2 and 3 yield similar decay rates, lower than that of set 1; and set 4 gives the slowest decay rate of the non-detection probabilty.
Figure 5 compares the results for these four parameter sets. The results in Figure 5 confirm what we predicted based on observations 1)-3). Hence, these results provide further support for observations 1)-3). Figure 5 also indicates that when the searcher has significant diffusion, its inital location does not matter.
Next we study the case of a fixed searcher
In summary, for Problem 1, we conclude that a) when both the searcher and the target have significant diffusion, the decay rate of non-detection probability is independent of the initial location and is independent of 



Next, we study the case where the searcher moves with a constant velocity 
4. Problem 2: Searcher Moving along a Loop
We consider the situation where the target diffuses with diffusion coefficient 


Let 



The distance traveled by the searcher with velocity 


Figure 5. Comparison of decay rates of non-detection probability for 4 sets of parameter values.
Figure 6. The effect of the searcher location on the decay rate of non-detection probability when the searcher is fixed
where the target velocity is neither too small nor too large. Specifically, we consider the case where the distance traveled by the searcher in time 

We pick

In all the simulations below, we use
In Problem 2, for each set of parameter values, we repeat the Monte Carlo run 
We select the time step 

That is, the root-mean-square diffusion of the target toward the searcher in time 

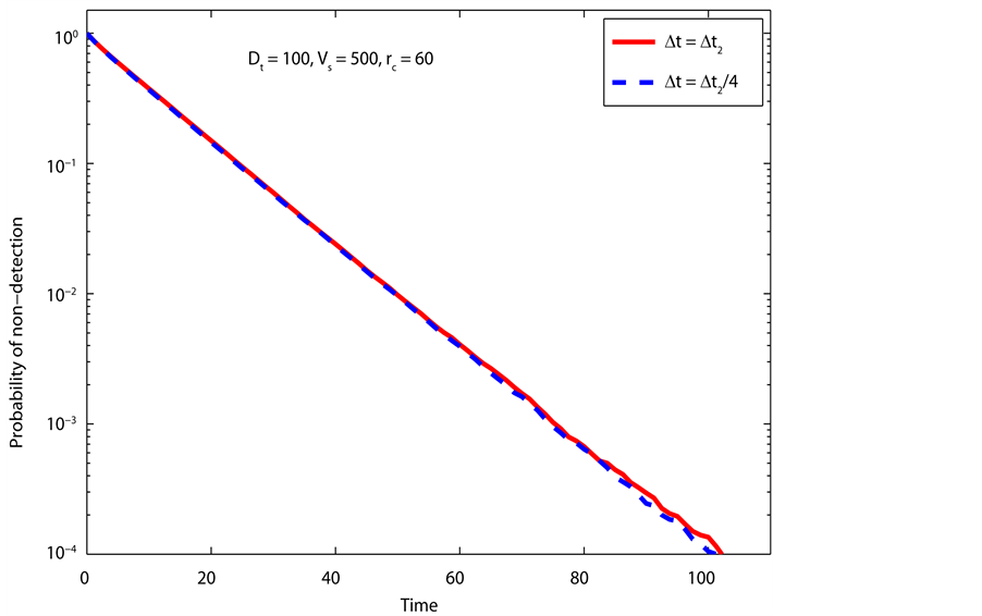
We first examine the accuracy of our Monte Carlo simulations when the searcher moves along a circle of radius 

Figure 8 compares the non-detection probabilities obtained with two time steps: 



Figure 9 compares the non-detection probabilities obtained from 7 independent Monte Carlo simulations, each consisting of 

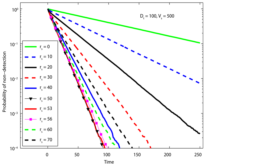
Figure 10 shows the effect of the circle radius 








Figure 7. The searcher moves along a prescribed loop with velocity


Figure 8. Comparison of numerical results obtained, respectively, with time step 




Figure 9. Comparison of results from 7 independent Monte Carlo simulations. Each simu- lation contains 
Figure 10. Results for the case of the searcher moving along a circle of radius


The optimal circle radius based on the intuitive conjecture above is

The results of Monte Carlo simulations in Figure 10 strongly support this conjecture.
Next we study the case of the searcher moving along a square path of half width 

Figure 11 shows the effect of half width 









Figure 11. Results for the case of the searcher moving along a square of half width


The results of Monte Carlo simulations in Figure 11 strongly support this conjecture.
Before we end this section, we calculate and compare the decay rates of the non-detection probability for the three optimal cases we have considered so far. The decay rate of the non-detection probability, denoted by
1) For the case of diffusing target and diffusing searcher with fixed total diffusion
2) For the case of the searcher moving along a circle of radius 


3) For the case of the searcher moving along a square of half width 


Out of these 3 cases, square loop of half width 

In the next section, we study the case where the searcher moves along a spiral.
5. Problem 3: Searcher Moving along a Spiral
We consider the situation where the target diffuses with diffusion coefficient 





The increase in number of repeats from 

A spiral path is a sequence of rotated spiral loops and is specified by the number of revolutions 

Figure 12. A spiral path is a sequence of rotated spiral loops and is specified by the number of revolutions 


path is formed by a forward spiral starting at the origin and a backward spiral back to the origin. We use the Archimedean spiral. The forward spiral of 
We select the starting angle 





Recall that in our problem, the searcher moves along a path with a constant velocity. To use the spiral loop as the searcher’s sweeping path in simulations, we need to express 

where function 



Let 

For the forward spiral,



For the backward spiral,


In our numerical simulations, the inverse function 

The Cartesian coordinates of the spiral loop as functions of arclength s are written out based on the polar coordinates:

Next, we scale the spiral loop formed above to fit the square search region (Figure 12(c)). We scale the spiral loop by selecting the largest coefficient b that satisfies

When sweeping the spiral loop, the Cartesian coordinates of the searcher as functions of time t are given by

This is the formula we use to update the searcher location in simulations.
After finishing sweeping one spiral loop, the searcher rotates the spiral loop by 
Figure 13 demonstrates four spiral loops, respectively, of



Figure 13. Four spiral loops corresponding to



Figure 14 depicts the time evolutions of the non-detection probability when the searcher sweeps various spiral paths. A spiral path is specified by








We point out that the optimal decay rate given above for Problem 3 is faster (larger) than those of Problems 1 and 2.
6. Problem 4: Searcher Moving along a Square Spiral
Now we consider the situation where the target diffuses with diffusion coefficient 

In Problem 4, we use the same numerical parameters as in Problem 3: each Monte Carlo simulation is repeated 


A square spiral path is a sequence of rotated square spiral loops and is specified by the number of square layers 
We first focus on square spirals with unit inter-layer distance. A forward square spiral of 
Figure 14. Results for the case of searcher moving along various spiral paths. A spiral path is a sequence of ratations of a spiral loop and is specified by

described as follows. We cycle through 4 directions: positive x, positive y, negative x, negative y. If we start at 

With this simple notation, the forward square spiral of 
In this unit forard square spiral, the inter-layer distance is 1. Next we scale the unit forward square spiral to fit it to the search region. Let d be the inter-layer distance after the scaling. We select the inter-layer distance d as
where 

We could select the backward square spiral as the mirror image of the forward square spiral with respect to
Figure 15. Forward square spirals and square spiral loops. (a) The forward square spiral of 



the line of angle
spiral in a substantial fraction of the path. Intuitively, that is not an efficient way of sweeping. We want the backward square spiral to cover the area between the layers of the forward square spiral so that together the forward and the backward square spirals have a better and more uniform coverage of the search region. We design the backward square spiral to go between the layers of the forward square spiral. Mathematically, the backward square spiral is described by
As in the situation for the forward square spiral, the backward square spiral is also scaled by the inter-layer distance d given above to fit it to the search region. The backward square spiral of 2 layers 

After finishing sweeping the square spiral loop, the searcher rotates the whole square spiral loop by 
Figure 16 plots the time evolutions of the non-detection probability when the searcher sweeps various square spiral paths. A square spiral path is specified by









Figure 16. Results for the case of the searcher moving along various square spiral paths. A square spiral path is a sequence of rotations of a square spiral loop and is specified by

rate of the non-detection probability at 
We point out that the optimal decay rate given above for Problem 4 is faster (larger) than those of Problems 1, 2 and 3.
7. Problem 5: Searcher Scanning Horizontally and Vertically
Finally we consider the situation where the target diffuses with diffusion coefficient

In Problem 5, we use the same numerical parameters as in Problems 3 and 4: each Monte Carlo simulation is repeated 


The scan path consists of forward horizontal scan, backward horizontal scan, forward vertical scan and backward vertical scan. A forward horizontal scan is shown in Figure 17.
A forward horizontal scan is specified by 3 parameters: b the length of each horizontal scan line, d the inter scan line distance, and 

For each forward horizontal scan, there is an associated backward horizontal scan. The backward scan travels between the horizontal scan lines of the forward scan. The forward horizontal scan is mathematically described by
The associated backward horizontal scan is mathematically described by
Figure 17. A forward horizontal scan and associated parameters. b is the length of each horizontal scan line; d is the vertical distance between adjacent scan lines.
The forward horizontal scan and the associated backward horizontal scan for 
The vertical scans are exactly the same as the horizontal scans except that the roles of x and y are swapped. The forward vertical scan is
The associated backward vertical scan is
Figure 18. Horizontal and vertical scan paths. (a) Forward horizontal scan; (b) Backward horizontal scan (blue line with filled circles); (c) Forward vertical scan; (d) Backward vertical scan (blue line with filled circles).
The forward vertical scan and the associated backward vertical scan for 
To scan the square search region of half width
Thus, for a square of given half width

The searcher sequentially cycles through forward horizontal scan, backward horizontal scan, forward vertical scan and backward vertical scan. This process is repeated until the target is detected.
Figure 19 shows the time evolutions of the non-detection probability when the searcher scans horizontally and vertically. A scan path is specified by









Figure 19. Results for the case of searcher scanning horizontally and vertically. The horizontal and vertical scan paths are shown in Figure 18. A scan path is specified by

We point out that the optimal decay rate given above for Problem 5 is faster (larger) than those of Problems 1, 2, 3 and 4.
8. Summary
This paper calculated the non-detection probability of a diffusing target in the presence of a stationary or moving searcher. It is found that when the searcher is fixed, the decay rate of the non-detection probability attains the maximum value when the search is fixed at the center of the square search region. When both the searcher and the target diffuse with significant diffusion coefficients, the decay rate of the non-detection probability only depends on the sum of the diffusion coefficients of the target and searcher. When the searcher moves along various deterministic trajectories, the fastest decay of the non-detection probability is obtained when the searcher scans horizontally and vertically.
Acknowledgements and Disclaimer
Hong Zhou would like to thank Professor James Eagle, Professor Sivaguru Sritharan and Professor Jim Scrofani for stimulating discussions. The views expressed in this document are those of the authors and do not reflect the official policy or position of the Department of Defense or the US Government.
References
- Koopman, B.O. (1999) Search and Screening: General Principles with Historical Applications. The Military Operations Research Society, Inc., Alexandria.
- Chudnovsky, D.V. and Chudnovsky, G.V. (1989) Search Theory: Some Recent Developments. Marcel Dekker, Inc., New York.
- Chung, T.H., Hollinger, G.A. and Isler, V. (2011) Search and Pursuit-Evasion in Mobile Robotics: A Survey. Autonomous Robots, 31, 299-316. http://dx.doi.org/10.1007/s10514-011-9241-4
- Dobbie, J.M. (1968) A Survey of Search Theory. Operations Research, 16, 525-537. http://dx.doi.org/10.1287/opre.16.3.525
- Stone, L.D. (1989) Theory of Optimal Search. 2nd Edition, Academic Press, San Diego.
- Stone, L.D. (1989) What’s Happened in Search Theory Since the 1975 Lanchester Prize? Operations Research, 37, 501-506. http://dx.doi.org/10.1287/opre.37.3.501
- Washburn, A.R. (2002) Search and Detection. Topic in Operation Research Series. 4th Edition, INFORMS, Catonsville.
- Benkoski, S.J., Monticino, M.G. and Weisinger, J.R. (1991) A Survey of the Search Theory Literature. Naval Research Logistics, 38, 469-494. http://dx.doi.org/10.1002/1520-6750(199108)38:4<469::AID-NAV3220380404>3.0.CO;2-E
- Eagle, J.N. (1987) Estimating the Probability of a Diffusing Target Encountering a Stationary Sensor. Naval Research Logistics, 34, 43-51. http://dx.doi.org/10.1002/1520-6750(198702)34:1<43::AID-NAV3220340105>3.0.CO;2-6
- Mangel, M. (1981) Search for a Randomly Moving Object. SIAM Journal on Applied Mathematics, 40, 327-338. http://dx.doi.org/10.1137/0140028
- Mangel, M. (1981) Optimal Search for and Mining of Underwater Mineral Resources. SIAM Journal on Applied Mathematics, 43, 99-106. http://dx.doi.org/10.1137/0143008
- Washburn, A.R. (1995) Dynamic Programming and the Backpacker’s Linear Search Problem. Journal of Computational and Applied Mathematics, 60, 357-365. http://dx.doi.org/10.1016/0377-0427(94)00038-3
- Washburn, A.R. (1998) Branch and Bound Methods for a Search Problem. Naval Research Logistics, 45, 243-257. http://dx.doi.org/10.1002/(SICI)1520-6750(199804)45:3<243::AID-NAV1>3.0.CO;2-7
- Dell, R.F., Eagle, J.N., Martins, G.H.A. and Santos, A.G. (1996) Using Multiple-Searchers in Constrained-Path, Moving-Target Search Problems. Naval Research Logistics, 43, 463-480. http://dx.doi.org/10.1002/(SICI)1520-6750(199606)43:4<463::AID-NAV1>3.0.CO;2-5
- Eagle, J.N. (1984) The Optimal Search for a Moving Target When the Search Path Is Constrained. Operations Research, 32, 1107-1115. http://dx.doi.org/10.1287/opre.32.5.1107
- Eagle, J.N. and Yee, J.R. (1990) An Optimal Branch-and-Bound Procedure for the Constrained Path, Moving Target Search Problem. Operations Research, 38, 110-114.
- Thomas, L.C. and Eagle, J.N. (1995) Criteria and Approximate Methods for Path-Constrained Moving-Target Search Problems. Naval Research Logistics, 42, 27-38. http://dx.doi.org/10.1002/1520-6750(199502)42:1<27::AID-NAV3220420105>3.0.CO;2-H
- Washburn, A.R. (2006) Piled-Slab Searches. Operations Research, 54, 1193-1200. http://dx.doi.org/10.1287/opre.1060.0332
- Wilson, K.E., Szechtman, R. and Atkinson, M.P. (2011) A Sequential Perspective on Searching for Static Targets. European Journal of Operational Research, 215, 218-226. http://dx.doi.org/10.1016/j.ejor.2011.05.045
- Majumdar, S.N. and Bray, A.J. (2003) Survival Probability of a Ballistic Tracer Particle in the Presence of Diffusing Traps. Physical Review E, 68, Article ID: 045101(R). http://dx.doi.org/10.1103/PhysRevE.68.045101
- Fernando, P.W. and Sritharan, S.S. (2014) Non-Detection Probability of Diffusing Targets in the Presence of a Moving Searcher. Communications on Stochastic Analysis, 8, 191-203.














































