International Journal of Organic Chemistry
Vol.05 No.03(2015), Article ID:58147,9 pages
10.4236/ijoc.2015.53015
Facile Preparation of 1,2-Diols from Chalcones: An NMR Spectroscopy and X-Ray Crystallography Study
Marco A. Obregón-Mendoza1, María Miriam Estévez-Carmona1, Carolina Escobedo-Martínez2, Manuel Soriano-García1*, Raúl G. Enríquez1*
1Instituto de Química, Universidad Nacional Autónoma de México, Ciudad Universitaria, México City, México
2Departamento de Farmacia, División de Ciencias Naturales y Exactas del Campus Guanajuato, Universidad de Guanajuato, México
Email: *habib@unam.mx, *soriano@unam.mx
Copyright © 2015 by authors and Scientific Research Publishing Inc.
This work is licensed under the Creative Commons Attribution International License (CC BY).
http://creativecommons.org/licenses/by/4.0/



Received 8 April 2015; accepted 18 July 2015; published 21 July 2015
ABSTRACT
Structures of 2-(naphthalen-2-ylmethyl)-2,3-dihydro-1H-indene-1,2-diol (C20H18O2), compound 1 and 1-(3,4-dimethoxyphenyl)-3-methoxy-3-(4-nitrophenyl)propane-1,2-diol chloroform (C18H21NO7・CHCl3) compound 2 were established by spectral and X-ray diffraction studies. Compound 1 crystallizes in the orthorhombic space group P212121 with unit cell parameters a = 5.2177 (6), b = 13.903 (2), c = 21.121 (2) Å, Z = 4. Compound 2 crystallizes in the triclinic space group P-1 with unit cell parameters a = 9.238 (1), b = 9.879 (1), c = 12.636 (1) Å, α = 102.004 (1), β = 92.356 (1), γ = 90.779 (1)˚, Z = 2. These two new molecules arise from a facile preparation of 1,2-diols from chalcones and have been fully characterized. Based on the crystallographic information obtained for compound 1, the relative configuration for the chiral centers is 1S and 2S. In structure 1, both hydroxyl groups adopt an anti-conformation with a torsion angle O1-C1-C2-O2 value of 93.1 (2)˚ [in molecule 2, both hydroxyl groups adopt a trans-conformation with a torsion angle O1-C1-C2-O2 value of −171.0 (2)˚]. In both structures, the molecules in the crystal are linked by intermolecular hydrogen bonds O-H・・・O and C-H・・・O interactions and adjacent molecules are interconnected by intermolecular weak C-H・・・π and C-H・・・Cl interactions which give additional support to molecular packing stability.
Keywords:
C20H18O2, C18H21NO7∙CHCl3 Diols, Chalcones

1. Introduction
In the field of organic chemistry, there is a need to optimize stereospecific reactions in order to get the desired products within a high yield. The synthesis of diols from carbonyl derivatives has been widely used mainly as a previous step for introducing carbon-carbon double bonds, since these methods allow the control of stereochemistry and the position of unsaturation [1] . On the other hand, 1,2-diols are found frequently in natural products in carbohydrates, polyketides, and alkaloids, and for this reason modern synthetic methods of natural products involve enantioselective or catalytic asymmetric procedures [2] . The use of metal hydrides on reduction of ketones to alcohols has been invaluable in the synthesis of diols which is commonly carried out in acidic medium [3] . The use of borohydride gives a selective reduction from α, β-unsaturated ketones to allylic alcohols [4] .
Chalcones or 1,3-diphenylprop-2-en-1-ones are compounds present in plants which are readily synthetized. They are α,β-unsaturated ketones with preferential reactivity towards thiols in contrast to amino and hydroxyl groups [5] [6] .
Here we report two new molecules that arise from a facile preparation of 1,2-diols from chalcones and have been fully characterized by NMR and X-ray crystallography techniques.
2. Experimental
All the chemicals were of reagent grade and were used as received. Solvents were purified by standard methods [7] . Precursors 3'-(naphthalen-2-yl)spiro[indene-2,2'-oxiran]-1(3H)-one was obtained using peroxide of hydrogen and oxidizing double bond of the precursor chalcone and 1-(3,4-dimethoxyphenyl)-2-hydroxy-3-methoxy- 3-(4-nitrophenyl)propan-1-one was obtained using an opening of the precursor epoxide with methanol and sulphuric acid in reflux.
2.1. Physical Measurements
Melting points were determined in on Fisher-Jones melting point apparatus and are uncorrected. IR absorption spectra were recorded in the 4000 - 400 cm−1 range as KBr pellets on a Perkin Elmer 283-B spectrophotometer. 1H and 13C NMR spectra were recorded in CDCl3 and DMSO-d6 on a Unity Varian 300 MHz or 500 MHz spectrometer using TMS as an internal reference.
2.2. Synthesis of Compounds
2-(Naphthalen-2-ylmethyl)-2,3-dihydro-1H-indene-1,2-diol (1)
In a 100 mL of a round-bottom flask, 0.5 mmol of recrystallized 3'-(naphthalen-2-yl)spiro[indene-2,2'-oxi- ran]-1(3H)-one was suspended in 50 mL of distilled ethyl ether at 0˚C with magnetic stirring. Then, 2 mmol of LiAlH4 suspended in 10 mL of ether were added and the mixture was allowed to react for 3 h, followed by SiO2 TLC. After acidification with 10% HCl, the extraction and evaporation of the organic solvent, a crystalline solid mp = 176˚C was obtained which was recrystallized from ethyl acetate: Hexane and 86% yield. 1H NMR (300 MHz CDCl3 -DMSO): δ 2.54 (d,1H, J 15.6Hz,CH2) 3.01 (d,1H,J 15.9Hz, CH2), 3.29 (d, 1H,J 14.4 CH2), 3.45 (d, 1H, J 14.4 CH2), 4.22 (s, 2H, C-OH), 5.0 (s, 1H, C-H), 7.08 - 7.22 (m, 2H, CarylH), 7.22 - 7.42 (m, 2H, CarylH), 7.42 - 7.53 (m, 4H, CarylH), 7.72 - 7.81 (m, 2H, CarylH), 8.03 (d, 1H, J 6.6 Hz, CarylH), 13CNMR (13C{1H} 75.5 MHz, CDCl3-DMSO): δ 34.5 (C-H), 40.9 (C-H), 82.5 ( (C-H), (C-OH)), 84.5 (C-OH), 124.1 (CarylH), 124.3 (CarylH), 124.6 (CarylH), 124.7 (CarylH), 124.7 (CarylH), 124.8 (CarylH), 126.0, (CarylH), 126.0 (CarylH), 127.3 (CarylH), 127.8 (CarylH), 128.5 (CarylH), 132.2 (Caryl), 133.1 (Caryl), 133.2 (Caryl), 140.1 (Caryl), 143.9 (Caryl), IR (1122.86 cm−1 , 1596.43 cm−1, 1927.62 cm−1, 2873.83 cm−1, 3058.53 cm−1, 3283.09 cm−1), EM: M+ 290 (calc. exact mass 290.36) (Scheme 1).
Scheme 1. The preparation of compound 1.
1-(3,4-Dimethoxyphenyl)-3-methoxy-3-(4-nitrophenyl)propane-1,2-diol carbon tetra chloride (2)
In a 100 mL of a round-bottom flask, 0.5 mmol of recrystallized 1-(3,4-dimethoxyphenyl)-2-hydroxy-3-me- thoxy-3-(4-nitrophenyl)propan-1-one was suspended in 50 mL of distilled THF at 0˚C with magnetic stirring. Then, 0.25 mmol of NaBH4 suspended in 10 mL of THF were added and the mixture allowed reacting for 30 mins, followed by SiO2 TLC. After acidification with 10% HCl and the extraction and evaporation of the organic solvent, a crystalline solid mp = 124.5˚C was obtained which was recrystallized from chloroform: hexane with 95% yield. 1H NMR (300 MHz CDCl3): δ 1.762 (s, 1H, C-OH), 3.015 (s, 1H, C-OH), 3.279 (s, 3H, CH3), 3.884 (s, 3H, CH3), 3.896 (s, 3H, CH3), 3.913 (d, 1H, J 7.5 Hz, C-H), 4.294 (d, 1H, J 6.9 Hz, C-H), 4.572 (d, 1H, J 7.2 Hz, C-H), 6.926 (m, 3H, CarylH), 7.599 (d, 2H, J 8.7 CarylH), 8.223 (d, 2H, J 8.7 CarylH), 13CNMR (13C{1H} 75.5 MHz, CDCl3): δ 55.862 (CH3), 55.906 (CH3), 57.071 (CH3), 75.631 (C-OH), 76.403 (C-OCH3), 84.677 (C-OH), 110.185 (CarylH), 110.987 (CarylH), 119.873 (CarylH), 123.384 (CarylH), 128.512 (CarylH), 128.890 (Caryl), 132.459 (Caryl), 146.007 (Caryl), 147.843 (Caryl), 149.140 (Caryl), IR: (1262.64 cm−1, 1346.99 cm−1, 1518.96 cm−1, 2934.76 cm−1, 3474.43 cm−1), EM:M+ 363 (calc. exact mass. 363.13) (Scheme 2).

Scheme 2. The preparation of compound 2.
2.3. Determination of the Crystal Structures
Both X-ray data were collected on a Bruker Smart APEX AXS CCD area detector with a graphite monochromator and Mo Kα radiation (λ = 0.71073 Å) at room temperature by the ω scan mode. All collected data were reduced using SAINT [8] and the empirical absorption corrections were performed using SADABS program [8] . The details were shown in Table 1.
3. Results and Discussion
3.1. Refinement Details
All reflections were defined based on F2. The weighted R-factor wR and goodness of fit S are based on F2, conventional R-factors R are based on F, with F set to zero for negative F2. The threshold expression of F2 > σ (F2) is used only for calculating R-factors (gt) etc., and is not relevant to the choice of reflections for refinement. R-factors based on F2 are statistically about twice as large as those based on F, and R-factors based on all data will be even larger.
3.2. Geometric Details
All esds (except the esd in the dihedral angle between two l.s. planes) are estimated using the full covariance matrix. The cell esds are taken into account individually in the estimation of esds in distances, angles and torsion angles; correlations between esds in cell parameters are only used when they are defined by crystal symmetry. An approximate (isotropic) treatment of cell esds is used for estimating esds involving l.s. planes.
3.3. Structure Details
Both structures were solved by direct methods [9] , and then refined by full-matrix least-squares technique; the position and anisotropic parameters of all the non-hydrogen atoms were obtained.
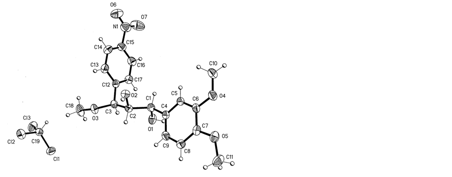
For compound 1, the Flack [10] absolute structure parameter = 0.3 (2) and its absolute configuration is inferred from the known stereochemistry of 3'-(naphthalen-2-yl)spiro[indene-2,2'-oxiran]-1(3H)-one compound deduced from chemical studies. All relevant tables and figures are based on this configuration. Table 2 showed some crystal and refinement parameters. Atomic coordinates and displacement parameters of both compounds were shown in Table 3 and Table 4, these data the structures were gained, which was shown in Figure 1. This figure was drawn with 50% displacement ellipsoids using ORTEP-3 for Windows [11] . The geometry of the molecule was calculated using the WinGX [12] and PARST [13] [14] software’s.
In both structures, the bond distances and bond angles are in good agreement with the corresponding values are within normal ranges. For molecule 1, both hydroxyl groups adopt an anti conformation with a torsion angle O1-C1-C2-O2 value of 93.1 (2)˚ [in molecule 2, both hydroxyl groups adopt a trans conformation with a torsion angle O1-C1-C2-O2 value of −171.0 (2)˚]. In structures 1 the angle and torsion angles that define the central C atom that connects to external naphthalene and indene rings C2-C10-C11, C1-C2-C10-C1 and C2-C10-C11-C12
Table 1. Data collection and handling.
Table 2. Crystal and refinement parameters.
Table 3. Atomic coordinates and displacements parameters (Å2) for compound 1.
are 114.2 (2), −173.9 (2) and −78.9 (3)˚ [in molecule 2, the angle and the torsion angles that define the central C atoms that connects to external phenyl rings C1-C2-C3, C4-C1-C2-C3, C1-C2-C3-C12 are 114.3 (2), −172.5 (2) and −66.7 (2)˚)] respectively. It is apparently that the angle and torsion angle that define the central carbon atoms are similar independently of the side groups involved.
In structure 1, the chiral centers at the C1 and C2 atoms are in the S configuration. The mean planes C1-C9, C11-C20; and C1/C4-C9, C3/C12-C17for structures 1 and 2 make dihedral angles of 28.10 (5), 89.72 (6)˚, respectively. In structure 2, the nitro group attached to the C12-C15 phenyl ring is only 6.3 (1)˚ out of the plane, the torsion angles for O6-N1-C15-C14 and O7-N1-C15-C16 are −0.9 (4) and −0.1 (4)˚, respectively. The methoxy group at C3 adopts an intermediate conformation between eclipsed and gauche conformations with respect to the C3/C12-C17 ring, the torsion angle is 33.0 (3)˚. The methoxy groups attached at C6 and C7 lie almost in the plane of the benzene ring to which they are attached C4-C9, the torsion angles C10-O4-C6-C5 and C11-O5-C7-C8 are 2.2 (3) and 8.2 (4)˚, respectively.
In structure 1, the distances between the Cg gravity centers of naphthalene and indene; between naphthalene symmetry related molecules; and between indene symmetry related rings are 5.20; 5.22 and 4.99 Å, respectively. The distance between the Cg gravity center of the ring C4-C9 and the H3B of a symmetry related molecule is 2.79 Å.
In structure 2, the distances between the Cg gravity centers of phenyl C4-C9 rings; phenyl rings C4-C9 and C12-C17; phenyl ring C4-C9 and H18B of the methoxy group at C3; and phenyl ring C12-C17 and H18C of the
Table 4. Atomic coordinates and displacements parameters (Å2) for compound 2.
methoxy group at C3 are 3.93, 6.68 3.11, and 3.25 Å, respectively.
The crystal packing in both structures 1 and 2 are dominated by O-H・・・O hydrogen bonding interactions, with donor-acceptor distances of 2.705 (2) and 2.765 (2) Å; 2.958 (3) and 2.730 (2) Å. In structure 1, these hydrogen bond interactions generate (9) ring motifs [15] . In molecule 1, each molecule is connected to two of its neighbors via intermolecular hydrogen bonds; the packing is viewed down the c-axis (Figure 2). The structure is further linked by C-H・・・π stacking interactions.

Figure 1. The molecular structures of 1 and 2.
Figure 2. The packing diagram for 1 projected along the c-axis.
In structure 2 each molecule is connected to one of its neighbors via intermolecular hydrogen bonds, to form a two dimensional supramolecular structure along with the bc crystallographic plane (Figure 3). These hydrogen bond interactions generate two (14) and (10) ring motifs [14] . The structure is linked by C-H・・・π stacking and three C-H・・・Cl interactions forming a 3D polymer, the C-H・・・π, distances and angles for Cg gravity centers to C4-C9 and C12-C17 phenyl rings are given in Figure 4. For geometrical details and notations of all of these hydrogen bonds and intermolecular interactions are given in Table 5.
4. Conclusion
The present study demonstrates the synthesis and chemical characterization by IR, 1H-NMR and 13C-NMR spectroscopy of 2-(naphthalen-2-ylmethyl)-2,3-dihydro-1H-indene-1,2-diol (C20H18O2), compound 1 and 1-(3,4-di-
Figure 3. The packing diagram of structure 2 showing the two dimensional supramolecular structure along with the bc crystallographic plane.
methoxy phenyl)-3-methoxy-3-(4-nitrophenyl)propane-1,2-diol chloroform (C18H21NO7・CHCl3) compound 2 provides the evidence of facile preparation of 1,2-diols from chalcones. Single crystals of compound 1 were
Figure 4. The C-H・・・p stacking interactions between adjacent molecules in structure 2.
Table 5. Geometry of the hydrogen bonds and hydrogen bonding interactions (Å, ˚) for compounds 1 and 2.
The letters A, B and C on H atoms are only used for identification purposes for instance the hydroxyl and methyl groups.
successfully grown from solution by slow evaporation technique at room temperature using ethyl acetate as a solvent (compound 2, chloroform: hexane). IR and 1H-NMR are used to confirm the functional groups. During the crystallization process of compound 1, the diasteromer (1S and 2S) was obtained while no chiral reagent was used in the reaction.
Acknowledgements
We are grateful for technical assistance from RocíoPatiño for IR spectra; Nieves Zavala, Héctor Ríos, Rubén Gaviño and Elizabeth Huerta for RMN spectra, Ruben A. Toscano and Simón Hernández for X-ray determinations; Luis Velasco for EM spectra. Financial support from DGAPA, UNAM project PAPIIT IN216606 is gratefully acknowledged.
Cite this paper
Marco A.Obregón-Mendoza,María MiriamEstévez-Carmona,CarolinaEscobedo-Martínez,ManuelSoriano-García,Raúl G.Enríquez, (2015) Facile Preparation of 1,2-Diols from Chalcones: An NMR Spectroscopy and X-Ray Crystallography Study. International Journal of Organic Chemistry,05,137-146. doi: 10.4236/ijoc.2015.53015
References
- 1. Corey, E.J. and Winter, R.A.E. (1963) A New, Stereospecific Olefin Synthesis from 1,2-Diols. Journal of the American Chemical Society, 85, 2677-2678.
http://dx.doi.org/10.1021/ja00900a043 - 2. Notz, W. and List, B. (2000) Catalytic Asymmetric Synthesis of Anti-1,2-diols. Journal of the American Chemical Society, 122, 7386-7387.
http://dx.doi.org/10.1021/ja001460v - 3. Periasamy, M. and Thirumalaikumar, M. (2000) Methods of Enhancement of Reactivity and Selectivity of Sodium Borohydride for Applications in Organic Synthesis. Journal of Organometallic Chemistry, 609, 137-151.
http://dx.doi.org/10.1016/S0022-328X(00)00210-2 - 4. Fuji, H., Ohima, K. and Utimoto, K. (1991) A Facile and Selective 1,2-Reduction of Conjugated Ketones with NaBH4 in the Presence of CaCl2. Chemistry Letters, 20, 1847-1848.
http://dx.doi.org/10.1246/cl.1991.1847 - 5. Baluja, M.G., Municio, A.M. and Vega, S. (1964) Reactivity of lO,p-Unsaturated Ketones toward Sulfhydryl Compounds and Their Antifungal Activity. Chemistry and Industry (London), 50, 2053.
- 6. Dimmock, J.R., Raghavan, S.K., Logan, B.M. and Bigam, G.E. (1983) Antileukemic Evaluation of Some Mannich Bases Derived from 2-Arylidene-1,3-diketones. European Journal of Medicinal Chemistry, 18, 248-254.
- 7. Armarego, W.L.F. and Perrin, D.D. (1997) Purification of Laboratory Chemicals. 4th Edition, Butterworth-Heinemann, Oxford.
- 8. Bruker (2009) APEX2, SAINT and SADABS. Bruker AXS Inc., Madison.
- 9. Sheldrick, G.M. (2007) A Short History of SHELX. Acta Crystallographica, A64, 112-122.
http://dx.doi.org/10.1107/S0108767307043930 - 10. Flack, H.D. (1983) Onenantiomorph-Polarity Estimation. Acta Crystallographica, A39, 876-881.
http://dx.doi.org/10.1107/S0108767383001762 - 11. Brandenburg, K. (2006) DIAMOND. Version 3.1c. Crystal Impact GbR, Bonn.
- 12. Farrugia, L.J. (2012) WinGX and ORTEP for Windows: An Update. Journal of Applied Crystallography, 45, 849-854.
http://dx.doi.org/10.1107/S0021889812029111 - 13. Nardelli, M. (1983) PARST: A System of Fortran Routines for Calculating Molecular Structure Parameters from Results of Crystal Structure Analyses. Computers & Chemistry, 7, 95-98.
http://dx.doi.org/10.1016/0097-8485(83)85001-3 - 14. Nardelli, M. (1995) PARST95—An Update to PARST: A System of Fortran Routines for Calculating Molecular Structure Parameters from the Results of Crystal Structure Analyses. Journal of Applied Crystallography, 28, 659.
http://dx.doi.org/10.1107/S0021889895007138 - 15. Bernstein, J., Davis, R.E., Shimoni, L. and Chamg, N.-L. (1995) Patterns in Hydrogen Bonding: Functionality and Graph Set Analysis in Crystals. Angewandte Chemie International Edition (English), 34, 1555-1573.
http://dx.doi.org/10.1002/anie.199515551
Supplementary Materials
CCDC-1026953 and CCDC-810386 contain the supplementary crystallographic data for compound 1 and 2, respectively. These data can be obtained free of charge via https://www.ccdc.cam.ac.uk/getstructures, by e-mail- ing data_request@ccdc.cam.ac.uk, or by contacting The Cambridge Crystallographic Data Centre, 12 Union Road, Cambridge CB2 1EZ, UK, fax; +44 (0)1223-336033.
NOTES

*Corresponding authors.






