International Journal of Organic Chemistry
Vol.09 No.02(2019), Article ID:92964,11 pages
10.4236/ijoc.2019.92008
Synthesis of Novel 4-Thiazolidinone and Bis-Thiazalidin-4-One Derivatives Derived from 4-Amino-Antipyrine and Evaluated as Inhibition of Purine Metabolism Enzymes by Bacteria
Reda M. Abdel Rahman1, Abdulrahman S. Alharbi1, Nawaa A. Alshammari1,2*
1Department of Chemistry, Faculty of Science, King Abdul Aziz University, Jeddah, Saudi Arabia
2Department of Chemistry, Faculty of Science, Northern Borders University, Rafha, Saudi Arabia

Copyright © 2019 by author(s) and Scientific Research Publishing Inc.
This work is licensed under the Creative Commons Attribution International License (CC BY 4.0).
http://creativecommons.org/licenses/by/4.0/



Received: March 13, 2019; Accepted: June 9, 2019; Published: June 12, 2019
ABSTRACT
Novel 4-thiazolidione and 1,4-bis-thiazolidinone derivatives bearing antipyrine moiety have been obtained from condensation of 4-aminoantipyrine 1 with aromatic/heteroaldehydes followed by cycloaddition with mercaptoacetic acid in nonpolar solvents. Structure of the products has been deduced upon their elemental analysis and spectral measurements. Most of the targets evaluated as enzymatic effect towards some bacteria (E. coli) in compare with Xanthine oxidase (from buttermilk) where the role of compounds is an inhibition of purine metabolism enzymes caused by E. coli.
Keywords:
Synthesis, 4-Thiazolidinones, Antipyrine, Inhibition of Purine Metabolism Enzymes, Bacteria

1. Introduction
The use of 4-thiazolidinone as chemical fertilizers to increase the yield of crops and pesticides to eliminate all kinds of parasites able to attack the cultivation is becoming more and more important because of the great problem facing the world to provide food to an increasing population [1] . Recently, 4-thiazolidinones derivatives exhibited a wide spectrum of biological medicinal and pharmacological properties such as antibacterial, antioxidant, and hypoglycemic activity [2] . Most of 4-thiazolidinones synthesized exhibited antifungal and antibacterial activity [3] [4] [5] . 4-Amino-antipyrine showed various important properties as an anti-inflammatory [6] , antimicrobial [7] and as an inhibitor of mild steel corrosion in HCl solution [8] . Also, it’s used to eliminate some metal ions as an antifungal agent [9] . Its interest that Schiff’s base analogs of 4-amino-antipyrine exhibited antibacterial and cytotoxic activities [10] . Because of these important results and variables observations, the present work prompted us to synthesize some new Schiff’s bases derived from condensation of 4-amino-antipyrine with aromatic aldehydes followed by cycloaddition with thioacetic acid to obtain the thiazolidin-4-ones in view of their an enzymatic as inhibition of purine metabolism enzymes caused by E. coli. It is known that E. coli strains do not cause disease, but virulent strains can cause gastroenteritis, urinary tract infections, neonatal meningitis, hemorrhagic colitis, and Crohn’s disease. Common signs and symptoms include severe abdominal cramps, diarrhea, hemorrhagic colitis, vomiting, and sometimes fever. Some strains of E. coli, for example, O157:H7, can produce Shiga toxin (classified as a bioterrorism agent). This toxin causes premature destruction of the red blood cells, which then clog the body’s filtering system, the kidneys, causing hemolytic-uremic syndrome (HUS). For these reasons, we focused on synthesize some compounds act as inhibitors for E. coli [11] .
2. Chemistry
The Schiff’s base of 4-amino-antipyrine is a group of systems showed a wide range of biological activities having the azomethine (-N=CH-) active pharmacophore, which plays major roles in their bio-active properties [10] . Also, the presence of cyclic (NCS-C=O) group in thiazolidin-4-ones often enhances those biological and pharmacological properties [12] [13] [14] [15] . Similarly, condensation of 4-aminoantipyrine (1) with selective halogenated aromatic aldehydes and/or heteroaldehydes in refluxing EtOH, yielded the Schiff’s base 2a-f (Scheme 1).
The main aim of the present work is to synthesize of new 4-thiazolidinone bearing antipyrine moiety. Thus, cycloaddition reaction of mercaptoacetic acid with a Schiff’s bases 2a,e,f in refluxing with non-polar solvent as dioxane produced 3-(1'-phenyl-2',3'-dimethyl-5'-oxo-pyrazol-4'-yl) thiazolidin-4-ones (3) (Scheme 1).
Due to the order of nucleophilicity as S > O > N > C, the formation of compounds 3 may be by attack of S− on a more electrophilic carbon of Schiff’s bases 2 followed by elimination of one molecule of H2O (Figure 1).
On other hand, condensation of 4-aminoantipyrine (1) with 1,4-terphthaldehyde (2:1 by mole) in refluxed EtOH, afforded 4,4'-((1,4-phenylenebis (methaneylylidene))bis(azaneylylidene))bis(1,5-dimethyl-2-phenyl-1,2-dihydro-3H-pyrazol-3-one) (4) (Scheme 2).
Similarly, cycloaddition reaction of bis compound 4 with mercaptoacetic acid in refluxing dioxane furnished 2,2'-(1,4-phenylene)bis(3-(1,5-dimethyl-3-oxo-2-phenyl-2,3 -dihydro-1H-pyrazol-4-yl)thiazolidin-4-one) (5) (Scheme 2). Compound 5 also obtained from refluxing of compound 1 with 1,4-terphthaldehyde (2:1 by mole) in excess mercaptoacetic acid in abs. EtOH with a few drops of piperidine for a long time (Scheme 2).
Formation of compound 5 may be as a nucleophilic attack of S− on a more electrophilic center of Schiff base 4 to give the thioacetic acid derivative, which upon refluxing gave the 4-thiazolidinone via losing of H2O (Figure 2).
3. Results and Discussion
Former structure of the new compounds 2-5 established from corrected elemental analysis and their spectral data. The UV spectrum of compound 2a recorded the absorption band at λmax 395 nm, indicated the formation of bio-conjugated systems (N=CH-). FT-IR spectra of Schiff bases 2 exhibited ῡ at 3175 - 3040 & 3035 - 3025 cm−1 for stretching of aromatic CH, with an intense band at ῡ 1680 cm−1 for C=O.

Scheme 1. Synthesis of compounds 2a-f and 3a,e,f.

Scheme 2. Synthesis of compounds 4 and 5.
Figure 1. Formation of compound 3 from 2.
Figure 2. Formation of compound 5 from 4.
Besides, presence of ῡ at 1590 - 1575 cm−1 for C=N and 2980-2915 cm−1 (stretching modes) with the deformation of aliphatic CH3 at ῡ 1480 - 1440 cm−1.
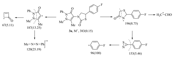
1H NMR spectra of compound 2a display mainly of two sharp signals at δ 2.25 and 3.0 ppm for N-Me & C-Me protons. Also, it showed δ at 6.80 - 7.90 ppm, 8.2 - 8.5 ppm for aromatic protons with d,d of F-adjacent aromatic protons, besides, δ at 9.4 and 6.3 ppm attribute for CH=N protons. Moreover, mass fragmentation pattern of compound 3a recorded a molecular ion peak with the base peak at m/z 95 attribute to C6H4F ion (Figure 3).
UV absorption spectra of compounds 3 showed λmax 275 nm, lower than the corresponding Schiff’s bases 2. IR spectra of both the compounds 3&5 showed the absorption bands at ῡ at 1720, 1680 cm−1 for true C=O, with lacks of NH groups and or CH=N. 1H NMR spectra of both the compounds 3&5 exhibited a new resonated signal at δ 4 - 3.5 ppm for the presence of CH2 of 4-thiazolidinone with lacks of δ at 9.5 ppm of CH=N, which confirm that structures.
A 13C NMR spectrum of compound 4 recorded a different type of carbons which confirm that structure which gives us a good indication about that structure (Figure 4).
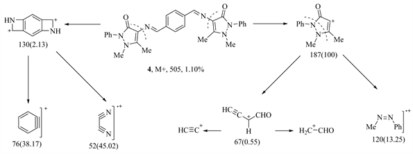
Also, mass fragmentation pattern of compound 4 showed the molecular ion peak at m/e 505 with the base peak at m/z 187 attribute to antipyrine ion (Figure 5 & Figure 6).
In addition, 13C NMR spectrum of compound 5 recorded mainly resonated signals at δ 119 - 118 ppm for cyclic C-S-C with δ at 70 and 170 ppm for CH2 and C=O carbons.
Finally, mass fragmentation pattern of compound 5 recorded the molecular ion peak with the base peak at 187 m/z attribute to 1,5-dimethyl-3-oxo-2-phenylpyrazol ion (Figure 7 & Figure 8).
It is interest that, UV-absorption spectral study showed that λmax of compound 4 is higher than λmax of compound 5, which attribute to inhibition of the conjugated system formed of 4 to an isolated thiazolidinone moiety.
Figure 3. Mass fragmentation pattern of compound 3a.
Figure 4. 13C NMR data (δ ppm) of compound 4.
Figure 5. Mass fragmentation pattern of compound 4.
Figure 6. Mass Spectrum of compound 4.
Figure 7. Mass fragmentation pattern of compound 5.
Figure 8. Mass Spectrum of compound 5.
4. Biological Inhibition of Purine Metabolism Enzymes
All the synthesized compounds evaluated as enzymatic inhibitors towards purine metabolic by bacteria. The antibacterial effects can be deduced through one of five fundamental mechanisms 1) inhibition of cell-wall synthesis 2) interference with the function of the cytoplasmic membrane 3) inhibition of protein synthesis and 4) interference with cytoplasmic metabolism and final 5) inhibition of nucleic acid fission. A possible mechanism of action is the formation of a type of complexes between different centers, one from the positive microorganisms and the other from the negative drug [16] . According to these finding, the present work aimed to synthesize some new Schiff’s bases and the corresponding thiazolidin-4-ones bearing antipyrine moiety and evaluate their enzymatic properties towards purine metabolic enzymes by bacteria. The new compounds tested at concentrations 32 and 131 μM in the case of E. coli (PNP) and 45 - 65 μM in the case of XAO [17] . Since the analogs Schiff’s base and the corresponding thiazolidin-4-ones, e.q. Allopurinol has therapeutic applications as known as potent inhibitors of the xanthine oxidase (XAO) Enzyme [18] . The IC50 values are given in (Table 1), were insensitive to the concentration of the m7 Guo substrate, indicating a non-competitive type of the inhibition. Enzymatic phosphorolysis of m7 Guo assayed in 50 μM phosphate pH 7.0.
From the results obtained, we can be concluded that the tested compounds have indirect effects on the role of the tested organism. The high IC50 values indicated that the good inhibition toward organism and vice versa low IC50 values give good to moderate inhibition for purine metabolism enzymes.
The order of the inhibitionactivity is as 3a > 4 > 2a > 5 > 3f > 3e. A higher activity of compound 3a may attribute to the presence of F-atom and NCS of thiazolidin-4-one. Also, both compounds 4 and 5 refer to the presence of two thiazolidin-4-ones and two Schiff bases units.
5. Experimental
The melting point recorded on Stuart scientific SMP3 (Bibby, UK) melting point apparatus and reported as uncorrected. A Perkin Elmer (Lambda EZ-2101) double beam spectrophotometer (190 - 1100 nm) used for recording the electronic spectra. A Perkin Elmer model RXI-FT-IR 55,529 cm−1 used for recording the FT-IR spectra. A Brucker advance DPX 400 MHz using TMS as an internal standard for recording the 1H/13C NMR spectra in CDCl3 (δ in ppm). AGC-MS-QP 1000 Ex model used for recording the mass spectra. Elemental analysis performed on Micro Analytical Center of National Reaches Center-Dokki, Cairo, Egypt.
5.1. Schiff’s Bases 2a-2f
A mixture of compound 1 (0.05 mol) and selective aromatic and heteropolyaldehydes (0.05 mol) in abs. EtOH (100 ml) heated under reflux for 1 h, cooled. The solid obtained filtered off and crystallized from suitable solvent to give 2a-2f respectively.
Table 1. The enzymatic effect of the new compounds on the bacterial (E. coli) purine-nucleoside phosphorylase and xanthine oxidase from buttermilk.
2a. EtOH, yield 83%. M.p: 210˚C - 212˚C. UV (EtOH λmax nm): 320. FT-IR (ATR) ῡ cm−1: 3060, 3040 (aromatic CH), 2950, 2880 (aliphatic CH3), 1670 (C=O), 1580 (C=N), 1200 (bending CH=C), 1250 (C-F). 1 H NMR (CDCl3) δ ppm: 9.40 (s, 1H, -CH=C), 8.20, 8.00 (d,d, H adjacent to F-aromatic), 6.8 - 6.6 (m, 2H, aromatic H), 6.5 - 6.2 (m, 5H, phenyl protons), 2.2, 3.2 (each s, Me-C & Me-N). Anal. Calcd. for C18H16FN3O (309): C, 69.89; H, 5.21; F, 6.14; N, 13.58%. Found: C, 69.45; H, 5.10; F, 6.07; N, 13.38%.
2b. THF, yield 88%. M.p: 227˚C - 229˚C. FT-IR (ATR) ῡ cm−1: 2900, 2880 (aliphatic CH3), 1680 (C=O), 1610 (exo CH=N), 880, 830, 810 (ArH), 780 (C-Br). Anal. Calcd. for C18H16BrN3O (369): C, 58.39; H, 4.36; Br, 21.58; N, 11.35%. Found: C, 58.31; H, 4.26; Br, 21.21; N, 10.99%.
2c. EtOH, yield 87%. M.p: 128˚C - 130˚C. FT-IR (ATR) ῡ cm−1: 2980, 2870 (aliphatic CH3), 1670 (C=O), 1620 (exo CH=N), 870, 830 (ArH), 700 (C-Cl). Anal. Calcd. for C18H16ClN3O (325): C, 66.36; H, 4.95; Cl, 10.88; N, 12.90%. Found: C, 65.99; H, 4.82; Cl, 10.82; N, 12.73%.
2d. MeOH, yield 88%. M.p: 253˚C - 255˚C. FT-IR (ATR) ῡ cm−1: 2960, 2880 (aliphatic CH3), 1680 (C=O), 1610 (exo CH=N), 910, 860, 830 (ArH). Anal. Calcd for C20H18N4O (330): C, 72.71; H, 5.49; N, 16.96%. Found: C, 72.68; H, 5.38; N, 16.77%.
2e. MeOH, yield 89%. M.p: 196˚C - 198˚C. FT-IR (ATR) ῡ cm−1: 2970, 2880 (aliphatic CH3), 1680 (C=O), 1620 (exo CH=N), 820, 810 (ArH). Anal. Calcd. for C27H26N4O (422): C, 76.75: H, 6.20: N, 13.26 %. Found: C, 76.45; H, 5.99; N, 13.15 %.
2f. THF, yield 85%. M.p: 165˚C - 167˚C. FT-IR (ATR) ῡ cm−1: 2975, 2890 (aliphatic CH3), 1678 (C=O), 1618 (exo CH=N), 1200 - 1100 (C-S-C), 834, 810 (ArH). Anal. Calcd. for C24H20N4SO (412): C, 69.88; H, 4.89; N, 13.58; S, 7.77%. Found: C, 69.81; H, 4.80; N, 13.29; S, 7.55%.
5.2. 3-(1'-Phenyl-2',3'-Dimethyl-5'-Oxo-Pyrazol-4'-yl)- Thiazolidin-4-Ones (3a,3e,3f)
A mixture of 2a, 2e & 2f (0.01 mol) and mercaptoacetic acid (0.15 mol) in dioxane (70 ml) heated under reflux for 6 - 8 h, cooled, then neutralized with eq. NaHCO3. The solid produced filtered off and crystalized from suitable solvent to give yellowish crystals 3a, 3e & 3f respectively.
3a. Dioxane, yield 60%: M.p: 185˚C - 187˚C. UV (λmax nm) 275. FT-IR (ATR) ῡ cm−1: 3060, 3040 (aromatic CH), 2950, 2840 (aliphatic CH), 1700, 1670 (2C=O), 1250 (C-F), 1190 (C-S-C), 700 (C-F). 1H NMR (CDCl3) δ ppm: 8.2, 8.0, 6.8 - 6.4 (m, 9H, aromatic protons), 4.8 (s, 1H, exo), 4.0 (m, 2H, CH2), 3.1 (s, 3H, N-Me), 2.3 (s, 3H, C-Me). 13C NMR (CDCl3) δ ppm: 172 (C=O), 158 (C=O), 135 (C=C), 130 - 122 (aromatic carbons), 125 (C-F). 118 (C-S-C), 62 (CH2), 40, 38 (-C-N, -C-C). M/S (m/e, Int. %): 383 (0.15), 196 (8.75), 187 (13.25), 120 (25.19), 95 (100), 67 (5.11). Anal. Calcd. for C20H18FN3O2S (383): C, 62.65; H, 4.73; F, 4.95; N, 10.96; S, 8.36%. Found, C, 62.49; H, 4.55; F, 4.81; N, 10.79; S, 8.11%.
3e. EtOH: yield 55%, M.p: 210˚C - 212˚C. FT-IR (ATR) ῡ cm−1: 2982, 2876 (aliphatic CH3), 1710, 1678 (2C=O), 1200 - 1180 (C-S-C), 912, 820 (ArH). Anal. Calcd. for C29H28N4O2S (496): C, 70.14; H, 5.68; N, 11.28; S, 6.46%. Found: C, 70.01; H, 5.12; N, 11.01; S, 6.29%.
3f. MeOH, yield 50%, M.p: 180˚C - 182˚C. FT-IR (ATR) ῡ cm−1: 2980, 2880 (aliphatic CH3), 1700, 1675 (2C=O), 1200 - 1190 (C-S-C), 880, 830, 810 (ArH). Anal. Calcd. for C26H22N4O2S2 (486): C, 64.18; H, 4.56; N, 11.51; S, 13.18%. Found: C, 63.95; H, 4.12; N, 11.33; S, 12.98%.
5.3. 4,4'-((1,4-Phenylenebis(Methaneylylidene)) Bis(Azaneylylidene))Bis(1,5-Dimethyl-2-Phenyl-1,2- Dihydro-3H-Pyrazol-3-One) (4)
Compound 1 (0.02 mol) and terphthaldehyde (0.01 mol) in abs. EtOH (50 ml) warmed for 30 min, then cooled. The solid produced filtered off and crystallized from AcOH to give 4, yield 90%, M.p: 222˚C - 224˚C. UV (EtOH λmax nm) 396. FT-IR (ATR) ῡ cm−1: 3175 - 3040, 3035 - 3025 (aromatic CH), 1655 (azomethine HC=N), 1650 (C=O), 1590 - 1575 (C=N), 2980, 2915 (str. Aliphatic CH3), 1480 - 1440 (bending CH3). 1H NMR (CDCl3) δ ppm: 9.40 (s, 1H, CH=N), 7.90 - 6.80 (m, 14H, aromatic CH), 3.00 (s, 3H, N-Me), 2.25 (s, 3H, C-Me). 13C NMR (CDCl3) δ ppm: 172 (C=O), 140 (CH=N), 135 (C=C of pyrazole), 130 - 120 (aromatic carbons) 45 (Me-N), 40 (Me-C). M/S (m/z, Int. %): 505 (M+1, 1.01), 187 (100), 120 (13.25), 76 (38.7), 67 (0.55), 52 (45.00). Anal. calcd. for C30H28N6O2 (504): C, 71.41; H, 5.59; N, 16.66%. Found, C, 70.96; H, 5.48; N, 16.47%.
5.4. 2,2'-(1,4-Phenylene)Bis(3-(1,5-Dimethyl-3-Oxo-2-Phenyl-2,3- Dihydro-1H-Pyrazol-4-yl)Thiazolidin-4-One) (5)
Compound 4 (0.01 mol), mercaptoacetic acid (0.04 mol) in dioxane (50 ml) heated under reflux for 8 - 10 h, cooled then neutralized by aq. NaHCO3. The solid obtained filtered off and crystallized from MeOH, to give 5, yield 66%, M.p: 275˚C - 277˚C. FT-IR (ATR) ῡ cm−1: 3080, 3040 (aromatic CH), 2910, 2850 (aliphatic CH), 1700, 1660 (2C=O), 1480, 1440 (deform. CH2), 1190 (C-S-C), 880, 820 (aromatic rings). 13C NMR (CDCl3) δ ppm: 172, 162 (2C=O), 132 (C=C), 130 - 126 (aromatic carbons), 119 (C-S-C). 70 (CH2), 40 & 38 (Me-N & Me-C). M/S (m/z, Int %): 654 (0.11), 187 (100), 176 (1.5), 159 (2.11), 101 (5.11), 76 (80.13), 74 (1.2). Anal. Calcd. for C34H32N6O4S2 (652): C, 62.56; H, 4.94; N, 12.87; S, 9.82%. Found: C, 62.21; H, 4.63; N, 12.59; S, 9.74%.
5.5. Formation of Bis-Compound 5
A mixture of compound 1 (0.02 mol), 1,4-terphthaldehyde (0.01 mol), and excess of mercaptoacetic acid in EtOH/ drops piperidine heated under reflux for 24 h, cooled. Then treated with aq. K2CO3 followed by addition of drops of HCl. The solid obtained, filtered off and crystallized from EtOH to give 5. Melting point of both methods and a mixed melting point not changed.
6. Conclusion
Some new 4-thiazolidinones and bis-compounds have been synthesized and derived from condensation of 4-aminoantipyrine with aromatic aldehyde followed by cycloaddition of thioglycolic acid in a non-polar solvent. Fluorine substituted thiazolidin-4-one moiety bearing antipyrine nucleus enhanced the enzymatic effects of the bacteria, which agreed with last results published [19] [20] [21] .
Acknowledgements
Many thanks for King Abdulaziz University, Jeddah, SA.
Conflicts of Interest
The authors declare no conflicts of interest regarding the publication of this paper.
Cite this paper
Rahman, R.M.A., Alharbi, A.S. and Alshammari, N.A. (2019) Synthesis of Novel 4-Thiazolidinone and Bis-Thiazalidin-4-One Derivatives Derived from 4-Amino-Antipyrine and Evaluated as Inhibition of Purine Metabolism Enzymes by Bacteria. International Journal of Organic Chemistry, 9, 85-95. https://doi.org/10.4236/ijoc.2019.92008
References
- 1. Abdel-Rahman, R.M. (2001) Chemoselective Heterocyclization and Pharmacological Activities of New Heterocycles: A Review. Part V-Synthesis of Biocidal 4-Thiazolidinones Derivatives. Bollettino Chimico Farmaceutico, 140, 401-410.
- 2. Kumar, K.S., Rao, A.L. and Rao, M.B. (2018) Design, Synthesis, Biological Evaluation and Molecular Docking Studies of Novel 3-Substituted-5-[(Indol-3-yl) Methylene]-Thiazolidine-2,4-Dione Derivatives. Heliyon, 4, e00807. https://doi.org/10.1016/j.heliyon.2018.e00807
- 3. Abdel-Rahman, R.M. and Ali, T.E. (2013) Synthesis and Biological Evaluation of Some New Polyfluorinated 4-Thiazolidinone and α-Aminophosphonic acid Derivatives. Monatshefte für Chemie-Chemical Monthly, 144, 1243-1252.https://doi.org/10.1007/s00706-013-0934-6
- 4. Makki, M.S., Alfooty, K., Abdel-Rahman, R.M. and El-Shahawi, M. (2016) Synthesis, Voltammetric and Analytical Applications of Some Fluorine Substituted Spirosteroidalthiazolidin-4-One Derivatives of Sulfa Drugs. Journal of the Chinese Chemical Society, 63, 189-198. https://doi.org/10.1002/jccs.201500240
- 5. Taib, L.A. (2018) Synthesis and Antifungal Activity of Some New Fluorine-Substituted 4-Thiazolidinone Bearing 1,2,4-Triazinone. International Journal of Organic Chemistry, 8, 170-175. https://doi.org/10.4236/ijoc.2018.81012
- 6. Sakthivel, M., Ramaraj, S., Chen, S.-M. and Dinesh, B. (2018) Synthesis of Rose Like Structured LaCoO3 Assisted Functionalized Carbon Nanofiber Nanocomposite for Efficient Electrochemical Detection of Anti-Inflammatory Drug 4-Aminoantipyrine. Electrochimica Acta, 260, 571-581. https://doi.org/10.1016/j.electacta.2017.11.122
- 7. Aiad, I.A., Tawfik, S.M., El-Shafie, M. and Rhman, A.L.A. (2018) 4-Aminoantipyrine Derived Cationic Surfactants: Synthesis, Characterization, Surface Activity and Screening for Potential Antimicrobial Activities. Egyptian Journal of Petroleum, 27, 327-334. https://doi.org/10.1016/j.ejpe.2017.05.006
- 8. El-Rehim, S.A., Ibrahim, M.A.M. and Khaled, K.F. (1999) 4-Aminoantipyrine as an Inhibitor of Mild Steel Corrosion in HCl Solution. Journal of Applied Electrochemistry, 29, 593-599. https://doi.org/10.1023/A:1003450818083
- 9. Tyagi, M., Chandra, S., Tyagi, P., Akhtar, J., Kandan, A. and Singh, B. (2017) Synthesis, Characterization and Anti-Fungal Evaluation of Ni (II) and Cu (II) Complexes with a Derivative of 4-Aminoantipyrine. Journal of Taibah University for Science, 11, 110-120. https://doi.org/10.1016/j.jtusci.2015.11.003
- 10. Alam, M.S., Lee, D.-U. and Bari, M.L.(2014) Antibacterial and Cytotoxic Activities of Schiff Base Analogues of 4-Aminoantipyrine. Journal of the Korean Society for Applied Biological Chemistry, 57, 613-619.https://doi.org/10.1007/s13765-014-4201-2
- 11. Lim, J.Y., Yoon, J.W. and Hovde, C.J. (2010) A Brief Overview of Escherichia coli O157:H7 and Its Plasmid O157. Journal of Microbiology and Biotechnology, 20, 5-14.
- 12. Youssef, A.M., White, M.S., Villanueva, E.B., El-Ashmawy, I.M. and Klegeris, A. (2010) Synthesis and Biological Evaluation of Novel Pyrazolyl-2,4-Thiazolidinediones as Anti-Inflammatory and Neuroprotective Agents. Bioorganic & Medicinal Chemistry, 18, 2019-2028. https://doi.org/10.1016/j.bmc.2010.01.021
- 13. Wang, Z., Liu, Z., Lee, W., Kim, S.-N., Yoon, G. and Cheon, S.H. (2014) Design, Synthesis and Docking Study of 5-(Substituted Benzylidene) Thiazolidine-2,4-Dione Derivatives as Inhibitors of Protein Tyrosine Phosphatase 1B. Bioorganic & Medicinal Chemistry Letters, 24, 3337-3340. https://doi.org/10.1016/j.bmcl.2014.05.099
- 14. Wu, Y., Tai, H.-H. and Cho, H. (2010) Synthesis, and SAR of Thiazolidinedione Derivatives as 15-PGDH Inhibitors. Bioorganic & Medicinal Chemistry, 18, 1428-1433. https://doi.org/10.1016/j.bmc.2010.01.016
- 15. Sucheta Tahlan, S. and Verma, P.K. (2017) Biological Potential of Thiazolidinedione Derivatives of Synthetic Origin. Chemistry Central Journal, 11, 130. https://doi.org/10.1186/s13065-017-0357-2
- 16. Dipalma, J.R., Digregorio, G. and Basic, J. (1990) Pharmacology in Medicine. 3rd Edition, Mc Graw-Hill, New York.
- 17. Kulikowska, E., Bzowska, A., Wierzchowski, J. and Shugar, D. (1986) Properties of Two Unusual, and Fluorescent, Substrates of Purine-Nucleoside Phosphorylase: 7-Methylguanosine and 7-Methylinosine. Biochimica et Biophysica Acta—Protein Structure and Molecular Enzymology, 874, 355-363.https://doi.org/10.1016/0167-4838(86)90035-X
- 18. Borges, F., Fernandes, E. and Roleira, F. (2002) Progress Towards the Discovery of Xanthine Oxidase Inhibitors. Current Medicinal Chemistry, 9, 195-217.https://doi.org/10.2174/0929867023371229
- 19. Ali, T.E. and Abdel-Rahman, R.M. (2014) Synthesis and Antioxidant Activities of Some Novel Fluorinated Spiro [Oxindole-Thiazolidine] Fused with Sulfur and Phosphorus Heterocycles. Journal of Sulfur Chemistry, 35, 399-411.https://doi.org/10.1080/17415993.2014.896363
- 20. Abdel-Rahman, R.M., Angawi, R.F. and Al-Mehmadi, A.R. (2017) Synthesis and Biological Evaluation of Fluorine Substituted Pyrazolo[4,3-e][1,2,4] Triazines as Purine Analogues. Journal of Saudi Chemical Society, 21, 495-503.https://doi.org/10.1016/j.jscs.2016.11.004
- 21. Makki, M.S.T., Abdel-Rahman, R.M. and Alshammari, N.A.H. (2019) Synthesis of Novel Fluorine Compounds Substituted-4-Thiazolidinones Derived from Rhodanine Drug as Highly Bioactive Probes. Current Organic Synthesis, 16, 1-10.https://doi.org/10.2174/1570179416666190312150046










