Agricultural Sciences
Vol.06 No.04(2015), Article ID:55965,10 pages
10.4236/as.2015.64044
Composting Onion (Allium cepa) Wastes with Alfalfa (Medicago sativa L.) and Cattle Manure Assessment
G. Pellejero1, A. Miglierina2, G. Aschkar1, R. Jiménez-Ballesta3
1CURZA―National University of Comahue, Viedma, Argentina
2Department of Agronomy, Universidad Nacional del Sur, Bahía Blanca, Argentina
3Department of Geology and Geochemistry, Autonomous University of Madrid, Madrid, Spain
Email: graciela.pellejero@uncoma.edu.ar, amiglier@criba.edu.ar, gabriela.aschkar@uncoma.edu.ar, raimundo.jimenez@uam.es
Copyright © 2015 by authors and Scientific Research Publishing Inc.
This work is licensed under the Creative Commons Attribution International License (CC BY).
http://creativecommons.org/licenses/by/4.0/



Received 25 March 2015; accepted 20 April 2015; published 24 April 2015
ABSTRACT
There is growing interest in the potential for using composts in agricultural and horticultural field crops. The aim of this study is to test the mixture efficiency to produce good quality compost. This paper presents a comprehensive analysis of recycling organic wastes through composting. In an area of approximately 1500 ha, situated in the lower valley of the Rio Negro (Black River), onions are produced. 50% of these onions are processed under Good Agricultural Practices (GAP) and under Good Manufacturing Practices (GMP). The packaging for marketing in processing plants has produced huge volumes of wastes that must be managed according to quality standards. These are composed by scales, roots and leaves, with high C/N ratio. In this study the composting process was studied as a way to recycle ecological and cheap onion waste in order to minimize their environmental impact. The onion residues were mixed with alfalfa and cattle manure. An experiment was carried out in order to determine suitable quality compost (organic product high agronomic value). In order to achieve the objectives, composting processes were carried out in two consecutive years. During the process, some physical, chemical and biological properties of the final product were analyzed and evaluated. The mixtures: OMA, onion-manure-alfalfa; OM, onion-manure; OA, onion-alfalfa, showed a similar behavior. The mixtures more efficient were onion-manure and onion-manure-alfalfa with values close to 50%, while onion-alfalfa yielded only 34%. Reuse of onion waste by composting mixed with cattle manure, is a viable alternative in ecological terms. The final compost obtained could be used as amendment in agriculture practices.
Keywords:
Alfalfa, Cattle Manure, Composting, Mixture Efficiency, Onion, Wastes

1. Introduction
Every human, urban, agricultural or livestock activity generates residue. An inadequate treatment of them may involve an uncontrolled accumulation and the lead to serious damages. Due to the steady increase of waste production, residue is no longer just the end of lively activity. Waste has to be used a resource, creating a cycle.
One of the most important horticultural productions in Argentina is the onion. The production in the lower valley of Rio Negro reaches 1500 ha, which is intended for fresh consumption. The majority is commercialized domestically, and to external markets, mainly to Brazil and Europe. The production designed for exportation follows the GAP (Good Agricultural Practices) standards and GMP (Good Manufacturing Practices). After a harvest, onions are processed in the packing sheds, where the undocking, uprooting, and brushing of the bulbs are made in order to remove cataphylls, which with the discard bulbs, constitute the residue the packaging operation [1] .
Currently, one of the problems certified onion producers face is during classification at the packinghouse. The brush task takes place in dry conditions, and consists of sieving the loose cataphylls and remnants roots, achieving a change of the product appearance. During this process, high volumes of organic waste are released into the environment, particularly during February, March and April, in which the amount exceeds 5000 m3 (Figure 1). These residues are then deposited to the packing sheds and burned. Sometimes they are thrown in landfills or neighboring ponds, causing the residue to disperse throughout the environment, contaminating soil, air and water.
The fulfillment of quality standards for certification demands a treatment and management plan for these organic wastes, with the goal of turning residues into resources. Recycling through composting would be respectful to the environment, and viable from an economic standpoint.
Organic wastes can be processed to produce a high value resource for agricultural production and for the restoration of degraded ecosystems. In fact, its value as an amendment helps to maintain and restore soil organic matter and therefore, the structure, the water dynamics, biological activity, nutrient supply and erosion control; but especially, agricultural valorization of organic waste also helps to reduce the cost of construction and maintenance of landfills and reduce greenhouse gases and leachate contamination.
Novel advancements in composting include addition of several waste types. Information on the effect of application of onion, cattle manure or alfalfa wastes and their optimum dose as well as their interaction effect with N and P fertilizers could be scanty for some crops. Among the different methods of treating organic waste for agricultural purposes, composting is highlighted, [2] and [3] , both ecologically and economically [4] . Mixing certain types of wastes or changing proportions can make a difference in the rate of decomposition and quality. Achieving the best mix is a skill gained through experience rather than an exact science.
Composting is a biological method that transforms organic remains of various materials in a relatively stable product whose use has increased in recent years as an effective choice for improving productivity and soil quality [5] . Composting is also a livestock manure treatment process based on biological decomposition of organic matter under controlled aerobic conditions [6] . It is a microbiological aerobic process which combines mesophyll and thermophile phases, to transform an organic heterogeneous waste, in a stabilized organic matter, free of pathogens, weed seeds and high agronomic value.
Figure 1. Packing shed. Area waste disposal.
Composts are generated from various combinations of feed stocks including municipal solid wastes, animal manures, biosolids, yard wastes and other biodegradable waste by-products. Based on composition, processing, and maturity of composts, the physical, chemical and biological properties (such as bulk density, particle size, carbon, acidity, soluble salts, nutrients or microbial biomass) vary widely.
Some composting tests with diverse wastes have been designed: municipal organic wastes [7] [8] ; co-utiliza- tion of agricultural, municipal and industrial by-products [9] ; potential benefits and risks of land application of sewage sludge [10] ; sewage sludge as nutritional source for horticultural soils [11] and with vermicompost [12] - [14] .
In this paper, we approach the feasibility of composting onion waste with different mixtures of residues from agricultural and livestock activities, with the goal of reusing these products and generating a useful product such as compost addressed. In order to confirm the applicability of the compost, some analytical parameters were considered.
2. Material and Methods
2.1. Description of the Experimental Site and the Experiments Carried out
The field experiment was conducted at the research field of the Area of Agriculture, National University of Comahue-CURZA, situated in the city of Viedma, Río Negro (40˚49'S; 63˚05'W). Wooden structures with a 512 L capacity, called composting bins, were used in the experiment. They were located in an area free of shadows, and surrounded by a living fence of 1 m high, maintained the same conditions for all treatments. In a previous stage, the collection and storage of the materials to be composted was performed (Figure 2 & Table 1):
・ Onion residues (C); remains of leaves, stems, roots and cataphyll together from packing sheds (provided by the company Quequén, producer and exporter of certified onion, located 45 km from the site composting). Almost any organic product suitable for composting.
・ Alfalfa residues (A); comprised of the waste material of a stretch wrapper alfalfa plant for export. Alfalfa used as natural fertilizer product provides many nutritional benefits.
・ Dairy cattle manure ? from our dairy enterprise “The Amalgam” (located 5 km from the study area). Manure from cattle is one of the finest materials that can be added to any compost pile.
2.2. Preparation of Blends
To calculate the proportions of each of the starting materials in each treatment, the methodology used was proposed by [15] . Formulation of the mixtures was performed taking into account the C:N ratios of the different waste; the proportions of each starting material were determined, assuming a ratio C:N equals 30. All blends
Figure 2. Wasted used in composting experiences.
Table 1. Chemical characteristics of the starting materials.
C, total carbon (g∙kg−1); N, total nitrogen (g∙kg−1); C:N ratio carbon: nitrogen.
were calculated, the conversion efficiency and/or performance of composting, as well as the amount by weight (kg) of compost obtained for each kg of mixture, calculated as a percentage.
In this study the main plots consisted of a factorial combination of onion waste, alfalfa and manure cattle. The experimental design was completely randomized design, and consisted of three treatments with three replicates each:
T1, Onion-Manure-Alfalfa (OMA) in a 1:0.5:0.3 proportions.
T2, Onion-Manure (OM) in a 1:1 proportion.
T3, Onion-Alfalfa (OA) in a 1:0.7 proportion.
With defined proportions (Table 2), materials were weighed, mixed and placed in wooden bins (experimental unit), 0.8 m side, with fixed walls and no cover. The mixtures were watered up to 60% of humidity, and they were composted through an open system. In the US, open systems are the most common, while fermenter systems are often referred to as “European” due to its origin [7] . Temperature was measured daily with a digital thermometer. The turned over is performed according to the state of composting; every 20 days in the initial stages, and monthly in the later stages. This enabled the homogenization of the materials, enhancing aeration and temperature. Per each treatment, mixtures were weighed at the beginning and the end of the process, the efficiency conversion and/or performance of the composting was determined.
2.3. Sampling and Measurement of Parameters during Composting
During composting, the temperature was measured daily with a digital thermometer approximately 0.30 cm deep in each bin (experimental units). Nine samplings in mesophyll and thermophilic stages, and two at the stage of maturation and stabilization, with a total of twelve samples were performed at the beginning of the process (day 1). On each date, three samples of 0.5 kg each were also taken at 0.3 m depth.
The following parameters were measured in each sample: Humidity, was determined gravimetrically [16] ; pH was measured in aqueous extract (1:10); electrical conductivity (EC), dSm−1, was measured in the same aqueous extract used to measure the pH; total nitrogen (N), g∙kg−1 was measured according to [17] ; total carbon (C), g∙kg−1 by dry combustion (LECO). The method of Olsen [18] , which is based on extraction with 0.5 M NaHCO3, was used to estimate available P. Cation exchange capacity were determined by acetate ammonic method [19] . Total Na, K, Ca and Mg were obtained through the acid mixture of HNO3/HClO4/HF suggested by Mulchi [20] , using atomic absorption spectrometry. All samples were analyzed in duplicate.
The data were subjected to statistical analysis (ANOVA). The mean results of the treatments were compared with a Tuckey test at 5% [21] .
3. Results and Discussion
3.1. Temperature
Composting is a process that combines microbiological aerobic mesophilic (15˚C - 45˚C) and thermophilic (45˚C - 70˚C) phases for the processing of organic waste into a stable, free of pathogens and weed seeds product that may be applied to the soil as an organic fertilizer [22] . Based on our results the three mixtures tested showed similar behavior. The thermophilic phase was reached after 24 h at temperature up to 60˚, especially in OM and OMA blends. These values indicate a correct sanitation of the materials, with the consequent elimination of the potential pathogens [23] -[25] . 5 or 6 weeks of thermophilic stage can be excessive: it can cause an extensive decomposition, and a late transition to the stabilizing stage [26] . Within an adequate level of humidity, close to
Table 2. Composition of the mixtures.
OMA: Onion-Manure-Alfalfa; OM: Onion-Manure; OA: Onion-Alfalfa.
60%, thermophilic temperatures were maintained during the first ten days of composting (Figure 3). The humidity and temperature decreased after the thermophilic stage.
The first turned over was made after 15 days, it favored the porosity and the oxygenation of the mixtures, and therefore, it increased the microbial activity and the temperature. After 30 days, the temperature decreased below 40˚C. This decrease of the temperature together with lower humidity slowed the microbial activity. After 50 days, all the mixtures had a temperature of approximately 15˚, coinciding with the end of the cooling phase, and the beginning of the ripening phase [3] .
3.2. Humidity
Moisture content control is the key for composting [27] [28] . Moreover, optimum water content is essential for all the organisms in the compost system to live and move in; also become free nutrients in solution to assimilate them. Optimum moisture requirements for successful composting of a wide variety of organic wastes range from 25% to 80%; otherwise too high or too low moisture contents canto diminish composting process efficiencies.
In our study the process started with a 60% of humidity content; decreasing up to 50% values during the first days (Figure 4). Later, some fluctuation between the recommended values (40% - 60%) was observed [27] . The lowest levels of humidity were observed after 15 days of experiment, especially in the OMA mixture, with values below 40%. This provokes a marked decrease of the temperature and reduces microbial activity. With irrigation, moisture percentages were closed to 60%, reactivating degradation. After 30 days, a percentage slightly over 60% was detected in OA mixture, but successive turnings, allowed a good aeration of the entire composting mass, thus preventing the generation of anaerobic processes.
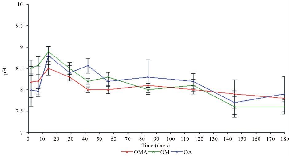
3.3. pH
During composting, the three mixtures showed similar tendencies (Figure 5). A pH above 7.5 during the process means that a correct decomposition is being carried out [29] . All treatments started at an alkaline pH: 8.2 (OMA), 8.5 (OM), 8(OA). Since the majority of the decomposition processes occur between 5.5 and 9, [30] , values between 5.5 and 8 are required to achieve better results [26] . An increment of the ammonia (NH3) content during the first days provoked an increment of the pH. This increment coincides with the thermophilic stage, and it is due to the decomposition of the proteins [31] . OM showed the highest pH values, while the levels of OMA
Figure 3. Evolution of the temperature during the composting in the three different mixtures: OMA, onion-manure-alfalfa; OM, onion-manure; OA, onion-alfalfa. Vertical lines represent the standard error.
Figure 4. Change in humidity values (%) in the three different mixtures during the composting: OMA, onion-manure- alfalfa; OM, onion-manure; OA, onion-alfalfa. Vertical lines represent the standard error.
Figure 5. pH variation in the three different mixtures during the composting: OMA, onion-manure-alfalfa; OM, onion- manure; OA, onion-alfalfa. Vertical lines represent the standard error.
and OA ranged between 8.5 and 9. During the mesophyll stage, a decrease in (
) levels could be due to a possible nitrification [30] .
According to different temperature ranges there are two type of bacteria populations in the compost system: mesophilic (dominant at temperatures up to 40˚C) and thermophilic (at temperatures from 40˚C to 70˚C). Beck-Friis et al. [32] found the change from mesophilic to thermophilic conditions during the initial stage of composting coincided with a change in pH from acidic (pH = 4.5 - 5.5) to alkaline (pH = 8 - 9).
Within the first 80 days, the treatments showed fluctuations, the values were stabilized when ripening stage, After 180 days, the process was terminated, with final pH values: 7.8 (OMA), 7.6 (OM), 7.3 (OA). This parameter is typically used as an indirect control of the aeration process, concluding with the results, that the aeration was adequate.
3.4. Electrical Conductivity (E.C.)
The three mixtures showed a similar trend in the process (Figure 6). Initial values were over 2 dS∙m−1. Only the OM mixture registered an increased up to 3 dS∙m−1 during the first days of composting, in the thermophilic stage. It was likely due to an increased degradation during this phase.
A decrease up to 1.2 dS∙m−1 was registered after 15 days; we can explain this fact by a salt leaching due to successive additions of water. Until 130 days, values were stabilized between 1 and 2 dS∙m−1. Later, a slight increase of soluble salts was observed because there was a lower content of humidity, since the additions of water were decreasing.
At the end of the process, registered values were: 2.2 dS∙m−1 (OMA), 1.9 dS∙m−1 (OE) y 2 dS∙m−1 (OA). Similar results were obtained by [33] and [34] .
3.5. Carbon, Nitrogen and C:N Ratio
Carbon (C) and nitrogen (N) are the two most important nutrients (in the compost) that the microbes require for their metabolism. Tognetti et al., [35] , stated that the content of C depend of the type of waste and the composting system. Similar levels are found between OM (88 g∙kg−1) and OA (87 g∙kg−1), while OMA shows lower values (51 g∙kg−1). The same trend was observed with total N: OM and OA did not differ among themselves and OMA showed the lowest level (4.8 g∙kg−1). The first two had values close to 10 g∙kg−1, range suggested in the literature [36] [37] .
The loss of
and the organic waste degradation speed are conditioned by the C:N ratio [7] . Results showed significant effect in all mixtures, the C:N ratio was 30, and decreased to 15 after 25 days (Figure 7). In this period, there is a great activity of the microorganisms responsible for the degradation of the more soluble carbon compounds of onion cathapylls. Furthermore, volatilization of ammonia N and a leach of soluble nitrogen compounds from waste manure is produced. This reduction of 50% has been reported by other authors [34]
Figure 6. Evolution of the E.C. (dS∙m−1) in the three different samples during composting: OMA, onion-manure-alfalfa; OM, onion-manure; OA, onion-alfalfa. Vertical lines represent the standard error.
Figure 7. Evolution of the C:N ratio in the three different mixtures during composting: OMA, onion-manure-alfalfa; OM, onion-manure; OA, onion-alfalfa. Vertical lines represent the standard error.
[38] . After 150 days, all the mixtures showed values between 10 and 13. At the end of the composting the ratio was as follows: C:N 10 (OM and OA), and 11 (OMA). Hirari et al. [39] , showed that the C:N ratio cannot be used as an absolute indicator of compost maturity.
3.6. P, Na, K, Ca, Mg and CIC
In general, the content of P, K, Ca, Mg, Na and CIC match with recommended for use in agricultural production (Table 3). The OM compost had the highest content of P (0.18%). The three composts were significantly different from each other with regard to their content of K; the highest value was detected in OA and lowest in OM. The compost obtained from the OA mixture showed the highest level of Ca, with significant differences from OM and OMA. Mg content was similar in the three mixtures, with values ranging between 0.40% and 0.49%.
Na contents of the three composts showed significantly difference from each other and ranged from 0.27% (OA) and 0.52% (OM). OMA presented an intermediate (0.39%) value. These values showed the same trend that electrical conductivity, in municipal solid waste compost [35] .
Lax et al., [40] stated that the increase of carboxyl and/or phenolic hydroxyl groups could contributed to higher values of CEC in the composts and [41] stated value higher than 60 cmol∙kg−1 as the minimum needed to ensure an acceptable maturity degree.
The Conversion efficiency of composting (CEC) values (Table 4) of the three composts studied showed significant differences among them, and all exceeded the reference value, indicating a good stabilization of organic material.
The final product of this composting method could be defined as a good integrated waste management. It is significant that the final value of the C:N ratio is close to 10, indicating a greater degree of maturity of the organic matter [42] . Generally, a C/N ratio of 15 - 20 reflects compost maturity; we have to say that composting is one of the technologies of integrated waste management strategies, used for the recycling of organic materials into a useful product. The term “controlled” indicates that the process is managed and optimized to decompose potentially putrescible organic matter into a stable compound.
Onion, alfalfa and cattle manure waste can be a valuable resource in a crop production system. As an amendment and vegetal-origin organic fertilizer, its application to soil must to improve its physical, chemical and biological properties. Manure contains the macronutrients nitrogen (N), phosphorus (P), and potassium (K) and also contains numerous micronutrients. The quantity of each application is one of the most important considerations
Table 3. Other parameters: P, K, Ca, Mg, Na & CIC.
P, extractable phosphorus; K, potassium; Ca, calcium; Mg, magnesium; Na, sodium; CIC, Cation Exchange Capacity. Different letters in the same row indicate significant differences (p ≤ 0.05). OMA, onion-manure-alfalfa; OM, onion-manure; OA, onion-alfalfa.
Table 4. Conversion efficiency of composting.
OMA, onion-manure-alfalfa; OM, onion-manure; OA, onion-alfalfa.
when developing an amended plan. Nevertheless, although composts have numerous beneficial properties, potential precautions are: heavy metals concentrations, pathogens, weed seeds, and phytotoxicity.
The overall objective of this study was conducted to improve the conversion efficiency mixture of composting. The evolution of some physico-chemical properties of the different composts are shown in Figure 3 to Figure 7. Regarding the temperature and humidity of the mixtures there is a trend, even though the last one has some variations. pH levels stayed between 7.3 and 7.8, so they are relatively similar. The electrical conductivity values follow a similar pattern during the process, reaching values close to 2 dS∙m−1 at the final stage, which will be a handicap in the intended end use of the compost. All results showed that this kind of compost can be useful for cultivation purposes.
4. Conclusion
This paper presents a comprehensive analysis of recycling organic wastes through composting. According to significant statistical analysis, the mixtures: OMA, onion-manure-alfalfa; OM, onion-manure; OA, onion-alfalfa, showed a similar behavior. All of them went through a mesophyll stage, and reached thermophilic temperatures. The cooling step and maturation were adequate, and this yielded mature compost after 180 days of composting processes. The humidity was maintained between 40% and 60% allowing proper aeration of the waste mass. The initial pH was alkaline, but in the end values ranged between 7.3 and 7.8. The electrical conductivity decreased throughout the process, reaching 2.2 dS∙m−1 (OMA), 1.9 dS∙m−1 (OM) and 2 dS∙m−1 (OA). All the mixtures started composting at 30 C:N ratios, and after 180 days it reached values between 10 and 11, indicative of the stabilization process. The mixtures more efficient were onion-manure and onion-manure-alfalfa with values close to 50%, while onion-alfalfa yielded only 34%. Reuse of onion waste by composting mixed with cattle manure, is a viable alternative in ecological terms; it can also be used as an organic fertilizer in agriculture.
Acknowledgements
This work was carried out under the auspices of the Secretaria de Investigacion of the Universidad Nacional del Comahue (Argentina).
References
- López-Carmelo, A., Horvitz, S. and Gómez, P.A. (2003) Optimización de operaciones de un galpón de empaque. IDIA XXI, 4, 80-83.
- Abad, M. and Puchades, R. (2002) Compostaje de residuos orgánicos generados en la hoya de Buñol (Valencia) con fines hortícolas. Ed. Asociación para la Promoción Socioeconómica Interior Hoya de Buñol, Valencia, 100 p.
- Climent, M.D., Abad, M. and Aragón, P. (1996) El compost de Residuos Sólidos Urbanos (RSU). Sus características y aprovechamiento en agricultura. Universidad Politécnica de Valencia, Valencia, 57 p.
- Raviv, M. (2005) Production of High-Quality Composts for Horticultural Purposes: A Mini Review. Hort Technology, 15, 52-57.
- Claassen, V.P. and Carey, J.L. (2004) Regeneration of Nitrogen Fertility in Disturbed Soils Using Composts. Compost Science & Utilization, 12, 145-152. http://dx.doi.org/10.1080/1065657X.2004.10702173
- Epstein, E. (1997) The Science of Composting. CRC Press LLC, Florida, 504 p.
- Costa, F., García, C., Hernández, T. and Polo, A. (1995) Residuos orgánicos urbanos. Manejo y utilización. Consejo Superior de Investigaciones Científicas. Centro de Edafología y Biología Aplicada del Segura, Murcia, 181 p.
- García, C., Hernández, T., Costa, C., Ceccanti, B., Masciandaro, G. and Ciardi, D. (1993) A Study of Biochemical Parameters of Composted and Fresh Municipal Wastes. Bioresource Technology, 44, 17-23. http://dx.doi.org/10.1016/0960-8524(93)90202-M
- Brown, S., Angle, J.S. and Jacobs, L. (1998) Beneficial Co-Utilization of Agricultural, Municipal and Industrial By- Products. Kluwer Academic Publishers, Doordrecht, 444 p. http://dx.doi.org/10.1007/978-94-011-5068-2
- Singh, R.P. and Agraval, M. (2008) Potential Benefits and Risks of Land Application of Sewage Sludge. Waste Management, 28, 347-358. http://dx.doi.org/10.1016/j.wasman.2006.12.010
- Casado-Vela, J., Sellés, S., Navarro, J., Bustamante, M.A., Mataix, J., Guerrero, C. and Gómez, I. (2006) Evaluation of Composted Sewage Sludge as Nutritional Source for Horticultural Soils. Waste Management, 26, 946-952. http://dx.doi.org/10.1016/j.wasman.2005.07.016
- Khwairakpam, M. and Bhargava, R. (2009) Vermitechnology for Sewage Sludge Recycling. Journal of Hazardous Materials, 161, 948-954. http://dx.doi.org/10.1016/j.jhazmat.2008.04.088
- Martin-Gil, J., Navas-Gracia, L.M., Gómez-Sobrino, E., Correa-Guimarães, A. and Hernández-Navarro, S. (2008) Composting and Vermicomposting Experiences in the Treatment and Bioconversion of Asphaltens from the Prestige Oil Spill. Bioresource Technology, 99, 1821-1829. http://dx.doi.org/10.1016/j.biortech.2007.03.031
- Sallaku, G., Babaj, I., Kaciu, S. and Balliu, A. (2009) The Influence of Vermicompost on Plant Growth Characteristics of Cucumber (Cucumis sativus L.) Seedlings under Saline Conditions. Journal of Food, Agriculture & Environment, 7, 869-872.
- Rynk, R., Van de Kamp, M., Willson, G.B., Singley, M.E., Richard, T.L., Kolega, J.J., Gouin, F.R., Laliberty Jr., L., Kay, D., Murphy, D.W., Hointink, H.A.J. and Brinton, W.F. (1992) On-Farm Composting Handbook. Northeast Regional Agricultural Engineering Service, Ithaca, NY, 186.
- Sadzawka, A., Carrasco, M.A., Grez, R., Mora, M.L., Flores, H. and Reaman, A. (2006) Métodos de análisis recomendados para los suelos de Chile. Revisión 2006, Serie Actas INIA No 34, Instituto de Investigaciones Agropecuarias, Centro Regional de Investigación La Platina, Santiago, 164 p.
- Bremner, J.M. and Mulvaney, C.S. (1982) Nitrogen―Total. In: Page, A.L., Miller, R.H., Keeney, D.R., Eds., Methods of Soil Analysis, ASA-SSSA, Madison, 595-617.
- Olsen, S.R., Cole, C.V., Watanabe, F.S. and Dean, L.A. (1954) Estimation of Available Phosphorus in Soils by Extraction with Sodium Bicarbonate. US Department of Agriculture Circular No. 939.
- Thomas, G.W. (1982) Exchangeable Cations. In: Page, A.L., Miller, R.H. and Keeney, D.R., Eds., Methods of Soil Analysis, Part 2, Agronomic Soil Science Society American, Madison, 159-165.
- Mulchi, C.L., Adamu, C.A., Bell, P.F. and Chaney, R.L. (1991) Residual Heavy Metal Concentrations in Sludge- Amended Coastal Plain Soils―I. Comparison of Extractants. Communications in Soil Science and Plant Analysis, 22, 919-941. http://dx.doi.org/10.1080/00103629109368464
- INFOSTAT, Di Rienzo, J.A., Casanoves, F., Balzarini, M.G., Gonzalez, L., Tablada, M. and Robledo, C.W. (2011) InfoStat versión 2011. Grupo InfoStat, FCA, Universidad Nacional de Córdoba, Argentina. http://www.infostat.com.ar
- Miller, F.C. (1996) Composting of Municipal Solid Waste and Its Components. In: Palmisano, A.C. and Barlaz, M.A., Eds., Microbiology of Solid Waste, CRC Press, Boca Raton, 115-154.
- Pordomingo, A.J. (2003) Gestión ambiental en el feedlot. Guía de buenas prácticas. INTA, Anguil, La Pampa, 100.
- Sundberg, C., Smårs, S. and Jonsson, H. (2004) Low pH as an Inhibiting Factor in the Transition of Mesophilic to Thermophilic Phase in Composting. Bioresource Technology, 95, 145-150. http://dx.doi.org/10.1016/j.biortech.2004.01.016
- Tramier, A., de Guardia, A., Massianic, C., Paul, E. and Martel, J.C. (2005) A Respirometric Method for Characterizing the Organic Composition and Biodegradation Kinetics and the Temperature Influence on the Biodegradation Kinetics, for a Mixture of Sludge and Bulking Agent to Be Co-Composted. Bioresource Technology, 96, 169-180. http://dx.doi.org/10.1016/j.biortech.2004.05.005
- Zucconi, F. and De Bertoldi, M. (1987) Compost Specifications for the Production and Characterization of Compost from Municipal Solid Waste. In: De Bertoldi, M., Ferranti, M.P., L´Hermite, M.P. and Zucconi, F., Eds., Compost: Production, Quality and Use, Elsevier, London, 276-295.
- Rynk, R. (2000) Monitoring Moisture in Composting Systems. Biocycle, 41, 53-57.
- Luo, W. and Chen, T.B. (2004) Effects of Moisture Content of Compost on Its Physical and Chemical Properties. Acta Ecologica Sinica, 24, 2656-2663.
- Suler, D.J. and Finstein, M.S. (1977) Effect of Temperature, Aeration, and Moisture on CO2 Formation in Bench-Scale, Continuously Thermophilic Composting of Solid Waste. Applied and Environmental Microbiology, 33, 345-350.
- Sanchez-Monedero, M., Roig, A., Paredes, C. and Bernal, P. (2001) Nitrogen Transformation Turing Organic Waste Composting by the Rutgers System and Its Effects on pH, EC and Maturity of the Composting Mixture. Bioresource Technology, 78, 301-308. http://dx.doi.org/10.1016/S0960-8524(01)00031-1
- Said-Pullicino, D., Erriquens, F.G. and Gigliotti, G. (2007) Changes in the Chemical Characteristics of Water-Extractable Organic Matter during Composting and Their Influence on Compost Stability and Maturity. Bioresource Technology, 98, 1822-1831. http://dx.doi.org/10.1016/j.biortech.2006.06.018
- Beck-Friis, B., Smars, S., Jönsson, H., Eklind, Y. and Kirchmann, H. (2003) Composting of Source-Separated Household Organics at Different Oxygen Levels: Gaining an Understanding of the Emission Dynamics. Compost Science and Utilization, 11, 41-50. http://dx.doi.org/10.1080/1065657X.2003.10702108
- Mitchell, A. (1997) Production of Eiseniafoetida and Vermicompost from Feed-Lot Cattle Manure. Soil Biology Biochemistry, 29, 763-766. http://dx.doi.org/10.1016/S0038-0717(96)00022-3
- Nogales, R., Elvira, C., Benitez, E. and Gallardo-Lara, F. (1995) Uso agrícola de compost y vermicompost de basuras urbanas 1: Procesos, madurez y calidad de los productos. Residuos, 26, 53-57.
- Tognetti, C., Mazzarino, M.J. and Laos, F. (2007) Improving the Quality of Municipal Organic Waste Compost. Bioresource Technology, 98, 1067-1076. http://dx.doi.org/10.1016/j.biortech.2006.04.025
- Wolkowski, R.P. (2003) Nitrogen Management Considerations for Landspreading Municipal Solid Waste Compost. Journal Environmental Quality, 32, 1844-1850. http://dx.doi.org/10.2134/jeq2003.1844
- Zmora-Nahum, S., Hadar, Y. and Chen, Y. (2007) Physico-Chemical Properties of Commercial Composts Varying in Their Source Materials and Country of Origin. Soil Biology and Biochemistry, 39, 1263-1276. http://dx.doi.org/10.1016/j.soilbio.2006.12.017
- Kaushik, P. and Garg, V. (2004) Dynamics of Biological and Chemical Parameters during Vermicomposting of Solid Textile Mill Sludge Mixed with Cow Dung and Agricultural Residues. Bioresource Technology, 64, 203-209. http://dx.doi.org/10.1016/j.biortech.2003.10.033
- Hirari, M., Chanyasak, V. and Kubota, H. (1983) A Standard Measurement for Compost Maturity. Biocycle, 24, 54-56.
- Lax, A., Roig, A. and Costa, F. (1986) A Method for Determining the Cation Exchange Capacity of Organic Materials. Plant and Soil, 94, 349-355. http://dx.doi.org/10.1007/BF02374329
- Harada, Y. and Inoko, A. (1980) The Measurement of the Cation-Exchange Capacity of Composts for the Estimation of the Degree of Maturity. Soil Science and Plant Nutrition, 26, 127-134. http://dx.doi.org/10.1080/00380768.1980.10433219
- Huang, G.F., Wu, Q.T., Wong, J.W.C. and Nagar, B.B. (2006) Transformation of Organic Matter during Co-Composting of Pig Manure with Sawdust. Bioresource Technology, 97, 1834-1842. http://dx.doi.org/10.1016/j.biortech.2005.08.024












